CPA财管考试中,本期市盈率和内在市盈率是一组比较容易搞混的概念,公式记忆难度不大,但是如果不理解原理十分容易搞混,今天我们从推导市盈率公式入手,辨析本期和内在的区别。
一、股价公式推导
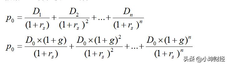
在股利以固定增长率g增长时,公司的股票价格为未来每期股利现金流Dn按股权成本rs折现后累加之和。模型假设此时当期股利已经分配完成,所以折现公式里不含当期股利D0。(相当于计算除息日后的股票价格),在后面我们将看到,这一点对理解本期市盈率和内在市盈率的区别十分重要。
根据股利折现模型,有如下公式:

股价定价公式
这是一个首项为D0×(1+g)/(1+rs),公比为(1+g)/(1+rs)的等比数列。
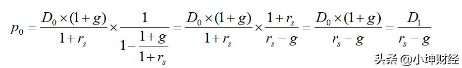
根据等比数列求和公式

此处增长率g小于企业资本成本,所以公比小于1,qn无限趋近于0,带入可得

二、市盈率公式推导
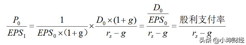
市盈率(Price Earnings Ratio,简称P/E),也称“本益比”、“股价收益比率”或“市价盈利比率(简称市盈率)”。是指股票价格除以每股收益(每股收益,EPS)的比率。
根据定义,我们来计算PE

这个因为这里用本期股价除以本期EPS,所以公式求出来的称之为本期市盈率。
CPA财管教材中还引出了预期市盈率(内在市盈率)概念,内在市盈率公式里把EPS0换成了EPS1,得出如下结*公论**式:

本期市盈率=内在市盈率×(1+g),只记忆公式的话很容易搞混,二者本质上的区别又是什么呢?
三、“内在”何方
关于本期市盈率和内在市盈率的区别,笔者翻阅了CPA财管教材以及各种网络资料,都停留在二者相差(1+g)的层面,没有找到相对合理的原理解释,因此笔者就把自己的观点和大家进行分享,希望对大家有所帮助。
笔者认为,二者的区别来自于财管公式形式一致性下的实质性错位。
本期市盈率,顾名思义使用当期股价除以当期每股收益,表面看起来形式很合理,但我们要注意文章开始提示的一点,计算股价P0时并不包含当期股利D0,而当期每股收益EPS0是含有当期股利的,二者虽然时间点一致,但在实质上并不匹配,真正与P0所对应的是EPS1 ,所以把P0/EPS1称之为内在市盈率或预期市盈率。
理解了这一点,市净率和市销率系列公式也迎刃而解,本期对应本期,内在对应内在即可。
当期市净率=权益净利率0×本期市盈率
内在市净率=权益净利率1×内在市盈率
当期市销率=营业净利率0×本期市盈率
内在市销率=营业净利率1×内在市盈率

【例题】甲股票当前市场价格40元,最近一期每股收益2元,预期每股收益增长率5%,则股票内在市盈率为()
A 19.05 B 20 C 21 D 21.05
答案:A 40/(2*1.05)=19.05