1.0.1 为了在地基基础设计中贯彻执行国家的技术经济政策,做到安全适用、技术先进、经济合理、确保质量、保护环境,制定本规范。
1.0.2 本规范适用于工业与民用建筑(包括构筑物)的地基基础设计。对于湿陷性黄土、多年冻土、膨胀土以及在地震和机械振动荷载作用下的地基基础设计,尚应符合国家现行相应专业标准的规定。
1.0.3 地基基础设计,应坚持因地制宜、就地取材,保护环境和节约资源的原则;根据岩土工程勘察资料,综合考虑结构类型、材料情况与施工条件等因素,精心设计。
1.0.4 建筑地基基础的设计除应符合本规范的规定外,尚应符合国家现行有关标准的规定。
2 术语和符号
2.1 术语
2.1.1 地基 ground, foundation soils
支承基础的土体或岩体。
2.1.2 基础 foundation
将结构所承受的各种作用传递到地基上的结构组成部分。
2.1.3 地基承载力特征值 characteristic value of subsoil bearing capacity
由载荷试验测定的地基土压力变形曲线线性变形段内规定的变形所对应的压力值,其最大值为比例界限值。
2.1.4 重力密度(重度) gravity density, unit weight
单位体积岩土体所承受的重力,为岩土体的密度与重力加速度的乘积。
2.1.5 岩体结构面 rock discontinuity structural plane
岩体内开裂的和易开裂的面,如层面、节理、断层、片理等,又称不连续构造面。
2.1.6 标准冻结深度 standard frost penetration
在地面平坦、裸露、城市之外的空旷场地中不少于10年的实测最大冻结深度的平均值。
2.1.7 地基变形允许值 allowable subsoil deformation
为保证建筑物正常使用而确定的变形控制值。
2.1.8 土岩组合地基 soil-rock composite ground
在建筑地基的主要受力层范围内,有下卧基岩表面坡度较大的地基;或石芽密布并有出露的地基;或大块孤石或个别石芽出露的地基。
2.1.9 地基处理 ground treatment, ground improvement
为提高地基承载力,或改善其变形性质或渗透性质而采取的工程措施。
2.1.10 复合地基 composite ground, composite foundation
部分土体被增强或被置换,而形成的由地基土和增强体共同承担荷载的人工地基。
2.1.11 扩展基础 spread foundation
为扩散上部结构传来的荷载,使作用在基底的压应力满足地基承载力的设计要求,且基础内部的应力满足材料强度的设计要求,通过向侧边扩展一定底面积的基础。
2.1.12 无筋扩展基础 non-reinforced spread foundation
由砖、毛石、混凝土或毛石混凝土、灰土和三合土等材料组成的,且不需配置钢筋的墙下条形基础或柱下独立基础。
2.1.13 桩基础 pile foundation
由设置于岩土中的桩和连接于桩顶端的承台组成的基础。
2.1.14 支挡结构 retaining structure
使岩土边坡保持稳定、控制位移、主要承受侧向荷载而建造的结构物。
2.1.15 基坑工程 excavation engineering
为保证地面向下开挖形成的地下空间在地下结构施工期间的安全稳定所需的挡土结构及地下水控制、环境保护等措施的总称。
2.2 符号
2.2.1 作用和作用效应
Ea——主动土压力; Fk——相应于作用的标准组合时, 上部结构传至基础顶面的竖向力值; Gk—— 基础自重和基础上的土重; Mk——相应于作用的标准组合时,作用于基础底面的力矩值; pk——相应于作用的标准组合时,基础底面处的平均压力值; p0——基础底面处平均附加压力; Qk——相应于作用的标准组合时,轴心竖向力作用下桩基中单桩所受竖向力。
2.2.2 抗力和材料性能 a ——压缩系数; c ——黏聚力; Es——土的压缩模量; e ——孔隙比; ƒa——修正后的地基承载力特征值; ƒak——地基承载力特征值; ƒrk——岩石饱和单轴抗压强度标准值; qpa——桩端土的承载力特征值; qsa——桩周土的摩擦力特征值; Ra——单桩竖向承载力特征值; ω——土的含水量; ωL——液限; ωP——塑限; γ—— 土的重力密度,简称土的重度; δ——填土与挡土墙墙背的摩擦角; δr——填土与稳定岩石坡面间的摩擦角; θ——地基的压力扩散角; μ——土与挡土墙基底间的摩擦系数; v——泊松比; φ——内摩擦角。
2.2.3 几何参数 A——基础底面面积; b——基础底面宽度(最小边长);或力矩作用方向的基础底面边长; d——基础埋置深度,桩身直径; h0——基础高度; Hf——自基础底面算起的建筑物高度; Hg——自室外地面算起的建筑物高度; L——房屋长度或沉降缝分隔的单元长度; l——基础底面长度; s——沉降量; u——周边长度; z0——标准冻结深度; zn——地基沉降计算深度; β——边坡对水平面的坡角。
2.2.4 计算系数 α ¯ ——平均附加应力系数; ηb——基础宽度的承载力修正系数; ηd——基础埋深的承载力修正系数; ψs——沉降计算经验系数。
3 基本规定
3.0.1 地基基础设计应根据地基复杂程度、建筑物规模和功能特征以及由于地基问题可能造成建筑物破坏或影响正常使用的程度分为三个设计等级,设计时应根据具体情况,按表3.0.1选用。
表3.0.1 地基基础设计等级
|
设计等级 |
建筑和地基类型 |
|
甲级 |
重要的工业与民用建筑物30层以上的高层建筑体型复杂,层数相差超过10层的高低层连成一体建筑物大面积的多层地下建筑物(如地下车库、商场、运动场等)对地基变形有特殊要求的建筑物复杂地质条件下的坡上建筑物(包括高边坡)对原有工程影响较大的新建建筑物场地和地基条件复杂的一般建筑物位于复杂地质条件及软土地区的二层及二层以上地下室的基坑工程开挖深度大于15m的基坑工程周边环境条件复杂、环境保护要求高的基坑工程 |
|
乙级 |
除甲级、丙级以外的工业与民用建筑物除甲级、丙级以外的基坑工程 |
|
丙级 |
场地和地基条件简单、荷载分布均匀的七层及七层以下民用建筑及一般工业建筑;次要的轻型建筑物非软土地区且场地地质条件简单、基坑周边环境条件简单、环境保护要求不高且开挖深度小于5.0m的基坑工程 |
3.0.2 根据建筑物地基基础设计等级及长期荷载作用下地基变形对上部结构的影响程度,地基基础设计应符合下列规定: 1 所有建筑物的地基计算均应满足承载力计算的有关规定; 2 设计等级为甲级、乙级的建筑物,均应按地基变形设计; 3 设计等级为丙级的建筑物有下列情况之一时应作变形验算: 1) 地基承载力特征值小于130kPa,且体型复杂的建筑; 2) 在基础上及其附近有地面堆载或相邻基础荷载差异较大,可能引起地基产生过大的不均匀沉降时; 3) 软弱地基上的建筑物存在偏心荷载时; 4) 相邻建筑距离近,可能发生倾斜时; 5) 地基内有厚度较大或厚薄不均的填土,其自重固结未完成时。 4 对经常受水平荷载作用的高层建筑、高耸结构和挡土墙等,以及建造在斜坡上或边坡附近的建筑物和构筑物,尚应验算其稳定性; 5 基坑工程应进行稳定性验算; 6 建筑地下室或地下构筑物存在上浮问题时,尚应进行抗浮验算。
3.0.3 表3.0.3所列范围内设计等级为丙级的建筑物可不作变形验算。
表3. 0.3 可不作地基变形验算的设计等级为丙级的建筑物范围
|
地基主要受力层情况 |
地基承载力特征值ƒaK(kPa) |
80≤ƒaK<100 |
100≤ƒaK<130 |
130≤ƒaK<160 |
160≤ƒaK<200 |
200≤ƒaK<300 |
||
|
各土层坡度(%) |
≤5 |
≤10 |
≤10 |
≤10 |
≤10 |
|||
|
建筑类型 |
砌体承重结构、框架结构(层数) |
≤5 |
≤5 |
≤6 |
≤6 |
≤7 |
||
|
单层排架结构(6m柱距) |
单跨 |
吊车额定起重量(t) |
10~15 |
15~20 |
20~30 |
30~50 |
50~100 |
|
|
厂房跨度 (m) |
≤18 |
≤24 |
≤30 |
≤30 |
≤30 |
|||
|
多跨 |
吊车额定起重量(t) |
5~10 |
10~15 |
15~20 |
20~30 |
30~75 |
||
|
厂房跨度 (m) |
≤18 |
≤24 |
≤30 |
≤30 |
≤30 |
|||
|
建筑类型 |
烟囱 |
高度(m) |
≤40 |
≤50 |
≤75 |
≤100 |
||
|
水塔 |
高度(m) |
≤20 |
≤30 |
≤30 |
≤30 |
|||
|
容积(m3) |
50~100 |
100~200 |
200~300 |
300~500 |
500~1000 |
|||
注:1 地基主要受力层系指条形基础底面下深度为3b(b为基础底面宽度),独立基础下为1.5b,且厚度均不小于5m的范围(二层以下一般的民用建筑除外); 2 地基主要受力层中如有承载力特征值小于130kPa的土层,表中砌体承重结构的设计,应符合本规范第7章的有关要求: 3 表中砌体承重结构和框架结构均指民用建筑,对于工业建筑可按厂房高度、荷载情况折合成与其相当的民用建筑层数; 4 表中吊车额定起重量、烟囱高度和水塔容积的数值系指最大值。
3.0.4 地基基础设计前应进行岩土工程勘察,并应符合下列规定: 1 岩土工程勘察报告应提供下列资料: 1)有无影响建筑场地稳定性的不良地质作用,评价其危害程度; 2)建筑物范围内的地层结构及其均匀性,各岩土层的物理力学性质指标,以及对建筑材料的腐蚀性; 3)地下水埋藏情况、类型和水位变化幅度及规律,以及对建筑材料的腐蚀性; 4)在抗震设防区应划分场地类别,并对饱和砂土及粉土进行液化判别; 5)对可供采用的地基基础设计方案进行论证分析,提出经济合理、技术先进的设计方案建议;提供与设计要求相对应的地基承载力及变形计算参数,并对设计与施工应注意的问题提出建议; 6)当工程需要时,尚应提供:深基坑开挖的边坡稳定计算和支护设计所需的岩土技术参数,论证其对周边环境的影响;基坑施工降水的有关技术参数及地下水控制方法的建议;用于计算地下水浮力的设防水位。 2 地基评价宜采用钻探取样、室内土工试验、触探,并结合其他原位测试方法进行。设计等级为甲级的建筑物应提供载荷试验指标、抗剪强度指标、变形参数指标和触探资料;设计等级为乙级的建筑物应提供抗剪强度指标、变形参数指标和触探资料;设计等级为丙级的建筑物应提供触探及必要的钻探和土工试验资料。 3 建筑物地基均应进行施工验槽。当地基条件与原勘察报告不符时,应进行施工勘察。
3.0.5 地基基础设计时,所采用的作用效应与相应的抗力限值应符合下列规定: 1 按地基承载力确定基础底面积及埋深或按单桩承载力确定桩数时,传至基础或承台底面上的作用效应应按正常使用极限状态下作用的标准组合;相应的抗力应采用地基承载力特征值或单桩承载力特征值; 2 计算地基变形时,传至基础底面上的作用效应应按正常使用极限状态下作用的准永久组合,不应计入风荷载和地震作用;相应的限值应为地基变形允许值; 3 计算挡土墙、地基或滑坡稳定以及基础抗浮稳定时,作用效应应按承载能力极限状态下作用的基本组合,但其分项系数均为1.0; 4 在确定基础或桩基承台高度、支挡结构截面、计算基础或支挡结构内力、确定配筋和验算材料强度时,上部结构传来的作用效应和相应的基底反力、挡土墙土压力以及滑坡推力,应按承载能力极限状态下作用的基本组合,采用相应的分项系数;当需要验算基础裂缝宽度时,应按正常使用极限状态下作用的标准组合; 5 基础设计安全等级、结构设计使用年限、结构重要性系数应按有关规范的规定采用,但结构重要性系数 γ 0不应小于1.0。
3.0.6 地基基础设计时,作用组合的效应设计值应符合下列规定: 1 正常使用极限状态下,标准组合的效应设计值Sk应按下式确定:
Sk=SGk+SQ1k+ψc2SQ2k+……+ψcnSQnk (3.0.6-1)
式中:SGk——永久作用标准值Gk的效应; SQik——第i个可变作用标准值Qik的效应; ψci——第i个可变作用Qi的组合值系数,按现行国家标准《建筑结构荷载规范》GB 50009的规定取值。 2 准永久组合的效应设计值SK应按下式确定:
Sk=SGk+ψq1SQ1k+ψq2SQ2k+……+ψqnSQnk (3.0.6-2)
式中:ψqi——第i个可变作用的准永久值系数,按现行国家标准《建筑结构荷载规范》GB 50009的规定取值。 3 承载能力极限状态下,由可变作用控制的基本组合的效应设计值Sd应按下式确定:
Sd=γGSGk+γQ1SQ1k+γQ2ψc2SQ2k+……+γQnψcnSQnk (3.0.6-3)
式中:γG——永久作用的分项系数,按现行国家标准《建筑结构荷载规范》GB 50009的规定取值; γQi——第i可变作用的分项系数,按现行国家标准《建筑结构荷载规范》GB 50009的规定取值。 4 对由永久作用控制的基本组合,也可采用简化规则,基本组合的效应设计值Sd可按下式确定:
Sd=1.35Sk [3.0.6-4]
式中:Sk——标准组合的作用效应设计值。
3.0.7 地基基础的设计使用年限不应小于建筑结构的设计使用年限。
4 地基岩土的分类及工程特性指标
4.1 岩土的分类
4.1.1 作为建筑地基的岩土,可分为岩石、碎石土、砂土、粉土、黏性土和人工填土。
4.1.2 作为建筑地基的岩石,除应确定岩石的地质名称外,尚应按本规范第4.1.3条划分岩石的坚硬程度,按本规范第4.1.4条划分岩体的完整程度。岩石的风化程度可分为未风化、微风化、中等风化、强风化和全风化。
4.1.3 岩石的坚硬程度应根据岩块的饱和单轴抗压强度ƒrk按表4.1.3分为坚硬岩、较硬岩、较软岩、软岩和极软岩。当缺乏饱和单轴抗压强度资料或不能进行该项试验时,可在现场通过观察定性划分,划分标准可按本规范附录A. 0.1条执行。
表4.1.3 岩石坚硬程度的划分
|
坚硬程度类别 |
坚硬岩 |
较硬岩 |
较软岩 |
软岩 |
极软岩 |
|
饱和单轴抗压强度标准值ƒrk(MPa) |
ƒrk>60 |
60≥ƒrk>30 |
30≥ƒrk>15 |
15≥ƒrk>5 |
ƒrk≤5 |
4.1.4 岩体完整程度应按表4.1.4划分为完整、较完整、较破碎、破碎和极破碎。当缺乏试验数据时可按本规范附录A. 0.2条确定。
表4.1.4 岩体完整程度划分
|
完整程度等级 |
完整 |
轻完整 |
较破碎 |
破碎 |
极破碎 |
|
完整性指数 |
>0.75 |
0.75~0.55 |
0.55~0.35 |
0.35~0.15 |
<0.15 |
注:完整性指数为岩体纵波波速与岩块纵波波速之比的平方。选定岩体、岩块测定波速时应有代表性。
4.1.5 碎石土为粒径大于2mm的颗粒含量超过全重50%的土。碎石土可按表4.1.5分为漂石、块石、卵石、碎石、圆砾和角砾。
表4.1. 5 碎石土的分类
|
土的名称 |
颗粒形状 |
粒组含量 |
|
漂石块石 |
圆形及亚圆形为主棱角形为主 |
粒径大于200mm的颗粒含量超过全重50% |
|
卵石碎石 |
圆形及亚圆形为主棱角形为主 |
粒径大于20mm的颗粒含量超过全重50% |
|
圆砾角砾 |
圆形及亚圆形为主棱角形为主 |
粒径大于2mm的颗粒含量超过全重50% |
注:分类时应根据粒组含量栏从上到下以最先符合者确定。
4.1.6 碎石土的密实度,可按表4.1.6分为松散、稍密、中密、密实。
表4.1.6 碎石土的密实度
|
重型圆锥动力触探锤击数N63.5 |
密实度 |
|
N63.5≤5 |
松散 |
|
5<N63.5≤10 |
稍密 |
|
10<N63.5≤20 |
中密 |
|
N63.5>20 |
密实 |
注:1 本表适用于平均粒径小于或等于50mm且最大粒不超过100mm的卵石、碎石、圆砾、角砾;对于平均粒径大于50mm或最大粒径大于100mm的碎石土,可按本规范附录B鉴别其密实度; 2 表内N63.5为经综合修正后的平均值。
4.1.7 砂土为粒径大于2mm的颗粒含量不超过全重50%、粒径大于0.075mm的颗粒超过全重50%的土。砂土可按表4.1.7分为砾砂、粗砂、中砂、细砂和粉砂。
表4.1.7 砂土的分类
|
土的名称 |
粒 组 含 量 |
|
砾砂 |
粒径大于2mm的颗粒含量占全重25%~50% |
|
粗砂 |
粒径大于0.5mm的颗粒含量超过全重50% |
|
中砂 |
粒径大于0.25mm的颗粒含量超过全重50% |
|
细砂 |
粒径大于0.075mm的颗粒含量超过全重85% |
|
粉砂 |
粒径大于0.075mm的颗粒含量超过全重50% |
注:分类时应根据粒组含量栏从上到下以最先符合者确定。
4.1.8 砂土的密实度,可按表4. 1.8分为松散、稍密、中密、密实。
表4.1.8 砂土的密实度
|
标准贯入试验锤击数N |
密实度 |
|
N≤10 |
松散 |
|
10<N ≤15 |
稍密 |
|
15<N ≤30 |
中密 |
|
N>30 |
密实 |
注:当用静力触探探头阻力判定砂土的密实度时,可根据当地经验确定。
4.1.9 黏性土为塑性指数IP大于10的土,可按表4.1.9分为黏土、粉质黏土。
表4.1. 9 黏性土的分类
|
塑性指数IP |
土的名称 |
|
IP>17 |
黏土 |
|
10<IP≤17 |
粉质粘土 |
注:塑性指数由相应76g圆锥体沉入土样中深度为10mm时测定的液限计算而得。
4.1.10 黏性土的状态,可按表4.1.10分为坚硬、硬塑、可塑、软塑、流塑。
表4. 1.10 黏性土的状态
|
液性指数IL |
状态 |
|
IL≤0 |
坚硬 |
|
0<IL≤0.25 |
硬塑 |
|
0.25<IL≤0.75 |
可塑 |
|
0.75<IL≤1 |
软塑 |
|
IL>1 |
流塑 |
注:当用静力触探探头阻力判定黏性土的状态时,可根据当地经验确定。
4.1.11 粉土为介于砂土与黏性土之间,塑性指数Ip小于或等于10且粒径大于0.075mm的颗粒含量不超过全重50%的土。
4.1.12 淤泥为在静水或缓慢的流水环境中沉积,并经生物化学作用形成,其天然含水量大于液限、天然孔隙比大于或等于1.5的黏性土。当天然含水量大于液限而天然孔隙比小于1.5但大于或等于1.0的黏性土或粉土为淤泥质土。含有大量未分解的腐殖质,有机质含量大于60%的土为泥炭,有机质含量大于或等于10%且小于或等于60%的土为泥炭质土。
4.1.13 红黏土为碳酸盐岩系的岩石经红土化作用形成的高塑性黏土。其液限一般大于50%。红黏土经再搬运后仍保留其基本特征,其液限大于45%的土为次生红黏土。
4.1.14 人工填土根据其组成和成因,可分为素填土、压实填土、杂填土、冲填土。素填土为由碎石土、砂土、粉土、黏性土等组成的填土。经过压实或夯实的素填土为压实填土。杂填土为含有建筑垃圾、工业废料、生活垃圾等杂物的填土。冲填土为由为水力冲填泥砂形成的填土。
4.1.15 膨胀土为土中黏粒成分主要由亲水性矿物组成,同时具有显著的吸水膨胀和失水收缩特性,其自由膨胀率大于或等于40%的黏性土。
4.1.16 湿陷性土为在一定压力下浸水后产生附加沉降。其湿陷系数大于或等于0.015的土。
4.2 工程特性指标
4.2.1 土的工程特性指标可采用强度指标、压缩性指标以及静力触探探头阻力、动力触探锤击数、标准贯入试验锤击数、载荷试验承载力等特性指标表示。
4.2.2 地基土工程特性指标的代表值应分别为标准值、平均值及特征值。抗剪强度指标应取标准值,压缩性指标应取平均值,载荷试验承载力应取特征值。
4.2.3 载荷试验应采用浅层平板载荷试验或深层平板载荷试验。浅层平板载荷试验适用于浅层地基,深层平板载荷试验适用于深层地基。两种载荷试验的试验要求应分别符合本规范附录C、D的规定。
4.2.4 土的抗剪强度指标,可采用原状土室内剪切试验、无侧限抗压强度试验、现场剪切试验、十字板剪切试验等方法测定。当采用室内剪切试验确定时,宜选择三轴压缩试验的自重压力下预固结的不固结不排水试验。经过预压固结的地基可采用固结不排水试验。每层土的试验数量不得少于六组。室内试验抗剪强度指标ck、φk,可按本规范附录E确定。在验算坡体的稳定性时,对于已有剪切破裂面或其他软弱结构面的抗剪强度,应进行野外大型剪切试验。
4.2.5 土的压缩性指标可采用原状土室内压缩试验、原位浅层或深层平板载荷试验、旁压试验确定,并应符合下列规定: 1 当采用室内压缩试验确定压缩模量时,试验所施加的最大压力应超过土自重压力与预计的附加压力之和,试验成果用e-p曲线表示; 2 当考虑土的应力历史进行沉降计算时,应进行高压固结试验,确定先期固结压力、压缩指数,试验成果用e-lgp曲线表示;为确定回弹指数,应在估计的先期固结压力之后进行一次卸荷,再继续加荷至预定的最后一级压力; 3 当考虑深基坑开挖卸荷和再加荷时,应进行回弹再压缩试验,其压力的施加应与实际的加卸荷状况一致。
4.2.6 地基土的压缩性可按p1为100kPa,p2为200kPa时相对应的压缩系数值a1-2划分为低、中,高压缩性,并符合以下规定: 1 当a1-2<0.1MPa-1时,为低压缩性土; 2 当0.1MPa-1≤a1-2<0.5MPa-1时,为中压缩性土; 3 当a1-2≥0.5MPa-1时,为高压缩性土。
5 地基计算
5.1 基础埋置深度
5.1.1 基础的埋置深度,应按下列条件确定: 1 建筑物的用途,有无地下室、设备基础和地下设施,基础的形式和构造; 2 作用在地基上的荷载大小和性质; 3 工程地质和水文地质条件; 4 相邻建筑物的基础埋深; 5 地基土冻胀和融陷的影响。
5.1.2 在满足地基稳定和变形要求的前提下,当上层地基的承载力大于下层土时,宜利用上层土作持力层。除岩石地基外,基础埋深不宜小于0.5m。
5.1.3 高层建筑基础的埋置深度应满足地基承载力、变形和稳定性要求。位于岩石地基上的高层建筑,其基础埋深应满足抗滑稳定性要求。
5.1.4 在抗震设防区,除岩石地基外,天然地基上的箱形和筏形基础其埋置深度不宜小于建筑物高度的1/15;桩箱或桩筏基础的埋置深度(不计桩长)不宜小于建筑物高度的1/18。
5.1.5 基础宜埋置在地下水位以上,当必须埋在地下水位以下时,应采取地基土在施工时不受扰动的措施。当基础埋置在易风化的岩层上,施工时应在基坑开挖后立即铺筑垫层。
5.1.6 当存在相邻建筑物时,新建建筑物的基础埋深不宜大于原有建筑基础。当埋深大于原有建筑基础时,两基础间应保持一定净距,其数值应根据建筑荷载大小、基础形式和土质情况确定。
5.1.7 季节性冻土地基的场地冻结深度应按下式进行计算:
zd=z0·ψzs·ψzw·ψze [5.1.7]
式中:zd——场地冻结深度(m),当有实测资料时按zd=h′-△z计算; h′——最大冻深出现时场地最大冻土层厚度(m); △z——最大冻深出现时场地地表冻胀量(m); z0——标准冻结深度(m);当无实测资料时,按本规范附录F采用; ψzs——土的类别对冻结深度的影响系数,按表5. 1.7-1采用; ψzw——土的冻胀性对冻结深度的影响系数,按表5. 1.7-2采用; ψze——环境对冻结深度的影响系数,按表5.1.7-3采用。
表5.1.7-1 土的类别对冻结深度的影响系数
|
土的类别 |
影响数ψzs |
|
黏性土 |
1.00 |
|
细砂、粉砂、粉土 |
1.20 |
|
中、粗、砾砂 |
1.30 |
|
大块碎石土 |
1.40 |
表5.1.7-2 土的冻胀性对冻结深度的影响系数
|
冻胀性 |
影响系数ψzw |
|
不冻胀 |
1. 00 |
|
弱冻胀 |
0.95 |
|
冻胀 |
0.90 |
|
强冻胀 |
0.85 |
|
特强冻胀 |
0.80 |
表5.1.7-3 环境对冻结深度的影响系数
|
周围环境 |
影响系数ψze |
|
村、镇、旷野 |
1.00 |
|
城市近郊 |
0.95 |
|
城市市区 |
0.90 |
注:环境影响系数一项,当城市市区人口为20万~50万时,按城市近郊取值;当城市市区人口大于50万小于或等于100万时,只计入市区影响;当城市市区人口超过100万时,除计入市区影响外,尚应考虑5km以内的郊区近郊影响系数。
5.1.8 季节性冻土地区基础埋置深度宜大于场地冻结深度。对于深厚季节冻土地区,当建筑基础底面土层为不冻胀、弱冻胀、冻胀土时,基础埋置深度可以小于场地冻结深度,基础底面下允许冻土层最大厚度应根据当地经验确定。没有地区经验时可按本规范附录G查取。此时,基础最小埋置深度dmin可按下式计算:
dmin=zd-hmax [5.1.8]
式中:hmax——基础底面下允许冻土层最大厚度(m)。
5.1.9 地基土的冻胀类别分为不冻胀、弱冻胀、冻胀、强冻胀和特强冻胀,可按本规范附录G查取。在冻胀、强冻胀和特强冻胀地基上采用防冻害措施时应符合下列规定: 1 对在地下水位以上的基础,基础侧表面应回填不冻胀的中、粗砂,其厚度不应小于200mm;对在地下水位以下的基础,可采用桩基础、保温性基础、自锚式基础(冻土层下有扩大板或扩底短桩),也可将独立基础或条形基础做成正梯形的斜面基础。 2 宜选择地势高、地下水位低、地表排水条件好的建筑场地。对低洼场地,建筑物的室外地坪标高应至少高出自然地面300mm~500mm,其范围不宜小于建筑四周向外各一倍冻结深度距离的范围。 3 应做好排水设施,施工和使用期间防止水浸入建筑地基。在山区应设截水沟或在建筑物下设置暗沟,以排走地表水和潜水。 4 在强冻胀性和特强冻胀性地基上,其基础结构应设置钢筋混凝土圈梁和基础梁,并控制建筑的长高比。 5 当独立基础连系梁下或桩基础承台下有冻土时,应在梁或承台下留有相当于该土层冻胀量的空隙。 6 外门斗、室外台阶和散水坡等部位宜与主体结构断开,散水坡分段不宜超过1.5m,坡度不宜小于3%,其下宜填入非冻胀性材料。 7 对跨年度施工的建筑,入冬前应对地基采取相应的防护措施;按采暖设计的建筑物,当冬季不能正常采暖时,也应对地基采取保温措施
5.2 承载力计算
5.2.1 基础底面的压力,应符合下列规定: 1 当轴心荷载作用时
pk≤ƒa [5.2.1-1]
式中:pk——相应于作用的标准组合时,基础底面处的平均压力值(kPa); ƒa——修正后的地基承载力特征值(kPa)。 2 当偏心荷载作用时,除符合式(5. 2.1-1)要求外,尚应符合下式规定:
pkmax≤1.2ƒa (5.2.1-2)
式中:pkmax——相应于作用的标准组合时,基础底面边缘的最大压力值(kPa)。
5.2.2 基础底面的压力,可按下列公式确定: 1 当轴心荷载作用时
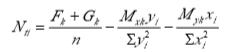
pk=(Fk+Gk)/A [5.2.2-1]
式中:Fk——相应于作用的标准组合时,上部结构传至基础顶面的竖向力值(kN); Gk——基础自重和基础上的土重(kN); A——基础底面面积(m2)。 2 当偏心荷载作用时
pkmax=[(Fk+Gk)/A]+(Mk/W) [5.2.2-2]pkmin=[(Fk+Gk)/A]-(Mk/W) [5.2.2-3]
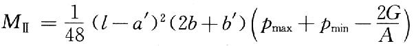
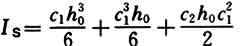
式中:Mk——相应于作用的标准组合时,作用于基础底面的力矩值(kN·m); W——基础底面的抵抗矩(m3); pkmin——相应于作用的标准组合时,基础底面边缘的最小压力值(kPa)。 3 当基础底面形状为矩形且偏心距e>b/6时(图5.2.2),pkmax应按下式计算:
pkmax=[2(Fk+Gk)]/3la [5. 2.2-4]
式中:l——垂直于力矩作用方向的基础底面边长(m); a——合力作用点至基础底面最大压力边缘的距离(m)。

图5.2.2 偏心荷载(e>b/6)下基底压力计算示意 b-力矩作用方向基础底面边长
5.2.3 地基承载力特征值可由载荷试验或其他原位测试、公式计算,并结合工程实践经验等方法综合确定。
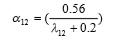
5.2.4 当基础宽度大于3m或埋置深度大于0.5m时,从载荷试验或其他原位测试、经验值等方法确定的地基承载力特征值,尚应按下式修正:
ƒa=ƒak+ηbγ(b-3)+ηdγm(d-0.5) [5.2.4]
式中:ƒa——修正后的地基承载力特征值(kPa); ƒak——地基承载力特征值(kPa),按本规范第5. 2.3条的原则确定; ηb、ηd——基础宽度和埋置深度的地基承载力修正系数,按基底下土的类别查表5.2.4取值; γ——基础底面以下土的重度(kN/m3),地下水位以下取浮重度; b—基础底面宽度(m),当基础底面宽度小于3m时按3m取值,大于6m时按6m取值; γm—— 基础底面以上土的加权平均重度(kN/m3),位于地下水位以下的土层取有效重度; d——基础埋置深度(m),宜自室外地面标高算起。在填方整平地区,可自填土地面标高算起,但填土在上部结构施工后完成时,应从天然地面标高算起。对于地下室,当采用箱形基础或筏基时,基础埋置深度自室外地面标高算起;当采用独立基础或条形基础时,应从室内地面标高算起。
表5.2.4 承载力修正系数
|
土 的 类 别 |
ηb |
ηd |
|
|
淤泥和淤泥质土 |
0 |
1.0 |
|
|
人工填土e或IL大于等于0.85的黏性土 |
0 |
1.0 |
|
|
红黏土 |
含水比aw>0.8含水比aw≤0.8 |
00.15 |
1.21.4 |
|
大面积压实填土 |
压实系数大于0.95、黏粒含量pc≥10%的粉土最大干密度大于2100kg/m3的级配砂石 |
00 |
1. 52. 0 |
|
粉土 |
黏粒含量pc≥10%的粉土黏粒含量pc<10%的粉土 |
0.30.5 |
1.52.0 |
|
e及IL均小于0.85的黏性土粉砂、细砂(不包括很湿与饱和时的稍密状态)中砂、粗砂、砾砂和碎石土 |
0.32.03.0 |
1.63.04.4 |
|
注:1 强风化和全风化的岩石,可参照所风化成的相应土类取值,其他状态下的岩石不修正; 2 地基承载力特征值按本规范附录D深层平板载荷试验确定时ηd取0; 3 含水比是指土的天然含水量与液限的比值; 4 大面积压实填土是指填土范围大于两倍基础宽度的填土。
5.2.5 当偏心距e小于或等于0.033倍基础底面宽度时,根据土的抗剪强度指标确定地基承载力特征值可按下式计算,并应满足变形要求:
ƒa=Mbγb+Mdγmd+Mcck [5.2.5]
式中:ƒa——由土的抗剪强度指标确定的地基承载力特征值(kPa); Mb、Md、Mc——承载力系数,按表5.2.5确定; b——基础底面宽度(m),大于6m时按6m取值,对于砂土小于3m时按3m取值; ck——基底下一倍短边宽度的深度范围内土的黏聚力标准值(kPa)。
表5.2.5 承载力系数Mb、Md、Mc
|
土的内摩擦角标准值φk(°) |
Mb |
Md |
Mc |
|
0 |
0 |
1.00 |
3.14 |
|
2 |
0.03 |
1.12 |
3.32 |
|
4 |
0.06 |
1.25 |
3.51 |
|
6 |
0.10 |
1.39 |
3.71 |
|
8 |
0.14 |
1.55 |
3.93 |
|
10 |
0.18 |
1.73 |
4.17 |
|
12 |
0.23 |
1.94 |
4.42 |
|
14 |
0.29 |
2.17 |
4.69 |
|
16 |
0.36 |
2.43 |
5.00 |
|
18 |
0.43 |
2.72 |
5.31 |
|
20 |
0.51 |
3.06 |
5.66 |
|
22 |
0.61 |
3.44 |
6.04 |
|
24 |
0.80 |
3.87 |
6.45 |
|
26 |
1.10 |
4.37 |
6.90 |
|
28 |
1.40 |
4.93 |
7.40 |
|
30 |
1.90 |
5.59 |
7.95 |
|
32 |
2.60 |
6.35 |
8.55 |
|
34 |
3.40 |
7.21 |
9.22 |
|
36 |
4.20 |
8.25 |
9.97 |
|
38 |
5.00 |
9.44 |
10.80 |
|
40 |
5.80 |
10.84 |
11.73 |
注:φk——基底下一倍短边宽度的深度范围内土的内摩擦角标准值(°)。
5. 2.6 对于完整、较完整、较破碎的岩石地基承载力特征值可按本规范附录H岩石地基载荷试验方法确定;对破碎、极破碎的岩石地基承载力特征值,可根据平板载荷试验确定。对完整、较完整和较破碎的岩石地基承载力特征值,也可根据室内饱和单轴抗压强度按下式进行计算:
ƒa=ψr·ƒrk [5. 2.6]
式中:ƒa——岩石地基承载力特征值(kPa); ƒrk——岩石饱和单轴抗压强度标准值(kPa),可按本规范附录J确定; ψr——折减系数。根据岩体完整程度以及结构面的间距、宽度、产状和组合,由地方经验确定。无经验时,对完整岩体可取0.5;对较完整岩体可取0.2~0.5;对较破碎岩体可取0.1~0.2。 注:1 上述折减系数值未考虑施工因素及建筑物使用后风化作用的继续; 2 对于黏土质岩,在确保施工期及使用期不致遭水浸泡时,也可采用天然湿度的试样,不进行饱和处理。
5.2.7 当地基受力层范围内有软弱下卧层时,应符合下列规定: 1 应按下式验算软弱下卧层的地基承载力:
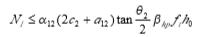
pz+pcz≤ƒaz [5.2.7-1]
式中:pz——相应于作用的标准组合时,软弱下卧层顶面处的附加压力值(kPa); pcz——软弱下卧层顶面处土的自重压力值(kPa); ƒaz——软弱下卧层顶面处经深度修正后的地基承载力特征值(kPa)。 2 对条形基础和矩形基础,式(5.2.7-1)中的pz值可按下列公式简化计算: 条形基础
pz=[b(pk-pc )]/(b+2ztanθ) [5. 2.7-2]
矩形基础
pz=[lb(pk-pc )]/[(b+2ztanθ)(l+2ztanθ)] [5. 2.7-3]
式中:b——矩形基础或条形基础底边的宽度(m); l——矩形基础底边的长度(m); pc——基础底面处土的自重压力值(kPa); z——基础底面至软弱下卧层顶面的距离(m); θ——地基压力扩散线与垂直线的夹角(°),可按表5.2.7采用。
表5.2.7 地基压力扩散角θ
|
Es1/Es2 |
z/b |
|
|
0.25 |
0.50 |
|
|
3 |
6° |
23° |
|
5 |
10° |
25° |
|
10 |
20° |
30° |
注:1 Es1为上层土压缩模量;Es2为下层土压缩模量; 2 z/b<0.25时取θ=0°,必要时,宜由试验确定;z/b>0.50时θ值不变; 3 z/b在0.25与0.50之间可插值使用。
5.2.8 对于沉降已经稳定的建筑或经过预压的地基,可适当提高地基承载力。
5.3 变形计算
5.3.1 建筑物的地基变形计算值,不应大于地基变形允许值。
5.3.2 地基变形特征可分为沉降量、沉降差、倾斜、局部倾斜。
5.3.3 在计算地基变形时,应符合下列规定: 1 由于建筑地基不均匀、荷载差异很大、体型复杂等因素引起的地基变形,对于砌体承重结构应由局部倾斜值控制;对于框架结构和单层排架结构应由相邻柱基的沉降差控制;对于多层或高层建筑和高耸结构应由倾斜值控制;必要时尚应控制平均沉降量。 2 在必要情况下,需要分别预估建筑物在施工期间和使用期间的地基变形值,以便预留建筑物有关部分之间的净空,选择连接方法和施工顺序。
5.3.4 建筑物的地基变形允许值应按表5.3.4规定采用。对表中未包括的建筑物,其地基变形允许值应根据上部结构对地基变形的适应能力和使用上的要求确定。
表5.3.4 建筑物的地基变形允许值
|
变 形 特 征 |
地基土类别 |
||
|
中、低压缩性土 |
高压缩性土 |
||
|
砌体承重结构基础的局部倾斜 |
0.002 |
0.003 |
|
|
工业与民用建筑相邻柱基的沉降差 |
框架结构 |
0.002l |
0.003l |
|
砌体墙填充的边排柱 |
0.0007l |
0.001l |
|
|
当基础不均匀沉降时不产生附加应力的结构 |
0.005l |
0.005l |
|
|
单层排架结构(柱距为6m)柱基的沉降量(mm) |
(120) |
200 |
|
|
桥式吊车轨面的倾斜(按不调整轨道考虑) |
纵 向 |
0.004 |
|
|
横 向 |
0.003 |
||
|
多层和高层建筑的整体倾斜 |
Hg≤24 |
0.004 |
|
|
24<Hg≤60 |
0.003 |
||
|
60<Hg≤100 |
0.0025 |
||
|
Hg>100 |
0.002 |
||
|
体型简单的高层建筑基础的平均沉降量(mm) |
200 |
||
|
高耸结构基础的倾斜 |
Hg≤20 |
0.008 |
|
|
20<Hg≤50 |
0.006 |
||
|
50<Hg≤100 |
0.005 |
||
|
100<Hg≤150 |
0.004 |
||
|
150<Hg≤200 |
0.003 |
||
|
200<Hg≤250 |
0.002 |
||
|
高耸结构基础的沉降量(mm) |
Hg≤100 |
400 |
|
|
100<Hg≤200 |
300 |
||
|
200<Hg≤250 |
200 |
||
注:1 本表数值为建筑物地基实际最终变形允许值; 2 有括号者仅适用于中压缩性土; 3 l为相邻柱基的中心距离(mm);Hg为自室外地面起算的建筑物高度(m); 4 倾斜指基础倾斜方向两端点的沉降差与其距离的比值; 5 局部倾斜指砌体承重结构沿纵向6m~10m内基础两点的沉降差与其距离的比值。
5.3.5 计算地基变形时,地基内的应力分布,可采用各向同性均质线性变形体理论。其最终变形量可按下式进行计算:

(5. 3. 5)
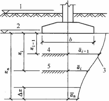
式中:s——地基最终变形量(mm); s′——按分层总和法计算出的地基变形量(mm); ψs——沉降计算经验系数,根据地区沉降观测资料及经验确定,无地区经验时可根据变形计算深度范围内压缩模量的当量值(Es)、基底附加压力按表5.3.5取值; n——地基变形计算深度范围内所划分的土层数(图5.3.5); p0——相应于作用的准永久组合时基础底面处的附加压力(kPa); Esi——基础底面下第i层土的压缩模量(MPa),应取土的自重压力至土的自重压力与附加压力之和的压力段计算; zi、zi-1——基础底面至第i层土、第i-1层土底面的距离(m); ai、ai-1——基础底面计算点至第i层土、第i-1层土底面范围内平均附加应力系数,可按本规范附录K采用。

图5. 3. 5基础沉降计算的分层示意1—天然地面标高;2—基底标高;3—平均附加应力系数a曲线;4—i-1层;5—i层 表5.3.5 沉降计算经验系数 ψs
|
Es(MPa) |
2.5 |
4.0 |
7.0 |
15.0 |
20.0 |
|
|
基底附加压力 |
||||||
|
p0≥ƒak |
1.4 |
1.3 |
1.0 |
0.4 |
0.2 |
|
|
p0≤0.75ƒak |
1.1 |
1.0 |
0.7 |
0.4 |
0.2 |
|
5.3.6 变形计算深度范围内压缩模量的当量值(Es),应按下式计算:

(5. 3. 6)
式中:Ai——第i层土附加应力系数沿土层厚度的积分值。
5.3.7 地基变形计算深度zn(图5 3.5),应符合式(5. 3. 7)的规定。当计算深度下部仍有较软土层时,应继续计算。

(5. 3. 7)
式中:△s′i——在计算深度范围内,第i层土的计算变形值(mm); △s′n——在由计算深度向上取厚度为△z的土层计算变形值(mm),△z见图5. 3. 5并按表5. 3. 7确定。
表5.3.7 △ z
|
b(m) |
≤2 |
2<b≤4 |
4<b≤8 |
b>8 |
|
△z(m) |
0.3 |
0.6 |
0.8 |
1.0 |
5.3.8 当无相邻荷载影响,基础宽度在1m~30m范围内时,基础中点的地基变形计算深度也可按简化公式(5.3.8)进行计算。在计算深度范围内存在基岩时,zn可取至基岩表面;当存在较厚的坚硬黏性土层,其孔隙比小于0.5、压缩模量大于50MPa,或存在较厚的密实砂卵石层,其压缩模量大于80MPa时,zn可取至该层土表面。此时,地基土附加压力分布应考虑相对硬层存在的影响,按本规范公式(6.2.2)计算地基最终变形量。
zn=b(2.5-0.4 lnb) [5.3.8]
式中:b—— 基础宽度(m)。
5.3.9 当存在相邻荷载时,应计算相邻荷载引起的地基变形,其值可按应力叠加原理,采用角点法计算。
5.3.10 当建筑物地下室基础埋置较深时,地基土的回弹变形量可按下式进行计算:

(5. 3.10)
式中:sc——地基的回弹变形量(mm); ψc—— 回弹量计算的经验系数,无地区经验时可取1.0; pc——基坑底面以上土的自重压力(kPa),地下水位以下应扣除浮力; Eci——土的回弹模量(kPa),按现行国家标准《土工试验方法标准》GB/T 50123 中土的固结试验回弹曲线的不同应力段计算。
5.3.11 回弹再压缩变形量计算可采用再加荷的压力小于卸荷土的自重压力段内再压缩变形线性分布的假定按下式进行计算:

[5.3.11]
式中:s′c——地基土回弹再压缩变形量(mm); sc——地基的回弹变形量(mm); r′0——临界再压缩比率,相应于再压缩比率与再加荷比关系曲线上两段线*交性**点对应的再压缩比率,由土的固结回弹再压缩试验确定; R′0——临界再加荷比,相应在再压缩比率与再加荷比关系曲线上两段线*交性**点对应的再加荷比,由土的固结回弹再压缩试验确定; r′R′=1.0——对应于再加荷比R′=1.0时的再压缩比率,由土的固结回弹再压缩试验确定,其值等于回弹再压缩变形增大系数; p——再加荷的基底压力(kPa)。
5.3.12 在同一整体大面积基础上建有多栋高层和低层建筑,宜考虑上部结构、基础与地基的共同作用进行变形计算。5.4 稳定性计算
5.4.1 地基稳定性可采用圆弧滑动面法进行验算。最危险的滑动面上诸力对滑动中心所产生的抗滑力矩与滑动力矩应符合下式要求:
MR/MS≥1.2 (5.4.1)
式中:MS——滑动力矩(kN·m); MR——抗滑力矩(kN·m)。
5.4.2 位于稳定土坡坡顶上的建筑,应符合下列规定: 1 对于条形基础或矩形基础,当垂直于坡顶边缘线的基础底面边长小于或等于3m时,其基础底面外边缘线至坡顶的水平距离(图5.4. 2)应符合下式要求,且不得小于2.5m: 条形基础
a≥3.5b-(d/tanβ) [5. 4.2-1]
矩形基础
a≥2.5b-(d/tanβ) [5.4.2-2]
式中:a——基础底面外边缘线至坡顶的水平距离(m); b——垂直于坡顶边缘线的基础底面边长(m); d——基础埋置深度(m); β——边坡坡角(°)。 2 当基础底面外边缘线至坡顶的水平距离不满足式(5.4.2-1)、式(5.4.2-2)的要求时,可根据基底平均压力按式(5.4. 1 )确定基础距坡顶边缘的距离和基础埋深。 3 当边坡坡角大于45°、坡高大于8m时,尚应按式(5.4. 1)验算坡体稳定性。

图5.4.2 基础底面外边缘线至坡顶的水平距离示意
5.4.3 建筑物基础存在浮力作用时应进行抗浮稳定性验算,并应符合下列规定: 1 对于简单的浮力作用情况,基础抗浮稳定性应符合下式要求:
Gk/Nw,k≥Kw [5.4.3]
式中:Gk——建筑物自重及压重之和(kN); Nw,k——浮力作用值(kN); Kw——抗浮稳定安全系数,一般情况下可取1.05。 2 抗浮稳定性不满足设计要求时,可采用增加压重或设置抗浮构件等措施。在整体满足抗浮稳定性要求而局部不满足时,也可采用增加结构刚度的措施。
6 山区地基
6.1 一般规定
6.1.1 山区(包括丘陵地带)地基的设计,应对下列设计条件分析认定: 1 建设场区内,在自然条件下,有无滑坡现象,有无影响场地稳定性的断层、破碎带; 2 在建设场地周围,有无不稳定的边坡; 3 施工过程中,因挖方、填方、堆载和卸载等对山坡稳定性的影响; 4 地基内岩石厚度及空间分布情况、基岩面的起伏情况、有无影响地基稳定性的临空面; 5 建筑地基的不均匀性; 6 岩溶、土洞的发育程度,有无采空区; 7 出现危岩崩塌、泥石流等不良地质现象的可能性; 8 地面水、地下水对建筑地基和建设场区的影响。
6.1.2 在山区建设时应对场区作出必要的工程地质和水文地质评价。对建筑物有潜在威胁或直接危害的滑坡、泥石流、崩塌以及岩溶、土洞强烈发育地段,不应选作建设场地。
6.1.3 山区建设工程的总体规划,应根据使用要求、地形地质条件合理布置。主体建筑宜设置在较好的地基上,使地基条件与上部结构的要求相适应。
6.1.4 山区建设中,应充分利用和保护天然排水系统和山地植被。当必须改变排水系统时,应在易于导流或拦截的部位将水引出场外。在受山洪影响的地段,应采取相应的排洪措施。
6.2 土岩组合地基
6.2.1 建筑地基(或被沉降缝分隔区段的建筑地基)的主要受力层范围内,如遇下列情况之一者,属于土岩组合地基: 1 下卧基岩表面坡度较大的地基; 2 石芽密布并有出露的地基; 3 大块孤石或个别石芽出露的地基。
6.2.2 当地基中下卧基岩面为单向倾斜、岩面坡度大于10%、基底下的土层厚度大于1.5m时,应按下列规定进行设计: 1 当结构类型和地质条件符合表6.2.2-1的要求时,可不作地基变形验算。
表6.2.2-1 下卧基岩表面允许坡度值
|
地基土承载力特征值ƒak(kPa) |
四层及四层以下的砌体承重结构,三层及三层以下的框架结构 |
具有150kN和150kN以下吊车的一般单层排架结构 |
|
|
带墙的边柱和山墙 |
无墙的中柱 |
||
|
≥150 |
≤15% |
≤15% |
≤30% |
|
≥200 |
≤25% |
≤30% |
≤50% |
|
≥300 |
≤40% |
≤50% |
≤70% |
2 不满足上述条件时,应考虑刚性下卧层的影响,按下式计算地基的变形:
sgz=βgzsz [6.2.2]
式中:sgz——具刚性下卧层时,地基土的变形计算值(mm); βgz——刚性下卧层对上覆土层的变形增大系数,按表6.2.2-2采用; sz——变形计算深度相当于实际土层厚度按本规范第5.3.5条计算确定的地基最终变形计算值(mm)。
表6.2.2-2 具有刚性下卧层时地基变形增大系数βgz
|
h/b |
0.5 |
1.0 |
1.5 |
2.0 |
2.5 |
|
βgz |
1.26 |
1.17 |
1.12 |
1.09 |
1.00 |
注:h—基底下的土层厚度;b—基础底面宽度。
3 在岩土界面上存在软弱层(如泥化带)时,应验算地基的整体稳定性。 4 当土岩组合地基位于山间坡地、山麓洼地或冲沟地带,存在局部软弱土层时,应验算软弱下卧层的强度及不均匀变形。
6.2.3 对于石芽密布并有出露的地基,当石芽间距小于2m,其间为硬塑或坚硬状态的红黏土时,对于房屋为六层和六层以下的砌体承重结构、三层和三层以下的框架结构或具有150kN和150kN以下吊车的单层排架结构,其基底压力小于200kPa,可不作地基处理。如不能满足上述要求时,可利用经检验稳定性可靠的石芽作支墩式基础,也可在石芽出露部位作褥垫。当石芽间有较厚的软弱土层时,可用碎石、土夹石等进行置换。
6.2.4 对于大块孤石或个别石芽出露的地基,当土层的承载力特征值大于150kPa、房屋为单层排架结构或一、二层砌体承重结构时,宜在基础与岩石接触的部位采用褥垫进行处理。对于多层砌体承重结构,应根据土质情况,结合本规范第6.2.6条、第6.2.7条的规定综合处理。
6.2.5 褥垫可采用炉渣、中砂、粗砂、土夹石等材料,其厚度宜取300mm~500mm,夯填度应根据试验确定。当无资料时,夯填度可按下列数值进行设计: 中砂、粗砂 0.87±0.05; 土夹石(其中碎石含量为20%~30%) 0.70±0.05。 注:夯填度为褥垫夯实后的厚度与虚铺厚度的比值。
6.2.6 当建筑物对地基变形要求较高或地质条件比较复杂不宜按本规范第6.2.3条、第6.2.4条有关规定进行地基处理时,可调整建筑平面位置,或采用桩基或梁、拱跨越等处理措施。
6.2.7 在地基压缩性相差较大的部位,宜结合建筑平面形状、荷载条件设置沉降缝。沉降缝宽度宜取30mm~50mm,在特殊情况下可适当加宽。
6.3 填土地基
6.3.1 当利用压实填土作为建筑工程的地基持力层时,在平整场地前,应根据结构类型、填料性能和现场条件等,对拟压实的填土提出质量要求。未经检验查明以及不符合质量要求的压实填土,均不得作为建筑工程的地基持力层。
6.3.2 当利用未经填方设计处理形成的填土作为建筑物地基时,应查明填料成分与来源,填土的分布、厚度、均匀性、密实度与压缩性以及填土的堆积年限等情况,根据建筑物的重要性、上部结构类型、荷载性质与大小、现场条件等因素,选择合适的地基处理方法,并提出填土地基处理的质量要求与检验方法。
6.3.3 拟压实的填土地基应根据建筑物对地基的具体要求,进行填方设计。填方设计的内容包括填料的性质、压实机械的选择、密实度要求、质量监督和检验方法等。对重大的填方工程,必须在填方及计前选择典型的场区进行现场试验,取得填方设计参数后,才能进行填方工程的设计与施工。
6.3.4 填方工程设计前应具备详细的场地地形、地貌及工程地质勘察资料。位于塘、沟、积水洼地等地区的填土地基,应查明地下水的补给与排泄条件、底层软弱土体的清除情况、自重固结程度等。
6.3.5 对含有生活垃圾或有机质废料的填土,未经处理不宜作为建筑物地基使用。
6.3.6 压实填土的填料,应符合下列规定: 1 级配良好的砂土或碎石土;以卵石、砾石、块石或岩石碎屑作填料时,分层压实时其最大粒径不宜大于200mm,分层夯实时其最大粒径不宜大于400mm; 2 性能稳定的矿渣、煤渣等工业废料; 3 以粉质黏土、粉土作填料时,其含水量宜为最优含水量,可采用击实试验确定; 4 挖高填低或开山填沟的土石料,应符合设计要求; 5 不得使用淤泥、耕土、冻土、膨胀性土以及有机质含量大于5%的土。
6.3.7 压实填土的质量以压实系数λc控制,并应根据结构类型、压实填土所在部位按表6.3.7确定。
表6.3.7 压实填土地基压实系数控制值
|
结构类别 |
填土部位 |
压实系数(λc) |
控制含水量(%) |
|
砌体承重及框架结构 |
在地基主要受力层范围内 |
≥0.97 |
ωop±2 |
|
在地基主要受力层范围以下 |
≥0.95 |
||
|
排架结构 |
在地基主要受力层范围内 |
≥0.96 |
|
|
在地基主要受力层范围以下 |
≥0.94 |
注:1 压实系数(λc)为填土的实际干密度(ρd)与最大干密度(ρdmax)之比;ωop为最优含水量; 2 地坪垫层以下从基础底面标高以上的压实填土,压实系数不应小于0.94。
6.3.8 压实填土的最大干密度和最优含水量,应采用击实试验确定,击实试验的操作应符合现行国家标准《土工试验方法标准》GB/T 50123的有关规定。对于碎石、卵石,或岩石碎屑等填料,其最大干密度可取2100kg/m3~2200kg/m3。对于黏性土或粉土填料,当无试验资料时,可按下式计算最大干密度:
ρdmax=η[ρwds/(1+0.01wopds)] [6.3.8]
式中:ρdmax——压实填土的最大干密度(kg/m3); η——经验系数,粉质黏土取0.96,粉土取0.97; ρw——水的密度(kg/m3); ds——土粒相对密度(比重); ωop——最优含水量(%)。
6.3.9 压实填土地基承载力特征值,应根据现场原位测试(静载荷试验、动力触探、静力触探等)结果确定。其下卧层顶面的承载力特征值应满足本规范第5. 2.7条的要求。6.3.10 填土地基在进行压实施工时,应注意采取地面排水措施,当其阻碍原地表水畅通排泄时,应根据地形修建截水沟,或设置其他排水设施。设置在填土区的上、下水管道,应采取防渗、防漏措施,避免因漏水使填土颗粒流失,必要时应在填土土坡的坡脚处设置反滤层。
6.3.11 位于斜坡上的填土,应验算其稳定性。对由填土而产生的新边坡,当填土边坡坡度符合表6.3.11的要求时,可不设置支挡结构。当天然地面坡度大于20%时,应采取防止填土可能沿坡面滑动的措施,并应避免雨水沿斜坡排泄。
表6.3.11 压实填土的边坡坡度允许值
|
填土类型 |
边坡坡度允许值(高宽比) |
压实系数(λc) |
|
|
坡高在8m以内 |
坡高为8m~15m |
||
|
碎石 、卵石 |
1:1.50~1:1.25 |
1:1.75~1:1.50 |
0.94~0.97 |
|
砂夹石(碎石、卵石占全重30%~50%) |
1:1.50~1:1.25 |
1:1.75~1:1.50 |
|
|
土夹石(碎石、卵石占全重30%~50%) |
1:1.50~1:1.25 |
1:2.00~1:1.50 |
|
|
粉质黏土,黏粒含量 ρc≥10%的粉土 |
1:1.75~1:1.50 |
1:2.25~1:1.75 |
|
6.4 滑坡防治
6.4.1 在建设场区内,由于施工或其他因素的影响有可能形成滑坡的地段,必须采取可靠的预防措施。对具有发展趋势并威胁建筑物安全使用的滑坡,应及早采取综合整治措施,防止滑坡继续发展。
6.4.2 应根据工程地质、水文地质条件以及施工影响等因素,分析滑坡可能发生或发展的主要原因,采取下列防治滑坡的处理措施: 1 排水:应设置排水沟以防止地面水浸入滑坡地段,必要时尚应采取防渗措施。在地下水影响较大的情况下,应根据地质条件,设置地下排水系统。 2 支挡:根据滑坡推力的大小、方向及作用点,可选用重力式抗滑挡墙、阻滑桩及其他抗滑结构。抗滑挡墙的基底及阻滑桩的桩端应埋置于滑动面以下的稳定土(岩)层中。必要时,应验算墙顶以上的土(岩)体从墙顶滑出的可能性。 3 卸载:在保证卸载区上方及两侧岩土稳定的情况下,可在滑体主动区卸载,但不得在滑体被动区卸载。 4 反压:在滑体的阻滑区段增加竖向荷载以提高滑体的阻滑安全系数。
6.4.3 滑坡推力可按下列规定进行计算: 1 当滑体有多层滑动面(带)时,可取推力最大的滑动面(带)确定滑坡堆力。 2 选择平行于滑动方向的几个具有代表性的断面进行计算。计算断面一般不得少于2个,其中应有一个是滑动主轴断面。根据不同断面的推力设计相应的抗滑结构。 3 当滑动面为折线形时,滑坡推力可按下列公式进行计算(图6.4.3)。
Fn=Fn-1ψ+γtGnt-Gnntanφn-cnln [6.4.3-1]ψ=cos(βn-1-βn)-sin(βn-1-βn)tanφn(6.4.3-2)
式中:Fn、Fn-1——第n块、第n-1块滑体的剩余下滑力(kN); ψ——传递系数; γt——滑坡推力安全系数; Gnt、Gnn——第n块滑体自重沿滑动面、垂直滑动面的分力(kN); φn——第n块滑体沿滑动面土的内摩擦角标准值(°); cn——第n块滑体沿滑动面土的黏聚力标准值(kPa); ln——第n块滑体沿滑动面的长度(m);

图6.4.3 滑坡推力计算示意
4 滑坡推力作用点,可取在滑体厚度的1/2处。 5 滑坡推力安全系数,应根据滑坡现状及其对工程的影响等因素确定,对地基基础设计等级为甲级的建筑物宜取1.30,设计等级为乙级的建筑物宜取1.20,设计等级为丙级的建筑物宜取1.10。 6 根据土(岩)的性质和当地经验,可采用试验和滑坡反算相结合的方法,合理地确定滑动面上的抗剪强度。
6.5 岩石地基
6.5.1 岩石地基基础设计应符合下列规定: 1 置于完整、较完整、较破碎岩体上的建筑物可仅进行地基承载力计算。 2 地基基础设计等级为甲、乙级的建筑物,同一建筑物的地基存在坚硬程度不同,两种或多种岩体变形模量差异达2倍及2倍以上,应进行地基变形验算。 3 地基主要受力层深度内存在软弱下卧岩层时,应考虑软弱下卧岩层的影响进行地基稳定性验算。 4 桩孔、基底和基坑边坡开挖应采用控制*破爆**,到达持力层后,对软岩、极软岩表面应及时封闭保护。 5 当基岩面起伏较大,且都使用岩石地基时,同一建筑物可以使用多种基础形式。 6 当基础附近有临空面时,应验算向临空面倾覆和滑移稳定性。存在不稳定的临空面时,应将基础埋深加大至下伏稳定基岩;亦可在基础底部设置锚杆,锚杆应进入下伏稳定岩体,并满足抗倾覆和抗滑移要求。同一基础的地基可以放阶处理,但应满足抗倾覆和抗滑移要求。 7 对于节理、裂隙发育及破碎程度较高的不稳定岩体,可采用注浆加固和清爆填塞等措施。
6.5.2 对遇水易软化和膨胀、易崩解的岩石,应采取保护措施减少其对岩体承载力的影响。
6.6 岩溶与土洞
6.6.1 在碳酸盐岩为主的可溶性岩石地区,当存在岩溶(溶洞、溶蚀裂隙等)、土洞等现象时,应考虑其对地基稳定的影响。
6.6.2 岩溶场地可根据岩溶发育程度划分为三个等级,设计时应根据具体情况,按表6.6.2选用。
表6.6.2 岩溶发育程度
|
等 级 |
岩溶场地条件 |
|
岩溶强发育 |
地表有较多岩溶塌陷、漏斗、洼地、泉眼溶沟、溶槽、石芽密布,相邻钻孔间存在临空面且基岩面高差大于5m地下有暗河、伏流钻孔见洞隙率大于30%或线岩溶率大于20%溶槽或串珠状竖向溶洞发育深度达20m以上 |
|
岩溶中等发育 |
介于强发育和微发育之间 |
|
岩溶微发育 |
地表无岩溶塌陷、漏斗溶沟、溶槽较发育相邻钻孔间存在临空而且基岩面相对高差小于2m钻孔见洞隙率小于10%或线岩溶率小于5% |
6.6.3 地基基础设计等级为甲级、乙级的建筑物主体宜避开岩溶强发育地段。
6.6.4 存在下列情况之一且未经处理的场地,不应作为建筑物地基: 1 浅层溶洞成群分布,洞径大,且不稳定的地段; 2 漏斗、溶槽等埋藏浅,其中充填物为软弱土体; 3 土洞或塌陷等岩溶强发育的地段; 4 岩溶水排泄不畅,有可能造成场地暂时淹没的地段。
6.6.5 对于完整、较完整的坚硬岩、较硬岩地基,当符合下列条件之一时,可不考虑岩溶对地基稳定性的影响: 1 洞体较小,基础底面尺寸大于洞的平面尺寸,并有足够的支承长度; 2 顶板岩石厚度大于或等于洞的跨度。
6.6.6 地基基础设计等级为丙级且荷载较小的建筑物,当符合下列条件之一时,可不考虑岩溶对地基稳定性的影响。 1 基础底面以下的土层厚度大于独立基础宽度的3倍或条形基础宽度的6倍,且不具备形成土洞的条件时; 2 基础底面与洞体顶板间土层厚度小于独立基础宽度的3倍或条形基础宽度的6倍,洞隙或岩溶漏斗被沉积物填满,其承载力特征值超过150kPa,且无被水冲蚀的可能性时; 3 基础底面存在面积小于基础底面积25%的垂直洞隙,但基底岩石面积满足上部荷载要求时。
6.6.7 不符合本规范第6.6.5条、第6.6.6条的条件时,应进行洞体稳定性分析;基础附近有临空面时,应验算向临空面倾覆和沿岩体结构面滑移稳定性。
6.6.8 土洞对地基的影响,应按下列规定综合分析与处理: 1 在地下水强烈活动于岩土交界面的地区,应考虑由地下水作用所形成的土洞对地基的影响,预测地下水位在建筑物使用期间的变化趋势。总图布置前,应获得场地土洞发育程度分区资料。施工时,除已查明的土洞外,尚应沿基槽进一步查明土洞的特征和分布情况。 2 在地下水位高于基岩表面的岩溶地区,应注意人工降水引起土洞进一步发育或地表塌陷的可能性。塌陷区的范围及方向可根据水文地质条件和抽水试验的观测结果综合分析确定。在塌陷范围内不应采用天然地基。并应注意降水对周围环境和建(构)筑物的影响。 3 由地表水形成的土洞或塌陷,应采取地表截流、防渗或堵塞等措施进行处理。应根据土洞埋深,分别选用挖填、灌砂等方法进行处理。由地下水形成的塌陷及浅埋土洞,应清除软土,抛填块石作反滤层,面层用黏土夯填;深埋土洞宜用砂、砾石或细石混凝土灌填。在上述处理的同时,尚应采用梁、板或拱跨越。对重要的建筑物,可采用桩基处理。
6.6.9 对地基稳定性有影响的岩溶洞隙,应根据其位置、大小、埋深、围岩稳定性和水文地质条件综合分析,因地制宜采取下列处理措施: 1 对较小的岩溶洞隙,可采用镶补、嵌塞与跨越等方法处理。 2 对较大的岩溶洞隙,可采用梁、板和拱等结构跨越,也可采用浆砌块石等堵塞措施以及洞底支撑或调整柱距等方法处理。跨越结构应有可靠的支承面。梁式结构在稳定岩石上的支承长度应大于梁高1.5倍。 3 基底有不超过25%基底面积的溶洞(隙)且充填物难以挖除时,宜在洞隙部位设置钢筋混凝土底板,底板宽度应大于洞隙,并采取措施保证底板不向洞隙方向滑移。也可在洞隙部位设置钻孔桩进行穿越处理。 4 对于荷载不大的低层和多层建筑,围岩稳定,如溶洞位于条形基础末端,跨越工程量大,可按悬臂梁设计基础,若溶洞位于单独基础重心一侧,可按偏心荷载设计基础。
6.7 土质边坡与重力式挡墙
6.7.1 边坡设计应符合下列规定: 1 边坡设计应保护和整治边坡环境,边坡水系应因势利导,设置地表排水系统,边坡工程应设内部排水系统。对于稳定的边坡,应采取保护及营造植被的防护措施。 2 建筑物的布局应依山就势,防止大挖大填。对于平整场地而出现的新边坡,应及时进行支挡或构造防护。 3 应根据边坡类型、边坡环境、边坡高度及可能的破坏模式,选择适当的边坡稳定计算方法和支挡结构形式。 4 支挡结构设计应进行整体稳定性验算、局部稳定性验算、地基承载力计算、抗倾覆稳定性验算、抗滑移稳定性验算及结构强度计算。 5 边坡工程设计前,应进行详细的工程地质勘察,并应对边坡的稳定性作出准确的评价;对周围环境的危害性作出预测;对岩石边坡的结构面调查清楚,指出主要结构面的所在位置;提供边坡设计所需要的各项参数。 6 边坡的支挡结构应进行排水设计。对于可以向坡外排水的支挡结构,应在支挡结构上设置排水孔。排水孔应沿着横竖两个方向设置,其间距宜取2m~3m,排水孔外斜坡度宜为5%,孔眼尺寸不宜小于100mm。支挡结构后面应做好滤水层,必要时应做排水暗沟。支挡结构后面有山坡时,应在坡脚处设置截水沟。对于不能向坡外排水的边坡,应在支挡结构后面设置排水暗沟。 7 支挡结构后面的填土,应选择透水性强的填料。当采用黏性土作填料时,宜掺入适量的碎石。在季节性冻土地区。应选择不冻胀内容来自不 土不 木规范。
6.7.2 在坡体整体稳定的条件下,土质边坡的开挖应符合下列规定: 1 边坡的坡度允许值,应根据当地经验,参照同类土层的稳定坡度确定。当土质良好且均匀、无不良地质现象、地下水不丰富时,可按表6.7.2确定。
表6.7.2 土质边坡坡度允许值
|
土的类别 |
密实度或状态 |
坡度允许值(高宽比) |
|
|
坡高在5m以内 |
坡高为5m~10m |
||
|
碎石土 |
密实 |
1:0.35~1:0.50 |
1:0.50~1:0.75 |
|
中密 |
1:0.50~1:0.75 |
1:0.75~1:1.00 |
|
|
稍密 |
1:0.75~1:1.00 |
1:1.00~1:1.25 |
|
|
黏性土 |
坚硬 |
1:0.75~1:1.00 |
1:1.00~1:1.25 |
|
硬塑 |
1:1.00~1:1.25 |
1:1.25~1:1.50 |
|
注:1 表中碎石土的充填物为坚硬或硬塑状态的黏性土; 2 对于砂土或充填物为砂土的碎石土,其边坡坡度允许值均按自然休止角确定。 3 土质边坡开挖时,应采取排水措施,边坡的顶部应设置截水沟。在任何情况下不应在坡脚及坡面上积水。 4 边坡开挖时,应由上往下开挖,依次进行。弃土应分散处理,不得将弃土堆置在坡顶及坡面上。当必须在坡顶或坡面上设置弃土转运站时,应进行坡体稳定性验算,严格控制堆栈的土方量。 5边坡开挖后,应立即对边坡进行防护处理。
6.7.3 重力式挡土墙土压力计算应符合下列规定: 1 对土质边坡,边坡主动土压力应按式(6.7.3-1)进行计算。当填土为无黏性土时,主动土压力系数可按库伦土压力理论确定。当支挡结构满足朗肯条件时,主动土压力系数可按朗肯土压力理论确定。黏性土或粉土的主动土压力也可采用楔体试算法图解求得。
Ea=(1/2)ψaγh2ka [6.7.3-1]
式中:Ea——主动土压力(kN); ψa——主动土压力增大系数,挡土墙高度小于5m时宜取1.0,高度5m~8m时宜取1.1,高度大于8m时宜取1.2; γ——填土的重度(kN/m3); h——挡土结构的高度(m); ka——主动土压力系数,按本规范附录L确定。

图6.7.3 有限填土挡土墙土压力计算示意1—岩石边坡;2—填土
2 当支挡结构后缘有较陡峻的稳定岩石坡面,岩坡的坡角θ>(45°+φ/2)时,应按有限范围填土计算土压力,取岩石坡面为破裂面。根据稳定岩石坡面与填土间的摩擦角按下式计算主动土压力系数:
ka=[sin(α+θ)sin(α+β)sin(θ-δr)]/[sin2αsin(θ-β)sin(α-δ+θ-δr)] [6.7.3-2]
式中:θ——稳定岩石坡面倾角(°); δr——稳定岩石坡面与填土间的摩擦角(°),根据试验确定。当无试验资料时,可取δr=0.33φk,φk为填土的内摩擦角标准值(°)。
6. 7.4 重力式挡土墙的构造应符合下列规定: 1 重力式挡土墙适用于高度小于8m、地层稳定、开挖土石方时不会危及相邻建筑物的地段。 2 重力式挡土墙可在基底设置逆坡。对于土质地基,基底逆坡坡度不宜大于1:10;对于岩石地基,基底逆坡坡度不宜大于1:5。 3 毛石挡土墙的墙顶宽度不宜小于400mm;混凝土挡土墙的墙顶宽度不宜小于200mm。 4 重力式挡墙的基础埋置深度,应根据地基承载力、水流冲刷、岩石裂隙发育及风化程度等因素进行确定。在特强冻涨、强冻涨地区应考虑冻涨的影响。在土质地基中,基础埋置深度不宜小于0.5m;在软质岩地基中,基础埋置深度不宜小于0.3m。 5 重力式挡土墙应每间隔10m~20m设置一道伸缩缝。当地基有变化时宜加设沉降缝。在挡土结构的拐角处,应采取加强的构造措施。
6.7.5 挡土墙的稳定性验算应符合下列规定: 1 抗滑移稳定性应按下列公式进行验算(图6.7.5-1):
[(Gn+Ean)μ]/(Eat-Gt) ≥1.3 [6.7.5-1] Gn=GcosαO (6.7.5-2) Gt=GsinαO (6.7.5-3) Eat=Easin(α-αO-δ) (6.7.5-4) Ean=Eacos(α-αO-δ) (6.7.5-5)
式中:G——挡土墙每延米自重(kN); αO——挡土墙基底的倾角(°); α——挡土墙墙背的倾角(°); δ——土对挡土墙墙背的摩擦角(°),可按表6.7.5-1选用; μ——土对挡土墙基底的摩擦系数,由试验确定,也可按表6.7.5-2选用。

图6.7.5-1 挡土墙抗滑稳定验算示意
表6. 7.5-1 土对挡土墙墙背的摩擦角δ
|
挡土墙情况 |
摩擦角δ |
|
墙背平滑、排水不良 |
(0~0.33)φk |
|
墙背粗糙、排水良好 |
(0.33~0.50)φk |
|
墙背很粗糙、排水良好 |
(0.50~0.67)φk |
|
墙背与填土间不可能滑动 |
(0.67~1.00)φk |
注:φk为墙背填土的内摩擦角。
表6.7.5-2 土对挡土墙基底的摩擦系数μ
|
土的类别 |
摩擦系数μ |
|
|
黏性土 |
可塑 |
0.25~0.30 |
|
硬塑 |
0.30~0.35 |
|
|
坚硬 |
0.35~0.45 |
|
|
粉土 |
0.30~0.40 |
|
|
中砂、粗砂、砾砂 |
0.40~0.50 |
|
|
碎石土 |
0.40~0.60 |
|
|
软质岩 |
0.40~0.60 |
|
|
表面粗糙的硬质岩 |
0.65~0.75 |
|
注:1 对易风化的软质岩和塑性指数Ip大于22的黏性土,基底摩擦系数应通过试验确定; 2 对碎石土,可根据其密实程度、填充物状况、风化程度等确定。 2 抗倾覆稳定性应按下列公式进行验算(图6.7.5-2):
(Gx0+Eazxf)/(Eaxzf)≥1.6 [6.7.5-6]Eax=Easin(α-δ) (6.7.5-7)Eaz=Eacos(α-δ) (6.7.5-8)xf=b-zcotα (6.7.5-9) zf=z-btanα0 (6.7.5-10)
式中:z——土压力作用点至墙踵的高度(m); x0——挡土墙重心至墙趾的水平距离(m); b——基底的水平投影宽度(m)。

图6.7.5-2 挡土墙抗倾覆稳定验算示意
3 整体滑动稳定性可采用圆弧滑动面法进行验算。 4 地基承载力计算,除应符合本规范第5.2节的规定外,基底合力的偏心距不应大于0.25倍基础的宽度。当基底下有软弱下卧层时,尚应进行软弱下卧层的承载力验算。
6.8 岩石边坡与岩石锚杆挡墙
6.8.1 在岩石边坡整体稳定的条件下,岩石边坡的开挖坡度允许值,应根据当地经验按工程类比的原则,参照本地区已有稳定边坡的坡度值加以确定。
6.8.2 当整体稳定的软质岩边坡高度小于12m,硬质岩边坡高度小于15m时,边坡开挖时可进行构造处理(图6. 8. 2-1、图6.8. 2-2)。

图6.8.2-1 边坡顶部支护1—崩塌体;2—岩石边坡顶部裂隙;3—锚杆;4—破裂面

图6.8.2-2 整体稳定边坡支护1—土层;2—横向连系梁;3—支护锚杆;4—面板;5—防护锚杆;6—岩石
6.8.3 对单结构面外倾边坡作用在支挡结构上的推力,可根据楔体平衡法进行计算,并应考虑结构面填充物的性质及其浸水后的变化。具有两组或多组结构面的交线倾向于临空面的边坡,可采用棱形体分割法计算棱体的下滑力。
6.8.4 岩石锚杆挡土结构设计,应符合下列规定(图6.8.4):

图6.8.4 锚杆体系支挡结构1—压顶梁;2—土层;3—立柱及面板;4—岩石;5—岩石锚杆;6—立柱嵌入岩体;7—顶撑锚杆;8—护面;9—面板;10—立柱(竖柱);11—土体;12—土坡顶部;13—土坡坡脚;14—剖面图;15—平面图
1 岩石锚杆挡土结构的荷载,宜采用主动土压力乘以1.1~1.2的增大系数; 2 挡板计算时,其荷载的取值可考虑支承挡板的两立柱间土体的卸荷拱作用; 3 立柱端部应嵌入稳定岩层内,并应根据端部的实际情况假定为固定支承或铰支承,当立柱插入岩层中的深度大于3倍立柱长边时,可按固定支承计算; 4 岩石锚杆应与立柱牢固连接,并应验算连接处立柱的抗剪切强度。
6.8.5 岩石锚杆的构造应符合下列规定: 1 岩石锚杆由锚固段和非锚固段组成。锚固段应嵌入稳定的基岩中,嵌入基岩深度应大于40倍锚杆筋体直径,且不得小于3倍锚杆的孔径。非锚固段的主筋必须进行防护处理。 2 作支护用的岩石锚杆,锚杆孔径不宜小于100mm;作防护用的锚杆,其孔径可小于100mm,但不应小于60mm。 3 岩石锚杆的间距,不应小于锚杆孔径的6倍。 4 岩石锚杆与水平面的夹角宜为15°~25°。 5 锚杆筋体宜采用热轧带肋钢筋,水泥砂浆强度不宜低于25MPa,细石混凝土强度不宜低于C25。
6.8.6 岩石锚杆锚固段的抗拔承载力,应按照本规范附录M的试验方法经现场原位试验确定。对于永久性锚杆的初步设计或对于临时性锚杆的施工阶段设计,可按下式计算:
Rt=ξƒurhr [6.8.6]
式中:Rt——锚杆抗拔承载力特征值(kN); ξ——经验系数,对于永久性锚杆取0.8,对于临时性锚杆取1.0; ƒ——砂浆与岩石间的粘结强度特征值(kPa),由试验确定,当缺乏试验资料时,可按表6.8.6取用; ur——锚杆的周长(m); hr——锚杆锚固段嵌入岩层中的长度(m),当长度超过13倍锚杆直径时,按13倍直径计算。
表6.8.6 砂浆与岩石间的粘结强度特征值(MPa)
|
岩石坚硬程度 |
软岩 |
较软岩 |
硬质岩 |
|
粘结强度 |
<0.2 |
0.2~0.4 |
0.4~0.6 |
注:水泥砂浆强度为30MPa或细石混凝土强度等级为C30。
7 软弱地基
7.1 一般规定
7.1.1 当地基压缩层主要由淤泥、淤泥质土、冲填土、杂填土或其他高压缩性土层构成时应按软弱地基进行设计。在建筑地基的局部范围内有高压缩性土层时,应按局部软弱土层处理。
7.1.2 勘察时,应查明软弱土层的均匀性、组成、分布范围和土质情况;冲填土尚应查明排水固结条件;杂填土应查明堆积历史,确定自重压力下的稳定性、湿陷性等。
7.1.3 设计时,应考虑上部结构和地基的共同作用。对建筑体型、荷载情况、结构类型和地质条件进行综合分析,确定合理的建筑措施、结构措施和地基处理方法。
7.1.4 施工时,应注意对淤泥和淤泥质土基槽底面的保护,减少扰动。荷载差异较大的建筑物,宜先建重、高部分,后建轻、低部分。
7.1.5 活荷载较大的构筑物或构筑物群(如料仓、油罐等),使用初期应根据沉降情况控制加载速率,掌握加载间隔时间,或调整活荷载分布,避免过大倾斜。
7.2 利用与处理
7.2.1 利用软弱土层作为持力层时,应符合下列规定: 1 淤泥和淤泥质土,宜利用其上覆较好土层作为持力层,当上覆土层较薄,应采取避免施工时对淤泥和淤泥质土扰动的措施; 2 冲填土、建筑垃圾和性能稳定的工业废料,当均匀性和密实度较好时,可利用作为轻型建筑物地基的持力层。
7.2.2 局部软弱土层以及暗塘、暗沟等,可采用基础梁、换土、桩基或其他方法处理。
7.2.3 当地基承载力或变形不能满足设计要求时,地基处理可选用机械压实、堆载预压、真空预压、换填垫层或复合地基等方法。处理后的地基承载力应通过试验确定。
7.2.4 机械压实包括重锤夯实、强夯、振动压实等方法,可用于处理由建筑垃圾或工业废料组成的杂填土地基,处理有效深度应通过试验确定。
7.2.5 堆载预压可用于处理较厚淤泥和淤泥质土地基。预压荷载宜大于设计荷载,预压时间应根据建筑物的要求以及地基固结情况决定,并应考虑堆载大小和速率对堆载效果和周围建筑物的影响。采用塑料排水带或砂井进行堆载预压和真空预压时,应在塑料排水带或砂井顶部做排水砂垫层。
7.2.6 换填垫层(包括加筋垫层)可用于软弱地基的浅层处理。垫层材料可采用中砂、粗砂、砾砂、角(圆)砾、碎(卵)石、矿渣、灰土、黏性土以及其他性能稳定、无腐蚀性的材料。加筋材料可采用高强度、低徐变、耐久性好的土工合成材料。
7.2.7 复合地基设计应满足建筑物承载力和变形要求。当地基土为欠固结土、膨胀土、湿陷性黄土、可液化土等特殊性土时,设计采用的增强体和施工工艺应满足处理后地基土和增强体共同承担荷载的技术要求。
7.2.8 复合地基承载力特征值应通过现场复合地基载荷试验确定,或采用增强体载荷试验结果和其周边土的承载力特征值结合经验确定。
7.2.9 复合地基基础底面的压力除应满足本规范公式(5.2.1-1)的要求外,还应满足本规范公式(5.2.1-2)的要求。
7.2.10 复合地基的最终变形量可按式(7.2.10)计算:
s=ψsps' [7.2.10]
式中:s——复合地基最终变形量(mm); ψsp——复合地基沉降计算经验系数,根据地区沉降观测资料经验确定,无地区经验时可根据变形计算深度范围内压缩模量的当量值(Es)按表7.2.10取值; s'——复合地基计算变形量(mm),可按本规范公式(5.3.5)计算;加固土层的压缩模量可取复合土层的压缩模量,按本规范第7.2.12条确定;地基变形计算深度应大于加固土层的厚度,并应符合本规范第5.3.7条的规定。
表7.2.10 复合地基沉降计算经验系数ψsp
|
Es(MPa) |
4.0 |
7.0 |
15.0 |
20.0 |
35.0 |
|
ψsp |
1.0 |
0.7 |
0.4 |
0.25 |
0.2 |
7.2.11 变形计算深度范围内压缩模量的当量值(Es),应按下式计算:

(7.2.11)
式中:Espi——第i层复合土层的压缩模量(MPa); Esj——加固土层以下的第j层土的压缩模量(MPa)。
7.2.12 复合地基变形计算时,复合土层的压缩模量可按下列公式计算:
Espi=ξ·Esi [7.2.12-1]ξ=ƒspk/ƒak (7.2.12-2)
式中:Espi——第i层复合土层的压缩模量(MPa); ξ——复合土层的压缩模量提高系数; ƒspk——复合地基承载力特征值(kPa); ƒak——基础底面下天然地基承载力特征值(kPa)。
7.2.13 增强体顶部应设褥垫层。褥垫层可采用中砂、粗砂、砾砂、碎石、卵石等散体材料。碎石、卵石宜掺入20%~30%的砂。
7.3 建筑措施
7.3.1 在满足使用和其他要求的前提下,建筑体型应力求简单。当建筑体型比较复杂时,宜根据其平面形状和高度差异情况,在适当部位用沉降缝将其划分成若干个刚度较好的单元;当高度差异或荷载差异较大时,可将两者隔开一定距离,当拉开距离后的两单元必须连接时,应采用能自由沉降的连接构造。
7.3.2 当建筑物设置沉降缝时,应符合下列规定: 1 建筑物的下列部位,宜设置沉降缝: 1)建筑平面的转折部位; 2)高度差异或荷载差异处; 3)长高比过大的砌体承重结构或钢筋混凝土框架结构的适当部位; 4)地基土的压缩性有显著差异处; 5)建筑结构或基础类型不同处; 6)分期建造房屋的交界处。 2 沉降缝应有足够的宽度,沉降缝宽度可按表7.3.2选用。
表7.3.2 房屋沉降缝的宽度
|
房屋层数 |
沉降缝宽度(mm) |
|
二~三四~五五层以上 |
50~8080~120不小于120 |
7.3.3 相邻建筑物基础间的净距,可按表7.3.3选用。
表7.3.3 相邻建筑物基础间的净距(m)
|
被影响建筑的长高比 |
2.0≤(L/Hf)<3.0 |
3.0≤(L/Hf)<5.0 |
|
|
影响建筑的预估平均沉降量s(mm) |
|||
|
70~150160~250250~400>400 |
2~33~66~99~12 |
3~66~99~12不小于12 |
|
注:1 表中L为建筑物长度或沉降缝分隔的单元长度(m);Hf为自基础底面标高算起的建筑物高度(m); 2 当被影响建筑的长高比为1.5<(L/Hf)<2.0时,其间净距可适当缩小。
7.3.4 相邻高耸结构或对倾斜要求严格的构筑物的外墙间隔距离,应根据倾斜允许值计算确定。
7.3.5 建筑物各组成部分的标高,应根据可能产生的不均匀沉降采取下列相应措施: 1 室内地坪和地下设施的标高,应根据预估沉降量予以提高。建筑物各部分(或设备之间)有联系时,可将沉降较大者标高提高。 2 建筑物与设备之间,应留有净空。当建筑物有管道穿过时,应预留孔洞,或采用柔性的管道接头等。
7.4 结构措施
7.4.1 为减少建筑物沉降和不均匀沉降,可采用下列措施: 1 选用轻型结构,减轻墙体自重,采用架空地板代替室内填土; 2 设置地下室或半地下室,采用覆土少、自重轻的基础形式; 3 调整各部分的荷载分布、基础宽度或埋置深度; 4 对不均匀沉降要求严格的建筑物,可选用较小的基底压力。
7.4.2 对于建筑体型复杂、荷载差异较大的框架结构,可采用箱基、桩基、筏基等加强基础整体刚度,减少不均匀沉降。
7.4.3 对于砌体承重结构的房屋,宜采用下列措施增强整体刚度和承载力: 1 对于三层和三层以上的房屋,其长高比L/Hf宜小于或等于2.5;当房屋的长高比为2.5<L/Hf≤3.0时,宜做到纵墙不转折或少转折,并应控制其内横墙间距或增强基础刚度和承载力。当房屋的预估最大沉降量小于或等于120mm时,其长高比可不受限制。 2 墙体内宜设置钢筋混凝土圈梁或钢筋砖圈梁。 3 在墙体上开洞时,宜在开洞部位配筋或采用构造柱及圈梁加强。
7.4.4 圈梁应按下列要求设置: 1 在多层房屋的基础和顶层处应各设置一道,其他各层可隔层设置,必要时也可逐层设置。单层工业厂房、仓库,可结合基础梁、连系梁、过梁等酌情设置。 2 圈梁应设置在外墙、内纵墙和主要内横墙上,并宜在平面内连成封闭系统。
7.5 大面积地面荷载
7.5.1 在建筑范围内有地面荷载的单层工业厂房、露天车间和单层仓库的设计,应考虑由于地面荷载所产生的地基不均匀变形及其对上部结构的不利影响。当有条件时,宜利用堆载预压过的建筑场地。 注:地面荷载系指生产堆料、工业设备等地面堆载和天然地面上的大面积填土。
7.5.2 地面堆载应均衡,并应根据使用要求、堆载特点、结构类型和地质条件确定允许堆载量和范围。 堆载不宜压在基础上。大面积的填土,宜在基础施工前三个月完成。
7.5.3 地面堆载荷载应满足地基承载力、变形、稳定性要求,并应考虑对周边环境的影响。当堆载量超过地基承载力特征值时应进行专项设计。
7.5.4 厂房和仓库的结构设计,可适当提高柱、墙的抗弯能力,增强房屋的刚度。对于中、小型仓库,宜采用静定结构。
7.5.5 对于在使用过程中允许调整吊车轨道的单层钢筋混凝土工业厂房和露天车间的天然地基设计,除应遵守本规范第5章的有关规定外,尚应符合下式要求:
s'g≤[s'g] (7.5.5)
式中:s'g——由地面荷载引起柱基内侧边缘中点的地基附加沉降量计算值,可按本规范附录N计算; [s'g]——由地面荷载引起柱基内侧边缘中点的地基附加沉降量允许值,可按表7.5.5采用。
表7.5.5 地基附加沉降量允许值[s'g](mm)
|
a |
6 |
10 |
20 |
30 |
40 |
50 |
60 |
70 |
|
|
b |
|||||||||
|
1 |
40 |
45 |
50 |
55 |
55 |
||||
|
2 |
45 |
50 |
55 |
60 |
60 |
||||
|
3 |
50 |
55 |
60 |
65 |
70 |
75 |
|||
|
4 |
55 |
60 |
65 |
70 |
75 |
80 |
85 |
90 |
|
|
5 |
65 |
70 |
75 |
80 |
85 |
90 |
95 |
100 |
|
注:表中a为地面荷载的纵向长度(m);b为车间跨度方向基础底面边长(m)。
7.5.6 按本规范第7.5.5条设计时,应考虑在使用过程中垫高或移动吊车轨道和吊车梁的可能性。应增大吊车顶面与屋架下弦间的净空和吊车边缘与上柱边缘间的净距,当地基土平均压缩模量Es为3MPa左右,地面平均荷载大于25kPa时,净空宜大于300mm,净距宜大于200mm。并应按吊车轨道可能移动的幅度,加宽钢筋混凝土吊车梁腹部及配置抗扭钢筋。
7.5.7 具有地面荷载的建筑地基遇到下列情况之一时,宜采用桩基: 1 不符合本规范第7.5.5条要求; 2 车间内设有起重量300kN以上、工作级别大于A5的吊车; 3 基底下软土层较薄,采用桩基经济者。
8 基 础
8.1 无筋扩展基础
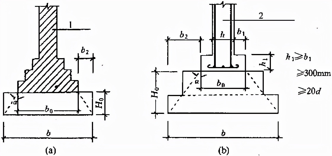
8.1.1 无筋扩展基础(图8.1.1)高度应满足下式的要求:
H0≥(b-b0)/2tanα (8.1.1)
式中:b——基础底面宽度(m); b0——基础顶面的墙体宽度或柱脚宽度(m); H0——基础高度(m); tanα——基础台阶宽高比b2:H0,其允许值可按表8.1.1选用; b2——基础台阶宽度(m)。
表8.1.1 无筋扩展基础台阶宽高比的允许值
|
基础材料 |
质量要求 |
台阶宽高比的允许值 |
||
|
pk≤100 |
100<pk≤200 |
200<pk ≤300 |
||
|
混凝土基础 |
C15混凝土 |
1:1.00 |
1:1.00 |
1:1.25 |
|
毛石混凝土基础 |
C15混凝土 |
1:1.00 |
1:1.25 |
1:1.50 |
|
砖基础 |
砖不低于MU10、砂浆不低于M5 |
1:1.50 |
1:1.50 |
1:1.50 |
|
毛石基础 |
砂浆不低于M5 |
1:1.25 |
1:1.50 |
— |
|
灰土基础 |
体积比为3:7或2:8的灰土,其最小干密度:粉土1550kg/m3粉质黏土1500kg/m3黏土1450kg/m3 |
1:1.25 |
1:1.50 |
— |
|
三合土基础 |
体积比1:2:4~1:3:6(石灰:砂:骨料),每层约虚铺220mm,夯至150mm |
1:1.50 |
1:1.20 |
— |
注:1 pk为作用的标准组合时基础底面处的平均压力值(kPa); 2 阶梯形毛石基础的每阶伸出宽度,不宜大于200mm; 3 当基础由不同材料叠合组成时,应对接触部分作抗压验算; 4 混凝土基础单侧扩展范围内基础底面处的平均压力值超过300kPa时,尚应进行抗剪验算;对基底反力集中于立柱附近的岩石地基,应进行局部受压承载力验算。

图8.1.1 无筋扩展基础构造示意d—柱中纵向钢筋直径;1—承重墙;2—钢筋混凝土柱
8.1.2 采用无筋扩展基础的钢筋混凝土柱,其柱脚高度h1不得小于b1(图8.1.1),并不应小于300mm且不小于20d。当柱纵向钢筋在柱脚内的竖向锚固长度不满足锚固要求时,可沿水平方向弯折,弯折后的水平锚固长度不应小于10d也不应大于20d。 注:d为柱中的纵向受力钢筋的最大直径。
8.2 扩展基础
8.2.1 扩展基础的构造,应符合下列规定: 1 锥形基础的边缘高度不宜小于200mm,且两个方向的坡度不宜大于1:3;阶梯形基础的每阶高度,宜为300mm~500mm。 2 垫层的厚度不宜小于70mm,垫层混凝土强度等级不宜低于C10。 3 扩展基础受力钢筋最小配筋率不应小于0.15%,底板受力钢筋的最小直径不应小于10mm,间距不应大于200mm,也不应小于100mm。墙下钢筋混凝土条形基础纵向分布钢筋的直径不应小于8mm;间距不应大于300mm;每延米分布钢筋的面积不应小于受力钢筋面积的15%。当有垫层时钢筋保护层的厚度不应小于40mm;无垫层时不应小于70mm。 4 混凝土强度等级不应低于C20。 5 当柱下钢筋混凝土独立基础的边长和墙下钢筋混凝土条形基础的宽度大于或等于2.5m时,底板受力钢筋的长度可取边长或宽度的0.9倍,并宜交错布置(图8.2.1-1)。 6 钢筋混凝土条形基础底板在T形及十字形交接处,底板横向受力钢筋仅沿一个主要受力方向通长布置,另一方向的横向受力钢筋可布置到主要受力方向底板宽度1/4处(图8.2.1-2)。在拐角处底板横向受力钢筋应沿两个方向布置(图8.2.1-2)。

图8.2.1-1 柱下独立基础底板受力钢筋布置

图8.2.1-2 墙下条形基础纵横交叉处底板受力钢筋布置
8.2.2 钢筋混凝土柱和剪力墙纵向受力钢筋在基础内的锚固长度应符合下列规定: 1 钢筋混凝土柱和剪力墙纵向受力钢筋在基础内的锚固长度(la)应根据现行国家标准《混凝土结构设计规范》GB 50010有关规定确定; 2 抗震设防烈度为6度、7度、8度和9度地区的建筑工程,纵向受力钢筋的抗震锚固长度(laE)应按下式计算: 1)一、二级抗震等级纵向受力钢筋的抗震锚固长度(laE)应按下式计算:
laE=1.15la [8.2.2-1]
2)三级抗震等级纵向受力钢筋的抗震锚固长度(laE)应按下式计算:
laE=1.05la [8.2.2-2]
3)四级抗震等级纵向受力钢筋的抗震锚固长度(laE)应按下式计算:
laE=la (8.2.2-3)
式中:la——纵向受拉钢筋的锚固长度(m)。 3 当基础高度小于la(laE)时,纵向受力钢筋的锚固总长度除符合上述要求外,其最小直锚段的长度不应小于20d,弯折段的长度不应小于150mm。
8.2.3 现浇柱的基础,其插筋的数量、直径以及钢筋种类应与柱内纵向受力钢筋相同。插筋的锚固长度应满足本规范第8.2.2条的规定,插筋与柱的纵向受力钢筋的连接方法,应符合现行国家标准《混凝土结构设计规范》GB 50010的有关规定。插筋的下端宜做成直钩放在基础底板钢筋网上。当符合下列条件之一时,可仅将四角的插筋伸至底板钢筋网上,其余插筋锚固在基础顶面下la或laE处(图8.2.3)。 1 柱为轴心受压或小偏心受压,基础高度大于或等于1200mm; 2 柱为大偏心受压,基础高度大于或等于1400mm。

图8.2.3 现浇柱的基础中插筋构造示意
8.2.4 预制钢筋混凝土柱与杯口基础的连接(图8.2.4),应符合下列规定;

图8.2.4 预制钢筋混凝土柱与杯口基础的连接示意注:a2≥a1;1—焊接网
1 柱的插入深度,可按表8.2.4-1选用,并应满足本规范第8.2.2条钢筋锚固长度的要求及吊装时柱的稳定性。
表8.2.4-1 柱的插入深度h1(mm)
|
矩形或工字形柱 |
双肢柱 |
|||
|
h<500 |
500≤h<800 |
800≤h≤1000 |
h>1000 |
|
|
h~1.2h |
h |
0.9h且≥800 |
0.8h≥1000 |
(1/3~2/3)ha(1.5~1.8)hb |
注:1 h为柱截面长边尺寸;ha为双肢柱全截面长边尺寸;hb为双肢柱全截面短边尺寸; 2 柱轴心受压或小偏心受压时,h1可适当减小,偏心距大于2h时,h1应适当加大。 2 基础的杯底厚度和杯壁厚度,可按表8.2.4-2选用。
表8.2.4-2 基础的杯底厚度和杯壁厚度
|
柱截面长边尺寸h(mm) |
杯底厚度a1(mm) |
杯壁厚度t(mm) |
|
h<500 |
≥150 |
150~200 |
|
500≤h<800 |
≥200 |
≥200 |
|
800≤h<1000 |
≥200 |
≥300 |
|
1000≤h<1500 |
≥250 |
≥350 |
|
1500≤h<2000 |
≥300 |
≥400 |
注:1 双肢柱的杯底厚度值,可适当加大; 2 当有基础梁时,基础梁下的杯壁厚度,应满足其支承宽度的要求; 3 柱子插入杯口部分的表面应凿毛,柱子与杯口之间的空隙,应用比基础混凝土强度等级高一级的细石混凝土充填密实,当达到材料设计强度的70%以上时,方能进行上部吊装。 3 当柱为轴心受压或小偏心受压且t/h2≥0.65时,或大偏心受压且t/h2≥0.75时,杯壁可不配筋;当柱为轴心受压或小偏心受压且0.5≤t/h2<0.65时,杯壁可按表8.2.4-3构造配筋;其他情况下,应按计算配筋。
表8.2.4-3 杯壁构造配筋
|
柱截面长边尺寸(mm) |
h<1000 |
1000≤h<1500 |
1500≤h≤2000 |
|
钢筋直径(mm) |
8~10 |
10~12 |
12~16 |
注:表中钢筋置于杯口顶部,每边两根(图8.2.4)。
8.2.5 预制钢筋混凝土柱(包括双肢柱)与高杯口基础的连接(图8.2.5-1),除应符合本规范第8.2.4条插入深度的规定外,尚应符合下列规定:

图8.2.5-1 高杯口基础H—短柱高度
1 起重机起重量小于或等于750kN,轨顶标高小于或等于14m,基本风压小于0.5kPa的工业厂房,且基础短柱的高度不大于5m。 2 起重机起重量大于750kN,基本风压大于0.5kPa,应符合下式的规定:
E2J2/E1J1≥10 (8.2.5-1)
式中:E1——预制钢筋混凝土柱的弹性模量(kPa); J1——预制钢筋混凝土柱对其截面短轴的惯性矩(m4); E2——短柱的钢筋混凝土弹性模量(kPa); J2——短柱对其截面短轴的惯性矩(m4)。 3 当基础短柱的高度大于5m,应符合下式的规定:
△2/△1≤1.1 (8.2.5-2)
式中:△1——单位水平力作用在以高杯口基础顶面为固定端的柱顶时,柱顶的水平位移(m): △2——单位水平力作用在以短柱底面为固定端的柱顶时,柱顶的水平位移(m)。 4 杯壁厚度应符合表8.2.5的规定。高杯口基础短柱的纵向钢筋,除满足计算要求外,在非地震区及抗震设防烈度低于9度地区,且满足本条第1、2、3款的要求时,短柱四角纵向钢筋的直径不宜小于20mm,并延伸至基础底板的钢筋网上;短柱长边的纵向钢筋,当长边尺寸小于或等于1000mm时,其钢筋直径不应小于12mm,间距不应大于300mm;当长边尺寸大于1000mm时,其钢筋直径不应小于16mm,间距不应大于300mm,且每隔一米左右伸下一根并作150mm的直钩支承在基础底部的钢筋网上,其余钢筋锚固至基础底板顶面下la处(图8.2.5-2)。短柱短边每300mm应配置直径不小于12mm的纵向钢筋且每边的配筋率不少于0.05%短柱的截面面积。短柱中杯口壁内横向箍筋不应小于ф8@150;短柱中其他部位的箍筋直径不应小于8mm,间距不应大于300mm;当抗震设防烈度为8度和9度时,箍筋直径不应小于8mm,间距不应大于150mm。

图8.2.5-2 高杯口基础构造配筋1—杯口壁内横向箍筋ф8@150;2—顶层焊接钢筋网;3—插入基础底部的纵向钢筋不应少于每米1根;4—短柱四角钢筋一般不小于 ф 20;5—短柱长边纵向钢筋当h3≤1000用ф12@300,当h3>1000用 ф 16@300;6—按构造要求;7—短柱短边纵向钢筋每边不小于0.05%b3h3(不小于ф12@300) 表8.2.5 高杯口基础的杯壁厚度t
|
h(mm) |
t(mm) |
|
600<h≤800 |
≥250 |
|
800<h≤1000 |
≥300 |
|
1000<h≤1400 |
≥350 |
|
1400<h≤1600 |
≥400 |
8.2.6 扩展基础的基础底面积。应按本规范第5章有关规定确定。在条形基础相交处,不应重复计入基础面积。
8.2.7 扩展基础的计算应符合下列规定: 1 对柱下独立基础,当冲切破坏锥体落在基础底面以内时,应验算柱与基础交接处以及基础变阶处的受冲切承载力; 2 对基础底面短边尺寸小于或等于柱宽加两倍基础有效高度的柱下独立基础,以及墙下条形基础,应验算柱(墙)与基础交接处的基础受剪切承载力; 3 基础底板的配筋,应按抗弯计算确定; 4 当基础的混凝土强度等级小于柱的混凝土强度等级时,尚应验算柱下基础顶面的局部受压承载力。
8.2.8 柱下独立基础的受冲切承载力应按下列公式验算:
Fl≤0.7βhpƒtamh0 [8.2.8-1]am=(at+ab)/2 (8.2.8-2)Fl=pjAl (8.2.8-3)
式中:βhp——受冲切承载力截面高度影响系数,当h不大于800mm时,βhp取1.0;当h大于或等于2000mm时,βhp取0.9,其间按线性内插法取用; ƒt——混凝土轴心抗拉强度设计值(kPa); h0 ——基础冲切破坏锥体的有效高度(m); am——冲切破坏锥体最不利一侧计算长度(m); at——冲切破坏锥体最不利一侧斜截面的上边长(m),当计算柱与基础交接处的受冲切承载力时,取柱宽;当计算基础变阶处的受冲切承载力时,取上阶宽; ab——冲切破坏锥体最不利一侧斜截面在基础底面积范围内的下边长(m),当冲切破坏锥体的底面落在基础底面以内(图8.2.8a、b),计算柱与基础交接处的受冲切承载力时,取柱宽加两倍基础有效高度;当计算基础变阶处的受冲切承载力时,取上阶宽加两倍该处的基础有效高度; pj——扣除基础自重及其上土重后相应于作用的基本组合时的地基土单位面积净反力(kPa),对偏心受压基础可取基础边缘处最大地基土单位面积净反力; Al——冲切验算时取用的部分基底面积(m2)(图8.2.8a、b中的阴影面积ABCDEF); Fl——相应于作用的基本组合时作用在Al上的地基土净反力设计值(kPa)。

表8.2.8 高杯口基础的杯壁厚度t
8.2.9 当基础底面短边尺寸小于或等于柱宽加两倍基础有效高度时,应按下列公式验算柱与基础交接处截面受剪承载力:
Vs≤0.7βhsƒtAO [8.2.9-1]βhs=(800/hO)1/4 (8.2.9-2)
式中:Vs——相应于作用的基本组合时,柱与基础交接处的剪力设计值(kN),图8.2.9中的阴影面积乘以基底平均净反力; βhs——受剪切承载力截面高度影响系数,当h0<800mm时,取h0=800mm;当h0>2000mm时,取h0=2000mm; A0——验算截面处基础的有效截面面积(m2)。当验算截面为阶形或锥形时,可将其截面折算成矩形截面,截面的折算宽度和截面的有效高度按本规范附录U计算。

(a)柱与基础交接处 (b)基础变阶处图8.2.9 验算阶形基础受剪切承载力示意
8.2.10 墙下条形基础底板应按本规范公式(8. 2.9-1)验算墙与基础底板交接处截面受剪承载力,其中A0为验算截面处基础底板的单位长度垂直截面有效面积,Vs为墙与基础交接处由基底平均净反力产生的单位长度剪力设计值。
8.2.11 在轴心荷载或单向偏心荷载作用下,当台阶的宽高比小于或等于2.5且偏心距小于或等于1/6基础宽度时,柱下矩形独立基础任意截面的底板弯矩可按下列简化方法进行计算(图8.2.11):

[8.2.11-1]

[8.2.11-2]
式中:MⅠ、MⅡ——相应于作用的基本组合时,任意截面Ⅰ-Ⅰ、Ⅱ-Ⅱ处的弯矩设计值(kN·m); a1——任意截面Ⅰ-Ⅰ至基底边缘最大反力处的距离(m); l、b——基础底面的边长(m): pmax、pmin——相应于作用的基本组合时的基础底面边缘最大和最小地基反力设计值(kPa); p——相应于作用的基本组合时在任意截面Ⅰ-Ⅰ处基础底面地基反力设计值(kPa); G——考虑作用分项系数的基础自重及其上的土自重(kN);当组合值由永久作用控制时,作用分项系数可取1.35。

图8. 2. 11 矩形基础底板的计算示意
8.2.12 基础底板配筋除满足计算和最小配筋率要求外,尚应符合本规范第8.2.1条第3款的构造要求。计算最小配筋率时,对阶形或锥形基础截面,可将其截面折算成矩形截面,截面的折算宽度和截面的有效高度,按附录U计算。基础底板钢筋可按式(8.2.12)计算。
As=M/0.9ƒyh0 [8.2.12]
8.2.13 当柱下独立柱基底面长短边之比ω在大于或等于2、小于或等于3的范围时,基础底板短向钢筋应按上述方法布置:将短向全部钢筋面积乘以λ 后求得的钢筋,均匀分布在与柱中心线重合的宽度等于基础短边的中间带宽范围内(图8.2.13),其余的短向钢筋则均匀分布在中间带宽的两侧。长向配筋应均匀分布在基础全宽范围内。λ 按下式计算:
λ=1-(ω/6) [8.2.13]
8.2.14 墙下条形基础(图8.2.14)的受弯计算和配筋应符合下列规定:

图8.2.13 基础底板短向钢筋布置示意1—λ 倍短向全部钢筋面积均匀配置在阴影范围内

图8.2.14 墙下条形基础的计算示意1一砖墙;2—混凝土墙
1 任意截面每延米宽度的弯矩,可按下式进行计算

[8.2.14]
2 其最大弯矩截面的位置,应符合下列规定: 1)当墙体材料为混凝土时,取a1=b1; 2)如为砖墙且放脚不大于1/4砖长时,取a1=b1+1/4砖长。 3 墙下条形基础底板每延米宽度的配筋除满足计算和最小配筋率要求外,尚应符合本规范第8.2.1条第3款的构造要求。
8.3 柱下条形基础
8.3.1 柱下条形基础的构造,除应符合本规范第8.2.1条的要求外,尚应符合下列规定: 1 柱下条形基础梁的高度宜为柱距的1/4~1/8。翼板厚度不应小于200mm。当翼板厚度大于250mm时,宜采用变厚度翼板,其顶面坡度宜小于或等于1:3。 2 条形基础的端部宜向外伸出,其长度宜为第一跨距的0.25倍。 3 现浇柱与条形基础梁的交接处,基础梁的平面尺寸应大于柱的平面尺寸,且柱的边缘至基础梁边缘的距离不得小于50mm(图8.3.1)。

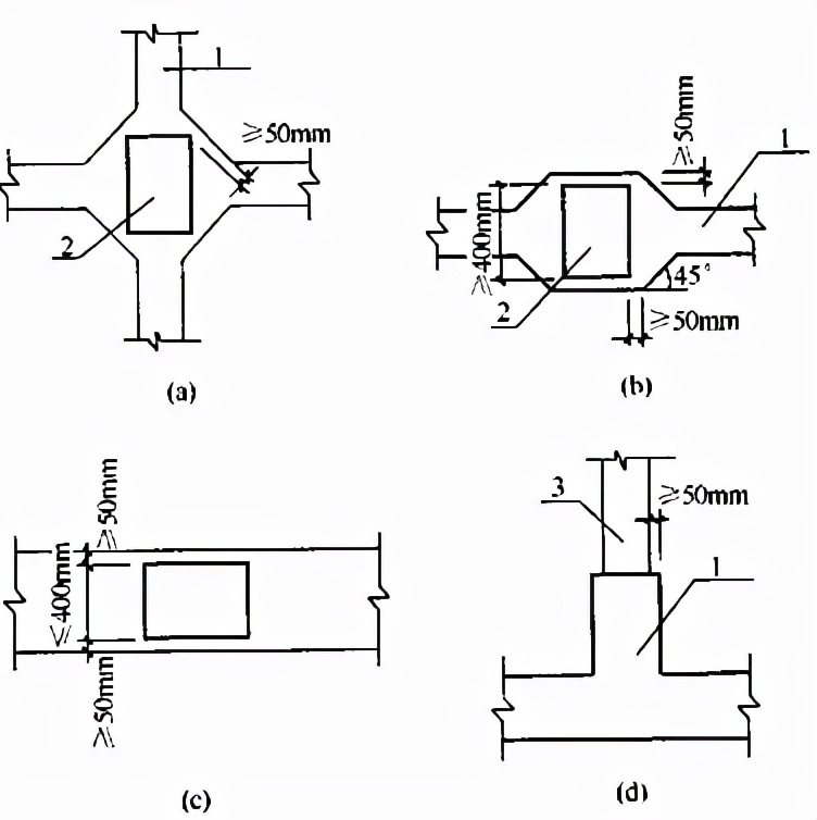
图8.3. 1 现浇柱与条形基础梁交接处平面尺寸1—基础梁;2—柱
4 条形基础梁顶部和底部的纵向受力钢筋除应满足计算要求外,顶部钢筋应按计算配筋全部贯通,底部通长钢筋不应少于底部受力钢筋截面总面积的1/3。 5 柱下条形基础的混凝土强度等级,不应低于C20。
8.3.2 柱下条形基础的计算,除应符合本规范第8.2.6条的要求外,尚应符合下列规定: 1 在比较均匀的地基上,上部结构刚度较好,荷载分布较均匀,且条形基础梁的高度不小于1/6柱距时,地基反力可按直线分布,条形基础梁的内力可按连续梁计算,此时边跨跨中弯矩及第一内支座的弯矩值宜乘以1.2的系数。 2 当不满足本条第1款的要求时,宜按弹性地基梁计算。 3 对交叉条形基础,交点上的柱荷载,可按静力平衡条件及变形协调条件,进行分配。其内力可按本条上述规定,分别进行计算。 4 应验算柱边缘处基础梁的受剪承载力。 5 当存在扭矩时,尚应作抗扭计算。 6 当条形基础的混凝土强度等级小于柱的混凝土强度等级时,应验算柱下条形基础梁顶面的局部受压承载力。
8.4 高层建筑筏形基础
8.4.1 筏形基础分为梁板式和平板式两种类型,其选型应根据地基土质、上部结构体系、柱距、荷载大小、使用要求以及施工条件等因素确定。框架-核心筒结构和筒中筒结构宜采用平板式筏形基础。
8.4.2 筏形基础的平面尺寸,应根据工程地质条件、上部结构的布置、地下结构底层平面以及荷载分布等因素按本规范第5章有关规定确定。对单幢建筑物,在地基土比较均匀的条件下,基底平面形心宜与结构竖向永久荷载重心重合。当不能重合时,在作用的准永久组合下,偏心距e宜符合下式规定:
e≤0.1W/A [8.4. 2]
式中:W——与偏心距方向一致的基础底面边缘抵抗矩(m3); A——基础底面积(m2)。
8.4.3 对四周与土层紧密接触带地下室外墙的整体式筏基和箱基,当地基持力层为非密实的土和岩石。场地类别为Ⅲ类和Ⅳ类,抗震设防烈度为8度和9度,结构基本自振周期处于特征周期的1.2倍~5倍范围时,按刚性地基假定计算的基底水平地震剪力、倾覆力矩可按设防烈度分别乘以0.90和0.85的折减系数。
8.4.4 筏形基础的混凝土强度等级不应低于C30,当有地下室时应采用防水混凝土。防水混凝土的抗渗等级应按表8.4.4选用。对重要建筑,宜采用自防水并设置架空排水层。
表8.4.4 防水混凝土抗渗等级
|
埋置深度d(m) |
设计抗渗等级 |
埋置深度d(m) |
设计抗渗等级 |
|
d<10 |
P6 |
20≤d<30 |
P10 |
|
10≤d<20 |
P8 |
30≤d |
P12 |
8.4.5 采用筏形基础的地下室,钢筋混凝土外墙厚度不应小于250mm,内墙厚度不宜小于200mm。墙的截面设计除满足承载力要求外,尚应考虑变形、抗裂及外墙防渗等要求。墙体内应设置双面钢筋,钢筋不宜采用光面圆钢筋,水平钢筋的直径不应小于12mm,竖向钢筋的直径不应小于10mm,间距不应大于200mm。
8.4.6 平板式筏基的板厚应满足受冲切承载力的要求。
8.4.7 平板式筏基柱下冲切验算应符合下列规定: 1 平板式筏基柱下冲切验算时应考虑作用在冲切临界截面重心上的不平衡弯矩产生的附加剪力。对基础边柱和角柱冲切验算时,其冲切力应分别乘以1.1和1.2的增大系数。距柱边h0/2处冲切临界截面的最大剪应力τmax应按式(8.4. 7-1)、式(8.4. 7-2)进行计算(图8.4.7)。板的最小厚度不应小于500mm。
τmax=(Fl/umh0)+αs(MunbcAB/Is) [8.4. 7-1]τmax≤0.7(0.4+1.2/βs)βhpƒt [8.4.7-2]

图8.4.7内柱冲切临界截面示意1—筏板;2—柱

(8.4.7-3)
式中:Fl——相应于作用的基本组合时的冲切力(kN),对内柱取轴力设计值减去筏板冲切破坏锥体内的基底净反力设计值;对边柱和角柱,取轴力设计值减去筏板冲切临界截面范围内的基底净反力设计值; um——距柱边缘不小于h0/2处冲切临界截面的最小周长(m),按本规范附录P计算; h0——筏板的有效高度(m); Munb——作用在冲切临界截面重心上的不平衡弯矩设计值(kN·m); cAB——沿弯矩作用方向,冲切临界截面重心至冲切临界截面最大剪应力点的距离(m),按附录P计算; Is——冲切临界截面对其重心的极惯性矩(m4),按本规范附录P计算; βs——柱截面长边与短边的比值,当βs<2时,βs取2,当βs>4时,βs取4 βhp——受冲切承载力截面高度影响系数,当h≤800mm时,取βhp=1.0;当h≥2000mm时,取βhp =0.9,其间按线性内插法取值; ƒt——混凝土轴心抗拉强度设计值(kPa); c1——与弯矩作用方向一致的冲切临界截面的边长(m),按本规范附录P计算; c2——垂直于c1的冲切临界截面的边长(m),按本规范附录P计算; αs——不平衡弯矩通过冲切临界截面上的偏心剪力来传递的分配系数。 2 当柱荷载较大,等厚度筏板的受冲切承载力不能满足要求时,可在筏板上面增设柱墩或在筏板下局部增加板厚或采用抗冲切钢筋等措施满足受冲切承载能力要求。
8.4.8 平板式筏基内筒下的板厚应满足受冲切承载力的要求,并应符合下列规定: 1 受冲切承载力应按下式进行计算:
Fl/umh0 ≤0.7βhpƒt/η [8.4.8]
式中:Fl——相应于作用的基本组合时,内筒所承受的轴力设计值减去内筒下筏板冲切破坏锥体内的基底净反力设计值(kN); um——距内筒外表面h0/2处冲切临界截面的周长(m)(图8.4.8); hO——距内筒外表面h0/2处筏板的截面有效高度(m); η——内筒冲切临界截面周长影响系数,取1.25。 2 当需要考虑内筒根部弯矩的影响时,距内筒外表面h0/2处冲切临界截面的最大剪应力可按公式(8.4.7-1)计算,此时τmax≤0.7βhpƒt/η。

图8. 4.8 筏板受内筒冲切的临界截面位置
8.4.9 平板式筏基应验算距内筒和柱边缘 h0 处截面的受剪承载力,当筏板变厚度时,尚应验算变厚度处筏板的受剪承载力。
8.4.10 平板式筏基受剪承载力应按式(8.4.10)验算,当筏板的厚度大于2000mm时,宜在板厚中间部位设置直径不小于12mm、间距不大于300mm的双向钢筋网。
Vs≤0.7βhsƒtbwh0 [8.4.10]
式中:Vs——相应于作用的基本组合时,基底净反力平均值产生的距内筒或柱边缘h0处筏板单位宽度的剪力设计值(kN); bw——筏板计算截面单位宽度(m); h0——距内筒或柱边缘h0处筏板的截面有效高度(m)。
8.4.11 梁板式筏基底板应计算正截面受弯承载力,其厚度尚应满足受冲切承载力、受剪切承载力的要求。
8.4.12 梁板式筏基底板受冲切、受剪切承载力计算应符合下列规定: 1 梁板式筏基底板受冲切承载力应按下式进行计算:
Fl≤0.7βhpƒtumh0 [8.4.12-1]
式中:Fl——作用的基本组合时,图8.4.12-1中阴影部分面积上的基底平均净反力设计值(kN); um——距基础梁边h0/2处冲切临界截面的周长(m)(图8.4.12-1)。

图8.4.12-1 底板的冲切计算示意1—冲切破坏锥体的斜截面;2—梁;3—底板
2 当底板区格为矩形双向板时,底板受冲切所需的厚度h0应按式(8.4.12-2)进行计算,其底板厚度与最大双向板格的短边净跨之比不应小于1/14,且板厚不应小于400mm。

(8.4.12-2)

图8.4.12-2 底板剪切计算示意
式中:lnl、ln2——计算板格的短边和长边的净长度(m); pn——扣除底板及其上填土自重后,相应于作用的基本组合时的基底平均净反力设计值(kPa)。 3 梁板式筏基双向底板斜截面受剪承载力应按下式进行计算:
Vs≤0.7βhsƒt(ln2-2h0)h0 (8. 4.12-3)
式中:Vs——距梁边缘h0处,作用在图8.4.12-2中阴影部分面积上的基底平均净反力产生的剪力设计值(kN) 4 当底板板格为单向板时,其斜截面受剪承载力应按本规范第8.2.10条验算,其底板厚度不应小于400mm。
8.4.13 地下室底层柱、剪力墙与梁板式筏基的基础梁连接的构造应符合下列规定: 1 柱、墙的边缘至基础梁边缘的距离不应小于50mm(图8.4.13); 2 当交叉基础梁的宽度小于柱截面的边长时,交叉基础梁连接处应设置八字角,柱角与八字角之间的净距不宜小于50mm(图8.4.13a); 3 单向基础梁与柱的连接,可按图8.4.13b、c采用; 4 基础梁与剪力墙的连接,可按图8.4. 13d采用。

图8. 4. 13 地下室底层柱或剪力墙与梁板式筏基的基础梁连接的构造要求1—基础梁;2—柱;3—墙
8.4.14 当地基土比较均匀、地层压缩层范围内无软弱土层或可液化土层、 上部结构刚度较好,柱网和荷载较均匀、相邻柱荷载及柱间距的变化不超过20%,且梁板式筏基梁的高跨比或平板式筏基板的厚跨比不小于1/6时,筏形基础可仅考虑局部弯曲作用。筏形基础的内力,可按基底反力直线分布进行计算,计算时基底反力应扣除底板自重及其上填土的自重。当不满足上述要求时,筏基内力可按弹性地基梁板方法进行分析计算。
8.4.15 按基底反力直线分布计算的梁板式筏基,其基础梁的内力可按连续梁分析,边跨跨中弯矩以及第一内支座的弯矩值宜乘以1.2的系数。梁板式筏基的底板和基础梁的配筋除满足计算要求外,纵横方向的底部钢筋尚应有不少于1/3贯通全跨,顶部钢筋按计算配筋全部连通,底板上下贯通钢筋的配筋率不应小于0.15%。
8.4.16 按基底反力直线分布计算的平板式筏基,可按柱下板带和跨中板带分别进行内力分析。柱下板带中,柱宽及其两侧各0.5倍板厚且不大于1/4板跨的有效宽度范围内,其钢筋配置量不应小于柱下板带钢筋数量的一半,且应能承受部分不平衡弯矩αmMunb。Munb为作用在冲切临界截面重心上的不平衡弯矩,αm应按式(8.4.16)进行计算。平板式筏基柱下板带和跨中板带的底部支座钢筋应有不少于1/3贯通全跨,顶部钢筋应按计算配筋全部连通,上下贯通钢筋的配筋率不应小于0.15%
αm=1-αs [8. 4. 16]
式中:αm——不平衡弯矩通过弯曲来传递的分配系数; αs——按公式(8.4.7-3)计算。
8.4.17 对有抗震设防要求的结构,当地下一层结构顶板作为上部结构嵌固端时,嵌固端处的底层框架柱下端截面组合弯距设计值应按现行国家标准《建筑抗震设计规范》GB 50011的规定乘以与其抗震等级相对应的增大系数。当平板式筏形基础板作为上部结构的嵌固端、计算柱下板带截面组合弯矩设计值时,底层框架柱下端内力应考虑地震作用组合及相应的增大系数。
8.4.18 梁板式筏基基础梁和平板式筏基的顶面应满足底层柱下局部受压承载力的要求。对抗震设防烈度为9度的高层建筑,验算柱下基础梁、筏板局部受压承载力时,应计入竖向地震作用对柱轴力的影响。
8.4.19 筏板与地下室外墙的接缝、地下室外墙沿高度处的水平接缝应严格按施工缝要求施工,必要时可设通长止水带。
8.4.20 带裙房的高层建筑筏形基础应符合下列规定: 1 当高层建筑与相连的裙房之间设置沉降缝时,高层建筑的基础埋深应大于裙房基础的埋深至少2m。地面以下沉降缝的缝隙应用粗砂填实(图8. 4.20a)。

(图8. 4.20a) 高层建筑与裙房间的沉降缝、后浇带处理示意1—高层建筑;2—裙房及地下室;3—室外地坪以下用粗砂填实;4一后浇带
2 当高层建筑与相连的裙房之间不设置沉降缝时,宜在裙房一侧设置用于控制沉降差的后浇带,当沉降实测值和计算确定的后期沉降差满足设计要求后,方可进行后浇带混凝土浇筑。当高层建筑基础面积满足地基承载力和变形要求时,后浇带宜设在与高层建筑相邻裙房的第一跨内。当需要满足高层建筑地基承载力、降低高层建筑沉降量、减小高层建筑与裙房间的沉降差而增大高层建筑基础面积时,后浇带可设在距主楼边柱的第二跨内,此时应满足以下条件: 1)地基土质较均匀; 2)裙房结构刚度较好且基础以上的地下室和裙房结构层数不少于两层; 3)后浇带一侧与主楼连接的裙房基础底板厚度与高层建筑的基础底板厚度相同(图8.4. 20b)。 3 当高层建筑与相连的裙房之间不设沉降缝和后浇带时,高层建筑及与其紧邻一跨裙房的筏板应采用相同厚度,裙房筏板的厚度宜从第二跨裙房开始逐渐变化,应同时满足主、裙楼基础整体性和基础板的变形要求;应进行地基变形和基础内力的验算,验算时应分析地基与结构间变形的相互影响,并采取有效措施防止产生有不利影响的差异沉降。
8.4.21 在同一大面积整体筏形基础上建有多幢高层和低层建筑时,筏板厚度和配筋宜按上部结构、基础与地基土共同作用的基础变形和基底反力计算确定。
8.4.22 带裙房的高层建筑下的整体筏形基础,其主楼下筏板的整体挠度值不宜大于0.05%,主楼与相邻的裙房柱的差异沉降不应大于其跨度的0.1%。
8.4.23 采用大面积整体筏形基础时,与主楼连接的外扩地下室其角隅处的楼板板角,除配置两个垂直方向的上部钢筋外,尚应布置斜向上部构造钢筋,钢筋直径不应小于10mm、间距不应大于200mm。该钢筋伸入板内的长度不宜小于1/4的短边跨度;与基础整体弯曲方向一致的垂直于外墙的楼板上部钢筋以及主裙楼交界处的楼板上部钢筋,钢筋直径不应小于10mm、间距不应大于200mm,且钢筋的面积不应小于现行国家标准《混凝土结构设计规范》GB 50010中受弯构件的最小配筋率,钢筋的锚固长度不应小于30d。
8.4.24 筏形基础地下室施工完毕后,应及时进行基坑回填工作。填土应按设计要求选料,回填时应先清除基坑中的杂物,在相对的两侧或四周同时回填并分层夯实,回填土的压实系数不应小于0.94。
8.4.25 采用筏形基础带地下室的高层和低层建筑、地下室四周外墙与土层紧密接触且土层为非松散填土、松散粉细砂土、软塑流塑黏性土,上部结构为框架、框剪或框架-核心筒结构,当地下一层结构顶板作为上部结构嵌固部位时,应符合下列规定: 1 地下一层的结构侧向刚度大于或等于与其相连的上部结构底层楼层侧向刚度的1.5倍。 2 地下一层结构顶板应采用梁板式楼盖,板厚不应小于180mm,其混凝土强度等级不宜小于C30;楼面应采用双层双向配筋,且每层每个方向的配筋率不宜小于0.25%。 3 地下室外墙和内墙边缘的板面不应有大洞口,以保证将上部结构的地震作用或水平力传递到地下室抗侧力构件中。 4 当地下室内、外墙与主体结构墙体之间的距离符合表8.4.25的要求时,该范围内的地下室内、外墙可计入地下一层的结构侧向刚度,但此范围内的侧向刚度不能重叠使用于相邻建筑。当不符合上述要求时,建筑物的嵌固部位可设在筏形基础的顶面,此时宜考虑基侧土和基底土对地下室的抗力。
表8.4.25 地下室墙与主体结构墙之间的最大间距d
|
抗震设防烈度7度、8度 |
抗震设防烈度9度 |
|
d≤30m |
d≤20m |
8.4.26 地下室的抗震等级、构件的截面设计以及抗震构造措施应符合现行国家标准《建筑抗震设计规范》GB 50011的有关规定。剪力墙底部加强部位的高度应从地下室顶板算起;当结构嵌固在基础顶面时,剪力墙底部加强部位的范围尚应延伸至基础顶面。
8.5 桩基础
8.5.1 本节包括混凝土预制桩和混凝土灌注桩低桩承台基础。竖向受压桩按桩身竖向受力情况可分为摩擦型桩和端承型桩。摩擦型桩的桩顶竖向荷载主要由桩侧阻力承受;端承型桩的桩顶竖向荷载主要由桩端阻力承受。
8.5.2 桩基设计应符合下列规定: 1 所有桩基均应进行承载力和桩身强度计算。对预制桩,尚应进行运输、吊装和锤击等过程中的强度和抗裂验算。 2 桩基础沉降验算应符合本规范第8.5.15条的规定。 3 桩基础的抗震承载力验算应符合现行国家标准《建筑抗震设计规范》GB 50011的有关规定。 4 桩基宜选用中、低压缩性土层作桩端持力层。 5 同一结构单元内的桩基,不宜选用压缩性差异较大的土层作桩端持力层,不宜采用部分摩擦桩和部分端承桩。 6 由于欠固结软土、湿陷性土和场地填土的固结,场地大面积堆载、降低地下水位等原因,引起桩周土的沉降大于桩的沉降时,应考虑桩侧负摩擦力对桩基承载力和沉降的影响。 7 对位于坡地、岸边的桩基,应进行桩基的整体稳定验算。桩基应与边坡工程统一规划,同步设计。 8 岩溶地区的桩基,当岩溶上覆土层的稳定性有保证,且桩端持力层承载力及厚度满足要求,可利用上履土层作为桩端持力层。当必须采用嵌岩桩时,应对岩溶进行施工勘察。 9 应考虑桩基施工中挤土效应对桩基及周边环境的影响;在深厚饱和软土中不宜采用大片密集有挤土效应的桩基。 10 应考虑深基坑开挖中,坑底土回弹隆起对桩身受力及桩承载力的影响。 11 桩基设计时,应结合地区经验考虑桩、土、承台的共同工作。 12 在承台及地下室周围的回填中,应满足填土密实度要求。
8.5.3 桩和桩基的构造,应符合下列规定: 1 摩擦型桩的中心距不宜小于桩身直径的3倍;扩底灌注桩的中心距不宜小于扩底直径的1.5倍,当扩底直径大于2m时,桩端净距不宜小于1m。在确定桩距时尚应考虑施工工艺中挤土等效应对邻近桩的影响。 2 扩底灌注桩的扩底直径,不应大于桩身直径的3倍。 3 桩底进入持力层的深度,宜为桩身直径的1倍~3倍。在确定桩底进入持力层深度时,尚应考虑特殊土、岩溶以及震陷液化等影响。嵌岩灌注桩周边嵌入完整和较完整的未风化、微风化、中风化硬质岩体的最小深度,不宜小于0.5m。 4 布置桩位时宜使桩基承载力合力点与竖向永久荷载合力作用点重合。 5 设计使用年限不少于50年时,非腐蚀环境中预制桩的混凝土强度等级不应低于C30,预应力桩不应低于C40,灌注桩的混凝土强度等级不应低于C25;*B二**类环境及三类及四类、五类微腐蚀环境中不应低于C30;在腐蚀环境中的桩,桩身混凝土的强度等级应符合现行国家标准《混凝土结构设计规范》GB 50010的有关规定。设计使用年限不少于100年的桩,桩身混凝土的强度等级宜适当提高。水下灌注混凝土的桩身混凝土强度等级不宜高于C40。 6 桩身混凝土的材料、最小水泥用量、水灰比、抗渗等级等应符合现行国家标准《混凝土结构设计规范》GB 50010、《工业建筑防腐蚀设计规范》GB 50046及《混凝土结构耐久性设计规范》GB/T 50476的有关规定。 7 桩的主筋配置应经计算确定。预制桩的最小配筋率不宜小于0.8%(锤击沉桩)、0.6%(静压沉桩),预应力桩不宜小于0.5%;灌注桩最小配筋率不宜小于0.2%~0.65%(小直径桩取大值)。桩顶以下3倍~5倍桩身直径范围内,箍筋宜适当加强加密。 8 桩身纵向钢筋配筋长度应符合下列规定: 1)受水平荷载和弯矩较大的桩,配筋长度应通过计算确定; 2)桩基承台下存在淤泥、淤泥质土或液化土层时,配筋长度应穿过淤泥、淤泥质土层或液化土层; 3)坡地岸边的桩、8度及8度以上地震区的桩、抗拔桩、嵌岩端承桩应通长配筋; 4)钻孔灌注桩构造钢筋的长度不宜小于桩长的2/3;桩施工在基坑开挖前完成时,其钢筋长度不宜小于基坑深度的1.5倍。 9 桩身配筋可根据计算结果及施工工艺要求,可沿桩身纵向不均匀配筋。腐蚀环境中的灌注桩主筋直径不宜小于16mm,非腐蚀性环境中灌注桩主筋直径不应小于12mm。 10 桩顶嵌入承台内的长度不应小于50mm。主筋伸入承台内的锚固长度不应小于钢筋直径(HPB235)的30倍和钢筋直径(HRB335和HRB400)的35倍。对于大直径灌注桩,当采用一柱一桩时,可设置承台或将桩和柱直接连接。桩和柱的连接可按本规范第8.2.5条高杯口基础的要求选择截面尺寸和配筋,柱纵筋插入桩身的长度应满足锚固长度的要求。 11 灌注桩主筋混凝土保护层厚度不应小于50mm;预制桩不应小于45mm,预应力管桩不应小于35mm;腐蚀环境中的灌注桩不应小于55mm。
8.5.4 群桩中单桩桩顶竖向力应按下列公式进行计算: 1 轴心竖向力作用下:
Qk=(Fk+Gk)/n [8.5.4-1]
式中:Fk——相应于作用的标准组合时,作用于桩基承台顶面的竖向力(kN); Gk——桩基承台自重及承台上土自重标准值(kN); Qk——相应于作用的标准组合时,轴心竖向力作用下任一单桩的竖向力(kN); n——桩基中的桩数。 2 偏心竖向力作用下:

(8.5.4-2)
式中:Qik——相应于作用的标准组合时,偏心竖向力作用下第i根桩的竖向力(kN); Mxk、Myk——相应于作用的标准组合时,作用于承台底面通过桩群形心的x、y轴的力矩(kN·m); xi、yi——第i根桩至桩群形心的y、x轴线的距离(m)。 3 水平力作用下: Hik=Hk/n [8.5.4-3]
式中:Hk——相应于作用的标准组合时,作用于承台底面的水平力(kN); Hik——相应于作用的标准组合时,作用于任一单桩的水平力(kN)。
8.5.5 单桩承载力计算应符合下列规定: 1 轴心竖向力作用下:
Qk≤Ra (8.5.5-1)
式中:Ra——单桩竖向承载力特征值(kN)。 2 偏心竖向力作用下,除满足公式(8.5.5-1)外,尚应满足下列要求:
Qikmax≤1.2Ra(8.5.5-2)
3 水平荷载作用下:
Hik≤RHa (8.5.5-3)
式中:RHa——单桩水平承载力特征值(kN)。
8.5.6 单桩竖向承载力特征值的确定应符合下列规定: 1 单桩竖向承载力特征值应通过单桩竖向静载荷试验确定。 在同一条件下的试桩数量,不宜少于总桩数的1%且不应少于3根。单桩的静载荷试验,应按本规范附录Q进行。 2 当桩端持力层为密实砂卵石或其他承载力类似的土层时,对单桩竖向承载力很高的大直径端承型桩,可采用深层平板载荷试验确定桩端土的承载力特征值,试验方法应符合本规范附录D的规定。 3 地基基础设计等级为丙级的建筑物,可采用静力触探及标贯试验参数结合工程经验确定单桩竖向承载力特征值。 4 初步设计时单桩竖向承载力特征值可按下式进行估算:
Ra=qpaAp+upΣqsiali (8.5.6-1)
式中:Ap——桩底端横截面面积(m2); qpa,qsia——桩端阻力特征值、桩侧阻力特征值(kPa),由当地静载荷试验结果统计分析算得; up——桩身周边长度(m); li——第i层岩土的厚度(m)。 5 桩端嵌入完整及较完整的硬质岩中,当桩长较短且入岩较浅时,可按下式估算单桩竖向承载力特征值:
Ra=qpaAp [8.5.6-2]
式中:qpa——桩端岩石承载力特征值(kN)。 6 嵌岩灌注桩桩端以下3倍桩径且不小于5m范围内应无软弱夹层、断裂破碎带和洞穴分布,且在桩底应力扩散范围内应无岩体临空面。当桩端无沉渣时,桩端岩石承载力特征值应根据岩石饱和单轴抗压强度标准值按本规范第5.2.6条确定,或按本规范附录H用岩石地基载荷试验确定。
8.5.7 当作用于桩基上的外力主要为水平力或高层建筑承台下为软弱土层、液化土层时,应根据使用要求对桩顶变位的限制,对桩基的水平承载力进行验算。当外力作用面的桩距较大时,桩基的水平承载力可视为各单桩的水平承载力的总和。当承台侧面的土未经扰动或回填密实时,可计算土抗力的作用。当水平推力较大时,宜设置斜桩。
8.5.8 单桩水平承载力特征值应通过现场水平载荷试验确定。必要时可进行带承台桩的载荷试验。单桩水平载荷试验,应按本规范附录S进行。
8.5.9 当桩基承受拔力时,应对桩基进行抗拔验算。单桩抗拔承载力特征值应通过单桩竖向抗拔载荷试验确定,并应加载至破坏。单桩竖向抗拔载荷试验,应按本规范附录T进行。
8.5.10 桩身混凝土强度应满足桩的承载力设计要求。
8.5.11 按桩身混凝土强度计算桩的承载力时,应按桩的类型和成桩工艺的不同将混凝土的轴心抗压强度设计值乘以工作条件系数φc,桩轴心受压时桩身强度应符合式(8.5.11)的规定。当桩顶以下5倍桩身直径范围内螺旋式箍筋间距不大于100mm且钢筋耐久性得到保证的灌注桩,可适当计入桩身纵向钢筋的抗压作用。
Q≤Apƒcφc [8.5.11]
式中:ƒc——混凝土轴心抗压强度设计值(kPa),按现行国家标准《混凝土结构设计规范》GB 50010取值; Q——相应于作用的基本组合时的单桩竖向力设计值(kN); Ap——桩身横截面积(m2); φc——工作条件系数,非预应力预制桩取0.75,预应力桩取0.55~0.65,灌注桩取0.6~0.8(水下灌注桩、长桩或混凝土强度等级高于C35时用低值)。
8.5.12 非腐蚀环境中的抗拔桩应根据环境类别控制裂缝宽度满足设计要求,预应力混凝土管桩应按桩身裂缝控制等级为二级的要求进行桩身混凝土抗裂验算。腐蚀环境中的抗拔桩和受水平力或弯矩较大的桩应进行桩身混凝土抗裂验算,裂缝控制等级应为二级;预应力混凝土管桩裂缝控制等级应为一级。
8.5.13 桩基沉降计算应符合下列规定: 1 对以下建筑物的桩基应进行沉降验算; 1)地基基础设计等级为甲级的建筑物桩基; 2)体形复杂、荷载不均匀或桩端以下存在软弱土层的设计等级为乙级的建筑物桩基; 3)摩擦型桩基。 2 桩基沉降不得超过建筑物的沉降允许值,并应符合本规范表5.3.4的规定。
8.5.14 嵌岩桩、设计等级为丙级的建筑物桩基、对沉降无特殊要求的条形基础下不超过两排桩的桩基、吊车工作级别A5及A5以下的单层工业厂房且桩端下为密实土层的桩基,可不进行沉降验算。当有可靠地区经验时,对地质条件不复杂、荷载均匀、对沉降无特殊要求的端承型桩基也可不进行沉降验算。
8.5.15 计算桩基沉降时,最终沉降量宜按单向压缩分层总和法计算。地基内的应力分布宜采用各向同性均质线性变形体理论,按实体深基础方法或明德林应力公式方法进行计算,计算按本规范附录R进行。
8.5.16 以控制沉降为目的设置桩基时,应结合地区经验,并满足下列要求: 1 桩身强度应按桩顶荷载设计值验算; 2 桩、土荷载分配应按上部结构与地基共同作用分析确定; 3 桩端进入较好的土层,桩端平面处土层应满足下卧层承载力设计要求; 4 桩距可采用4倍~6倍桩身直径。
8.5.17 桩基承台的构造,除满足受冲切、受剪切、受弯承载力和上部结构的要求外,尚应符合下列要求: 1 承台的宽度不应小于500mm。边桩中心至承台边缘的距离不宜小于桩的直径或边长,且桩的外边缘至承台边缘的距离不小于150mm。对于条形承台梁,桩的外边缘至承台梁边缘的距离不小于75mm。 2 承台的最小厚度不应小于300mm。 3 承台的配筋,对于矩形承台,其钢筋应按双向均匀通长布置(图8.5.17a),钢筋直径不宜小于10mm,间距不宜大于200mm;对于三桩承台,钢筋应按三向板带均匀布置,且最里面的三根钢筋围成的三角形应在柱截面范围内(图8.5.17b)。 承台梁的主筋除满足计算要求外,尚应符合现行国家标准《混凝土结构设计规范》GB 50010关于最小配筋率的规定,主筋直径不宜小于12mm,架立筋不宜小于10mm,箍筋直径不宜小于6mm(图8.5.17c);柱下独立桩基承台的最小配筋率不应小于0.15%。钢筋锚固长度自边桩内侧(当为圆桩时,应将其直径乘以0.886等效为方桩)算起,锚固长度不应小于35倍钢筋直径,当不满足时应将钢筋向上弯折,此时钢筋水平段的长度不应小于25倍钢筋直径,弯折段的长度不应小于10倍钢筋直径。 4 承台混凝土强度等级不应低于C20;纵向钢筋的混凝土保护层厚度不应小于70mm,当有混凝土垫层时,不应小于50mm;且不应小于桩头嵌入承台内的长度。

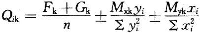
图8.5.17 承台配筋1—墙;2—箍筋直径≥6mm;3—桩顶入承台≥50mm;4—承台梁内主筋除须按计算配筋外尚应满足最小配筋率;5—垫层100mm厚C10混凝土
8.5.18 柱下桩基承台的弯矩可按以下简化计算方法确定: 1 多桩矩形承台计算截面取在柱边和承台高度变化处(杯口外侧或台阶边缘,图8.5.18a):
Mx=ΣNiyi (8.5.18-1)My=ΣNixi (8.5.18-2)
式中:Mx、My——分别为垂直y轴和x轴方向计算截面处的弯矩设计值(kN·m); xi、yi——垂直y轴和x轴方向自桩轴线到相应计算截面的距离(m); Ni——扣除承台和其上填土自重后相应于作用的基本组合时的第i桩竖向力设计值(kN)。 2 三桩承台 1)等边三桩承台(图8.5.18b)。

(8.5.18-3)
式中:M——由承台形心至承台边缘距离范围内板带的弯矩设计值(kN·m); Nmax——扣除承台和其上填土自重后的三桩中相应于作用的基本组合时的最大单桩竖向力设计值(kN); s——桩距(m); c——方柱边长(m),圆柱时c=0.886d(d为圆柱直径)。 2)等腰三桩承台(图8.5.18c)。

图8.5.18 承台弯矩计算

(8.5.18-4)

(8.5.18-5)
式中:M1、M2——分别为由承台形心到承台两腰和底边的距离范围内板带的弯矩设计值(kN·m); s——长向桩距(m); α——短向桩距与长向桩距之比,当α小于0.5时,应按变截面的二桩承台设计; c1、c2——分别为垂直于、平行于承台底边的柱截面边长(m)。
8.5.19 柱下桩基础独立承台受冲切承载力的计算,应符合下列规定: 1 柱对承台的冲切,可按下列公式计算(图8.5.19-1):
Fl≤2[αox(bc+aoy)+αoy(hc+aox)]βhpƒth0 (8.5.19-1)Fl=F-ΣNi (8.5.19-2) αox=0.84/(λox+0.2) (8.5.19-3)αoy=0.84/(λoy+0.2) (8.5.19-4)
式中:Fl——扣除承台及其上填土自重,作用在冲切破坏锥体上相应于作用的基本组合时的冲切力设计值(kN),冲切破坏锥体应采用自柱边或承台变阶处至相应桩顶边缘连线构成的锥体,锥体与承台底面的夹角不小于45°(图8.5.19-1); h0———冲切破坏锥体的有效高度(m); βhp——受冲切承载力截面高度影响系数,其值按本规范第8.2.8条的规定取用; αox、αoy——冲切系数; λox、λoy——冲跨比,λox=aox/h0、λoy=aoy/h0,aox、aoy为柱边或变阶处至桩边的水平距离;当aox(aoy)<0.25h0时,aox(aoy)=0.25h0;当aox(aoy)>h0时,aox(aoy)=h0; F——柱根部轴力设计值(kN); ∑Ni——冲切破坏锥体范围内各桩的净反力设计值之和(kN)。 对中低压缩性土上的承台,当承台与地基土之间没有脱空现象时,可根据地区经验适当减小柱下桩基础独立承台受冲切计算的承台厚度。

图8.5.19-1 柱对承台冲切
2 角桩对承台的冲切,可按下列公式计算: 1)多桩矩形承台受角桩冲切的承载力应按下列公式计算(图8.5.19-2):
Nl≤{α1x[c2+(a1y/2)]+α1y[c1+(a1x/2)]}βhpƒth0 (8.5.19-6)α1x=0.56/(λ1x+0.2) (8.5.19-6)α1y=0.56/(λ1y+0.2) (8.5.19-7)
式中:Nl——扣除承台和其上填土自重后的角桩桩顶相应于作用的基本组合时的竖向力设计值(kN); α1x、α1y——角桩冲切系数; λ1x、λ1y——角桩冲跨比,其值满足0.25~1.0,λ1x=a1x/h0,λ1y=a1y/h0; c1、c2——从角桩内边缘至承台外边缘的距离(m); a1x、a1y——从承台底角桩内边缘引45°冲切线与承台顶面或承台变阶处相交点至角桩内边缘的水平距离(m); h0——承台外边缘的有效高度(m)。

图8.5.19-2 矩形承台角桩冲切验算
2)三桩三角形承台受角桩冲切的承载力可按下列公式计算(图8.5.19-3)。对圆柱及圆桩,计算时可将圆形截面换算成正方形截面。

图8.5.19-3 三角形承台角桩冲切验算
底部角桩:

(8.5.19-8)

(8.5.19-9)
顶部角桩:

(8.5.19-10)

(8.5.19-11)
式中:λ11、λ12——角桩冲跨比,其值满足0.25~1.0,λ11=a11/h0,λ12=a12/h0; a11、a12——从承台底角桩内边缘向相邻承台边引45°冲切线与承台顶面相交点至角桩内边缘的水平距离(m);当柱位于该45°线以内时则取柱边与桩内边缘连线为冲切锥体的锥线。
8.5.20 柱下桩基础独立承台应分别对柱边和桩边、变阶处和桩边连线形成的斜截面进行受剪计算。当柱边外有多排桩形成多个剪切斜截面时,尚应对每个斜截面进行验算。
8.5.21 柱下桩基独立承台斜截面受剪承载力可按下列公式进行计算(图8.5.21):
V≤βhsβƒtb0h0 [8.5.21-1] β=1.75/(λ+1.0 ) (8.5.21-2)
式中:V——扣除承台及其上填土自重后相应于作用的基本组合时的斜截面的最大剪力设计值(kN); b0——承台计算截面处的计算宽度(m);阶梯形承台变阶处的计算宽度、锥形承台的计算宽度应按本规范附录U确定; h0——计算宽度处的承台有效高度(m); β——剪切系数; βhs——受剪切承载力截面高度影响系数,按公式(8.2.9-2)计算; λ——计算截面的剪跨比,λx=ax/h0,λy=ay/h0;ax、ay为柱边或承台变阶处至x、y方向计算一排桩的桩边的水平距离,当λ<0.25时,取λ=0.25;当λ>3时,取λ=3。

图8.5.21 承台斜截面受剪计算
8.5.22 当承台的混凝土强度等级低于柱或桩的混凝土强度等级时,尚应验算柱下或桩上承台的局部受压承载力。
8.5.23 承台之间的连接应符合下列要求: 1 单桩承台,应在两个互相垂直的方向上设置连系梁。 2 两桩承台,应在其短向设置连系梁。 3 有抗震要求的柱下独立承台,宜在两个主轴方向设置连系梁。 4 连系梁顶面宜与承台位于同一标高。连系梁的宽度不应小于250mm,梁的高度可取承台中心距的1/10~1/15,且不小于400mm。 5 连系梁的主筋应按计算要求确定。连系梁内上下纵向钢筋直径不应小于12mm且不应少于2根,并应按受拉要求锚入承台。
8.6 岩石锚杆基础
8.6.1 岩石锚杆基础适用于直接建在基岩上的柱基,以及承受拉力或水平力较大的建筑物基础。锚杆基础应与基岩连成整体,并应符合下列要求: 1 锚杆孔直径,宜取锚杆筋体直径的3倍,但不应小于一倍锚杆筋体直径加50mm。锚杆基础的构造要求,可按图8.6.1采用。 2 锚杆筋体插入上部结构的长度,应符合钢筋的锚固长度要求。 3 锚杆筋体宜采用热轧带肋钢筋,水泥砂浆强度不宜低于30MPa,细石混凝土强度不宜低于C30。灌浆前,应将锚杆孔清理干净。

图8.6.1 锚杆基础d1—锚杆直径;l—锚杆的有效锚固长度;d—锚杆筋体直径
8.6.2 锚杆基础中单根锚杆所承受的拔力,应按下列公式验算:

(8.6.2-1)
Ntmax ≤ Rt (8.6.2-2)
式中:Fk———相应于作用的标准组合时,作用在基础顶面上的竖向力(kN); Gk——基础自重及其上的土自重(kN); Mxk、Myk——按作用的标准组合计算作用在基础底面形心的力矩值(kN·m); xi、yi——第i根锚杆至基础底面形心的y、x轴线的距离(m); Nti——相应于作用的标准组合时,第i根锚杆所承受的拔力值(kN); Rt——单根锚杆抗拔承载力特征值(kN)。
8.6.3 对设计等级为甲级的建筑物,单根锚杆抗拔承载力特征值Rt应通过现场试验确定;对于其他建筑物应符合下式规定:
Rt≤0.8πd1lƒ [8.6.3]
式中:ƒ——砂浆与岩石间的粘结强度特征值(kPa),可按本规范表6.8.6选用。
9 基坑工程
9.1 一般规定
9.1.1 岩、土质场地建(构)筑物的基坑开挖与支护,包括桩式和墙式支护、岩层或土层锚杆以及采用逆作法施工的基坑工程应符合本章的规定。
9.1.2 基坑支护设计应确保岩土开挖、地下结构施工的安全,并应确保周围环境不受损害。
9.1.3 基坑工程设计应包括下列内容: 1 支护结构体系的方案和技术经济比较; 2 基坑支护体系的稳定性验算; 3 支护结构的承载力、稳定和变形计算; 4 地下水控制设计; 5 对周边环境影响的控制设计; 6 基坑土方开挖方案; 7 基坑工程的监测要求。
9.1.4 基坑工程设计安全等级、结构设计使用年限、结构重要性系数,应根据基坑工程的设计、施工及使用条件按有关规范的规定采用。
9.1.5 基坑支护结构设计应符合下列规定: 1 所有支护结构设计均应满足强度和变形计算以及土体稳定性验算的要求; 2 设计等级为甲级、乙级的基坑工程。应进行因土方开挖、降水引起的基坑内外土体的变形计算; 3 高地下水位地区设计等级为甲级的基坑工程,应按本规范第9.9节的规定进行地下水控制的专项设计。
9.1.6 基坑工程设计采用的土的强度指标,应符合下列规定: 1 对淤泥及淤泥质土,应采用三轴不固结不排水抗剪强度指标; 2 对正常固结的饱和黏性土应采用在土的有效自重应力下预固结的三轴不固结不排水抗剪强度指标;当施工挖土速度较慢,排水条件好,土体有条件固结时,可采用三轴固结不排水抗剪强度指标; 3 对砂类土,采用有效应力强度指标; 4 验算软黏土隆起稳定性时,可采用十字板剪切强度或三轴不固结不排水抗剪强度指标; 5 灵敏度较高的土,基坑邻近有交通频繁的主干道或其他对土的扰动源时,计算采用土的强度指标宜适当进行折减; 6 应考虑打桩、地基处理的挤土效应等施工扰动原因造成对土强度指标降低的不利影响。
9.1.7 因支护结构变形、岩土开挖及地下水条件变化引起的基坑内外土体变形应符合下列规定: 1 不得影响地下结构尺寸、形状和正常施工; 2 不得影响既有桩基的正常使用; 3 对周围已有建、构筑物引起的地基变形不得超过地基变形允许值; 4 不得影响周边地下建(构)筑物、地下轨道交通设施及管线的正常使用。
9.1.8 基坑工程设计应具备以下资料: 1 岩土工程勘察报告; 2 建筑物总平面图、用地红线图; 3 建筑物地下结构设计资料,以及桩基础或地基处理设计资料; 4 基坑环境调查报告,包括基坑周边建(构)筑物、地下管线、地下设施及地下交通工程等的相关资料。
9.1.9 基坑土方开挖应严格按设计要求进行,不得超挖。基坑周边堆载不得超过设计规定。土方开挖完成后应立即施工垫层,对基坑进行封闭,防止水浸和暴露,并应及时进行地下结构施工。
9.2 基坑工程勘察与环境调查
9.2.1 基坑工程勘察宜在开挖边界外开挖深度的1倍~2倍范围内布置勘探点。勘察深度应满足基坑支护稳定性验算、降水或止水帷幕设计的要求。当基坑开挖边界外无法布置勘察点时,应通过调查取得相关资料。
9.2.2 应查明场区水文地质资料及与降水有关的参数,并应包括下列内容: 1 地下水的类型、地下水位高程及变化幅度; 2 各含水层的水力联系、补给、径流条件及土层的渗透系数; 3 分析流砂、管涌产生的可能性; 4 提出施工降水或隔水措施以及评估地下水位变化对场区环境造成的影响。
9.2.3 当场地水文地质条件复杂,应进行现场抽水试验,并进行水文地质勘察。
9.2.4 严寒地区的大型越冬基坑应评价各土层的冻胀性,并应对特殊土受开挖、振动影响以及失水、浸水影响引起的土的特性参数变化进行评估。
9.2.5 岩体基坑工程勘察除查明基坑周围的岩层分布、风化程度、岩石破碎情况和各岩层物理力学性质外,还应查明岩体主要结构面的类型、产状、延展情况、闭合程度、填充情况、力学性质等,特别是外倾结构面的抗剪强度以及地下水情况,并评估岩体滑动、岩块崩塌的可能性。
9.2.6 需对基坑工程周边进行环境调查时,调查的范围和内容应符合下列规定: 1 应调查基坑周边2倍开挖深度范围内建(构)筑物及设施的状况,当附近有轨道交通设施、隧道、防汛墙等重要建(构)筑物及设施时,或降水深度较大时应扩大调查范围。 2 环境调查应包括下列内容: 1)建(构)筑物的结构形式、材料强度、基础形式与埋深、沉降与倾斜及保护要求等; 2)地下交通工程、管线设施等的平面位置、埋深、结构形式、材料强度、断面尺寸、运营情况及保护要求等。
9.3 土压力与水压力
9.3.1 支护结构的作用效应包括下列各项: 1 土压力; 2 静水压力、渗流压力; 3 基坑开挖影响范围以内的建(构)筑物荷载、地面超载、施工荷载及邻近场地施工的影响; 4 温度变化及冻胀对支护结构产生的内力和变形; 5 临水支护结构尚应考虑波浪作用和水流退落时的渗流力; 6 作为永久结构使用时建筑物的相关荷载作用; 7 基坑周边主干道交通运输产生的荷载作用。
9.3.2 主动土压力、被动土压力可采用库仑或朗肯土压力理论计算。当对支护结构水平位移有严格限制时,应采用静止土压力计算。
9.3.3 作用于支护结构的土压力和水压力,对砂性土宜按水土分算计算;对黏性土宜按水土合算计算;也可按地区经验确定。
9.3.4 基坑工程采用止水帷幕并插入坑底下部相对不透水层时,基坑内外的水压力,可按静水压力计算。
9.3.5 当按变形控制原则设计支护结构时,作用在支护结构的计算土压力可按支护结构与土体的相互作用原理确定,也可按地区经验确定。
9.4 设计计算
9.4.1 基坑支护结构设计时,作用的效应设计值应符合下列规定: 1 基本组合的效应设计值可采用简化规则,应按下式进行计算:
Sd=1.25Sk [9.4.1-1]
式中:Sd——基本组合的效应设计值; Sk——标准组合的效应设计值。 2 对于轴向受力为主的构件,Sd简化计算可按下式进行:
Sd=1.35Sk [9.4.1-2]
9.4.2 支护结构的入土深度应满足基坑支护结构稳定性及变形验算的要求,并结合地区工程经验综合确定。有地下水渗流作用时,应满足抗渗流稳定的验算,并宜插入坑底下部不透水层一定深度。
9.4.3 桩、墙式支护结构设计计算应符合下列规定: 1 桩、墙式支护可为柱列式排桩、板桩、地下连续墙、型钢水泥土墙等独立支护或与内支撑、锚杆组合形成的支护体系,适用于施工场地狭窄、地质条件差、基坑较深或需要严格控制支护结构或基坑周边环境地基变形时的基坑工程。 2 桩、墙式支护结构的设计应包括下列内容: 1)确定桩,墙的入土深度; 2)支护结构的内力和变形计算; 3)支护结构的构件和节点设计; 4)基坑变形计算,必要时提出对环境保护的工程技术措施; 5)支护桩、墙作为主体结构一部分时,尚应计算在建筑物荷载作用下的内力及变形; 6)基坑工程的监测要求。
9.4.4 根据基坑周边环境的复杂程度及环境保护要求,可按下列规定进行变形控制设计,并采取相应的保护措施: 1 根据基坑周边的环境保护要求,提出基坑的各项变形设计控制指标; 2 预估基坑开挖对周边环境的附加变形值,其总变形值应小于其允许变形值; 3 应从支护结构施工、地下水控制及开挖三个方面分别采取相关措施保护周围环境。
9.4.5 支护结构的内力和变形分析,宜采用侧向弹性地基反力法计算。土的侧向地基反力系数可通过单桩水平载荷试验确定。
9.4.6 支护结构应进行稳定验算。稳定验算应符合本规范附录V的规定。当有可靠工程经验时,稳定安全系数可按地区经验确定。
9.4.7 地下水渗流稳定性验算,应符合下列规定: 1 当坑内外存在水头差时,粉土和砂土应按本规范附录W进行抗渗流稳定性验算; 2 当基坑底上部土体为不透水层,下部具有承压水头时,坑内土体应按本规范附录W进行抗突涌稳定性验算。
9.5 支护结构内支撑
9.5.1 支护结构的内支撑必须采用稳定的结构体系和连接构造,优先采用超静定内支撑结构体系,其刚度应满足变形计算要求。
9.5.2 支撑结构计算分析应符合下列原则: 1 内支撑结构应按与支护桩、墙节点处变形协调的原则进行内力与变形分析; 2 在竖向荷载及水平荷载作用下支撑结构的承载力和位移计算应符合国家现行结构设计规范的有关规定,支撑体系可根据不同条件按平面框架、连续梁或简支梁分析; 3 当基坑内坑底标高差异大,或因基坑周边土层分布不均匀,土性指标差异大,导致作用在内支撑周边侧向土压力值变化较大时,应按桩、墙与内支撑系统节点的位移协调原则进行计算; 4 有可靠经验时,可采用空间结构分析方法,对支撑、围檩(压顶梁)和支护结构进行整体计算; 5 内支撑系统的各水平及竖向受力构件,应按结构构件的受力条件及施工中可能出现的不利影响因素,设置必要的连接构件,保证结构构件在平面内及平面外的稳定性。
9.5.3 支撑结构的施工与拆除顺序,应与支护结构的设计工况相一致,必须遵循先撑后挖的原则。
9.6 土层锚杆
9.6.1 土层锚杆锚固段不应设置在未经处理的软弱土层、不稳定土层和不良地质地段及钻孔注浆引发较大土体沉降的土层。
9.6.2 锚杆杆体材料宜选用钢绞线、螺纹钢筋,当锚杆极限承载力小于400kN时,可采用HRB 335钢筋。
9.6.3 锚杆布置与锚固体强度应满足下列要求: 1 锚杆锚固体上下排间距不宜小于2.5m,水平方向间距不宜小于1.5m;锚杆锚固体上覆土层厚度不宜小于4.0m。锚杆的倾角宜为15°~35°。 2 锚杆定位支架沿锚杆轴线方向宜每隔1.0m~2.0m设置一个,锚杆杆体的保护层不得少于20mm。 3 锚固体宜采用水泥砂浆或纯水泥浆,浆体设计强度不宜低于20.0MPa。 4 土层锚杆钻孔直径不宜小于120mm。
9.6.4 锚杆设计应包括下列内容: 1 确定锚杆类型、间距、排距和安设角度、断面形状及施工工艺; 2 确定锚杆自由段、锚固段长度、锚固体直径、锚杆抗拔承载力特征值; 3 锚杆筋体材料设计; 4 锚具、承压板、台座及腰梁设计; 5 预应力锚杆张拉荷载值、锁定荷载值; 6 锚杆试验和监测要求; 7 对支护结构变形控制需要进行的锚杆补张拉设计。
9.6.5 锚杆预应力筋的截面面积应按下式确定: A ≥ 1.35 Nt /γPƒPt [9.6.5]
式中:Nt——相应于作用的标准组合时,锚杆所承受的拉力值(kN); γP——锚杆张拉施工工艺控制系数,当预应力筋为单束时可取1.0,当预应力筋为多束时可取0.9; ƒPt——钢筋、钢绞线强度设计值(kPa)。
9.6.6 土层锚杆锚固段长度(La)应按基本试验确定,初步设计时也可按下式估算

[9.6.6]
式中:D——锚固体直径(m); K——安全系数,可取1.6; qs——土体与锚固体间粘结强度特征值(kPa),由当地锚杆抗拔试验结果统计分析算得。
9.6.7 锚杆应在锚固体和外锚头强度达到设计强度的80%以上后逐根进行张拉锁定,张拉荷载宜为锚杆所受拉力值的1.05倍~1.1倍,并在稳定5min~10min后退至锁定荷载锁定。锁定荷载宜取锚杆设计承载力的0.7倍~0.85倍。
9.6.8 锚杆自由段超过潜在的破裂面不应小于1m,自由段长度不宜小于5m,锚固段在最危险滑动面以外的有效长度应满足稳定性计算要求。
9.6.9 对设计等级为甲级的基坑工程,锚杆轴向拉力特征值应按本规范附录Y土层锚杆试验确定。对设计等级为乙级、丙级的基坑工程可按物理参数或经验数据设计,现场试验验证。
9.7 基坑工程逆作法
9.7.1 逆作法适用于支护结构水平位移有严格限制的基坑工程。根据工程具体情况,可采用全逆作法、半逆作法、部分逆作法。
9.7.2 逆作法的设计应包含下列内容: 1 基坑支护的地下连续墙或排桩与地下结构侧墙、内支撑、地下结构楼盖体系一体的结构分析计算; 2 土方开挖及外运; 3 临时立柱做法; 4 侧墙与支护结构的连接; 5 立柱与底板和楼盖的连接; 6 坑底土卸载和回弹引起的相邻立柱之间,立柱与侧墙之间的差异沉降对已施工结构受力的影响分析计算; 7 施工作业程序、混凝土浇筑及施工缝处理; 8 结构节点构造措施。
9.7.3 基坑工程逆作法设计应保证地下结构的侧墙、楼板、底板、柱满足基坑开挖时作为基坑支护结构及作为地下室永久结构工况时的设计要求。
9.7.4 当采用逆作法施工时,可采用支护结构体系与地下结构结合的设计方案: 1 地下结构墙体作为基坑支护结构; 2 地下结构水平构件(梁、板体系)作为基坑支护的内支撑; 3 地下结构竖向构件作为支护结构支承柱。
9.7.5 当地下连续墙同时作为地下室永久结构使用时,地下连续墙的设计计算尚应符合下列规定: 1 地下连续墙应分别按照承载能力极限状态和正常使用极限状态进行承载力、变形计算和裂缝验算。 2 地下连续墙墙身的防水等级应满足永久结构使用防水设计要求。地下连续墙与主体结构连接的接缝位置(如地下结构顶板、底板位置)根据地下结构的防水等级要求,可设置刚性止水片、遇水膨胀橡胶止水条以及预埋注浆管等构造措施。 3 地下连续墙与主体结构的连接应根据其受力特性和连接刚度进行设计计算。 4 墙顶承受竖向偏心荷载时,应按偏心受压构件计算正截面受压承载力。墙顶圈梁与墙体及上部结构的连接处应验算截面抗剪承载力。
9.7.6 主体地下结构的水平构件用作支撑时,其设计应符合下列规定: 1 用作支撑的地下结构水平构件宜采用梁板结构体系进行分析计算; 2 宜考虑由立柱桩差异变形及立柱桩与围护墙之间差异变形引起的地下结构水平构件的结构次应力,并采取必要措施防止有害裂缝的产生; 3 对地下结构的同层楼板面存在高差的部位,应验算该部位构件的抗弯、抗剪、抗扭承载能力,必要时应设置可靠的水平转换结构或临时支撑等措施; 4 对结构楼板的洞口及车道开口部位,当洞口两侧的梁板不能满足支撑的水平传力要求时,应在缺少结构楼板处设置临时支撑等措施; 5 在各层结构留设结构分缝或基坑施工期间不能封闭的后浇带位置,应通过计算设置水平传力构件。
9.7.7 竖向支承结构的设计应符合下列规定: 1 竖向支承结构宜采用一根结构柱对应布置一根临时立柱和立柱桩的形式(一柱一桩)。 2 立柱应按偏心受压构件进行承载力计算和稳定性验算,立柱桩应进行单桩竖向承载力与沉降计算。 3 在主体结构底板施工之前,相邻立柱桩间以及立柱桩与邻近基坑围护墙之间的差异沉降不宜大于1/400柱距,且不宜大于20mm。作为立柱桩的灌注桩宜采用桩端后注浆措施。
9.8 岩体基坑工程
9.8.1 岩体基坑包括岩石基坑和土岩组合基坑。基坑工程实施前应对基坑工程有潜在威胁或直接危害的滑坡、泥石流、崩塌以及岩溶、土洞强烈发育地段,采取可靠的整治措施。
9.8.2 岩体基坑工程设计时应分析岩体结构、软弱结构面对边坡稳定的影响。
9.8.3 在岩石边坡整体稳定的条件下,可采用放坡开挖方案。岩石边坡的开挖坡度允许值,应根据当地经验按工程类比的原则,可按本地区已有稳定边坡的坡度值确定。
9.8.4 对整体稳定的软质岩边坡,开挖时应按本规范第6.8.2条的规定对边坡进行构造处理。
9.8.5 对单结构面外倾边坡作用在支挡结构上的横推力,可根据楔形平衡法进行计算,并应考虑结构面填充物的性质及其浸水后的变化。具有两组或多组结构面的交线倾向于临空面的边坡,可采用棱形体分割法计算棱体的下滑力。
9.8.6 对土岩组合基坑,当采用岩石锚杆挡土结构进行支护时,应符合本规范第6.8.2条、第6.8.3条的规定。岩石锚杆的构造要求及设计计算应符合本规范第6.8.4条、第6.8.5条的规定。
9.9 地下水控制
9.9.1 基坑工程地下水控制应防止基坑开挖过程及使用期间的管涌、流砂、坑底突涌及与地下水有关的坑外地层过度沉降。
9.9.2 地下水控制设计应满足下列要求: 1 地下工程施工期间,地下水位控制在基坑面以下0.5m~1.5m; 2 满足坑底突涌验算要求; 3 满足坑底和侧壁抗渗流稳定的要求; 4 控制坑外地面沉降量及沉降差,保证邻近建(构)筑物及地下管线的正常使用。
9.9.3 基坑降水设计应包括下列内容: 1 基坑降水系统设计应包括下列内容: 1)确定降水井的布置、井数、井深、井距、井径、单井出水量; 2)疏干井和减压井过滤管的构造设计; 3)人工滤层的设置要求; 4)排水管路系统。 2 验算坑底土层的渗流稳定性及抗承压水突涌的稳定性。 3 计算基坑降水域内各典型部位的最终稳定水位及水位降深随时间的变化。 4 计算降水引起的对邻近建(构)筑物及地下设施产生的沉降。 5 回灌井的设置及回灌系统设计。 6 渗流作用对支护结构内力及变形的影响。 7 降水施工、运营、基坑安全监测要求,除对周边环境的监测外,还应包括对水位和水中微细颗粒含量的监测要求。
9.9.4 隔水帷幕设计应符合下列规定: 1 采用地下连续墙或隔水帷幕隔离地下水,隔离帷幕渗透系数宜小于1.0×10-4m/d,竖向截水帷幕深度应插入下卧不透水层,其插入深度应满足抗渗流稳定的要求。 2 对封闭式隔水帷幕,在基坑开挖前应进行坑内抽水试验,并通过坑内外的观测井观察水位变化、抽水量变化等确认帷幕的止水效果和质量。 3 当隔水帷幕不能有效切断基坑深部承压含水层时,可在承压含水层中设置减压井,通过设计计算,控制承压含水层的减压水头,按需减压,确保坑底土不发生突涌。对承压水进行减压控制时,因降水减压引起的坑外地面沉降不得超过环境控制要求的地面变形允许值。
9.9.5 基坑地下水控制设计应与支护结构的设计统一考虑,由降水、排水和支护结构水平位移引起的地层变形和地表沉陷不应大于变形允许值。
9.9.6 高地下水位地区,当水文地质条件复杂,基坑周边环境保护要求高,设计等级为甲级的基坑工程,应进行地下水控制专项设计,并应包括下列内容: 1 应具备专门的水文地质勘察资料、基坑周边环境调查报告及现场抽水试验资料; 2 基坑降水风险分析及降水设计; 3 降水引起的地面沉降计算及环境保护措施; 4 基坑渗漏的风险预测及抢险措施; 5 降水运营、监测与管理措施。
10 检验与监测
10.1 一般规定
10.1.1 为设计提供依据的试验应在设计前进行,平板载荷试验、基桩静载试验、基桩抗拔试验及锚杆的抗拔试验等应加载到极限或破坏,必要时,应对基底反力、桩身内力和桩端阻力等进行测试。
10.1.2 验收检验静载荷试验最大加载量不应小于承载力特征值的2倍。
10.1.3 抗拔桩的验收检验应采取工程桩裂缝宽度控制的措施。
10.2 检 验
10.2.1 基槽(坑)开挖到底后,应进行基槽(坑)检验。当发现地质条件与勘察报告和设计文件不一致、或遇到异常情况时,应结合地质条件提出处理意见。
10.2.2 地基处理的效果检验应符合下列规定: 1 地基处理后载荷试验的数量,应根据场地复杂程度和建筑物重要性确定。对于简单场地上的一般建筑物,每个单体工程载荷试验点数不宜少于3处;对复杂场地或重要建筑物应增加试验点数。 2 处理地基的均匀性检验深度不应小于设计处理深度。 3 对回填风化岩、山坯土、建筑垃圾等特殊土,应采用波速、超重型动力触探、深层载荷试验等多种方法综合评价。 4 对遇水软化、崩解的风化岩、膨胀性土等特殊土层,除根据试验数据评价承载力外,尚应评价由于试验条件与实际条件的差异对检测结果的影响。 5 复合地基除应进行静载荷试验外,尚应进行竖向增强体及周边土的质量检验。 6 条形基础和独立基础复合地基载荷试验的压板宽度宜按基础宽度确定。
10.2.3 在压实填土的施工过程中,应分层取样检验土的干密度和含水量。检验点数量,对大基坑每50m2~100m2面积内不应少于一个检验点;对基槽每10m~20m不应少于一个检验点;每个独立柱基不应少于一个检验点。采用贯入仪或动力触探检验垫层的施工质量时,分层检验点的间距应小于4m。根据检验结果求得的压实系数,不得低于本规范表6.3.7的规定。
10.2.4 压实系数可采用环刀法、灌砂法、灌水法或其他方法检验。
10.2.5 预压处理的软弱地基,在预压前后应分别进行原位十字板剪切试验和室内土工试验。预压处理的地基承载力应进行现场载荷试验。
10.2.6 强夯地基的处理效果应采用载荷试验结合其他原位测试方法检验。强夯置换的地基承载力检验除应采用单墩载荷试验检验外,尚应采用动力触探等方法查明施工后土层密度随深度的变化。强夯地基或强夯置换地基载荷试验的压板面积应按处理深度确定。
10.2.7 砂石桩、振冲碎石桩的处理效果应采用复合地基载荷试验方法检验。大型工程及重要建筑应采用多桩复合地基载荷试验方法检验;桩间土应在处理后采用动力触探、标准贯入、静力触探等原位测试方法检验。砂石桩、振冲碎石桩的桩体密实度可采用动力触探方法检验。
10.2.8 水泥搅拌桩成桩后可进行轻便触探和标准贯入试验结合钻取芯样、分段取芯样作抗压强度试验评价桩身质量。
10.2.9 水泥土搅拌桩复合地基承载力检验应进行单桩载荷试验和复合地基载荷试验。
10.2.10 复合地基应进行桩身完整性和单桩竖向承载力检验以及单桩或多桩复合地基载荷试验,施工工艺对桩间土承载力有影响时还应进行桩间土承载力检验。
10.2.11 对打入式桩、静力压桩,应提供经确认的施工过程有关参数。施工完成后尚应进行桩顶标高、桩位偏差等检验。
10.2.12 对混凝土灌注桩,应提供施工过程有关参数,包括原材料的力学性能检验报告,试件留置数量及制作养护方法、混凝土抗压强度试验报告、钢筋笼制作质量检查报告。施工完成后尚应进行桩顶标高、桩位偏差等检验。
10.2.13 人工挖孔桩终孔时,应进行桩端持力层检验。单柱单桩的大直径嵌岩桩,应视岩性检验孔底下3倍桩身直径或5m深度范围内有无土洞、溶洞、破碎带或软弱夹层等不良地质条件。
10.2.14 施工完成后的工程桩应进行桩身完整性检验和竖向承载力检验。承受水平力较大的桩应进行水平承载力检验,抗拔桩应进行抗拔承载力检验。
10.2.15 桩身完整性检验宜采用两种或多种合适的检验方法进行。直径大于800mm的混凝土嵌岩桩应采用钻孔抽芯法或声波透射法检测,检测桩数不得少于总桩数的10%,且不得少于10根,且每根柱下承台的抽检桩数不应少于1根。直径不大于800mm的桩以及直径大于800mm的非嵌岩桩,可根据桩径和桩长的大小,结合桩的类型和当地经验采用钻孔抽芯法、声波透射法或动测法进行检测。检测的桩数不应少于总桩数的10%,且不得少于10根。
10.2.16 竖向承载力检验的方法和数量可根据地基基础设计等级和现场条件,结合当地可靠的经验和技术确定。复杂地质条件下的工程桩竖向承载力的检验应采用静载荷试验,检验桩数不得少于同条件下总桩数的1%,且不得少于3根。大直径嵌岩桩的承载力可根据终孔时桩端持力层岩性报告结合桩身质量检验报告核验。
10.2.17 水平受荷桩和抗拔桩承载力的检验可分别按本规范附录S单桩水平载荷试验和附录T单桩竖向抗拔静载试验的规定进行,检验桩数不得少于同条件下总桩数的1%,且不得少于3根。
10.2.18 地下连续墙应提交经确认的有关成墙记录和施工报告。地下连续墙完成后应进行墙体质量检验。检验方法可采用钻孔抽芯或声波透射法,非承重地下连续墙检验槽段数不得少于同条件下总槽段数的10%;对承重地下连续墙检验槽段数不得少于同条件下总槽段数的20%。
10.2.19 岩石锚杆完成后应按本规范附录M进行抗拔承载力检验,检验数量不得少于锚杆总数的5%,且不得少于6根。
10.2.20 当检验发现地基处理的效果、桩身或地下连续墙质量、桩或岩石锚杆承载力不满足设计要求时,应结合工程场地地质和施工情况综合分析,必要时应扩大检验数量,提出处理意见。
10.3 监 测
10.3.1 大面积填方、填海等地基处理工程,应对地面沉降进行长期监测,直到沉降达到稳定标准;施工过程中还应对土体位移、孔隙水压力等进行监测。
10.3.2 基坑开挖应根据设计要求进行监测,实施动态设计和信息化施工。
10.3.3 施工过程中降低地下水对周边环境影响较大时,应对地下水位变化、周边建筑物的沉降和位移、土体变形、地下管线变形等进行监测。
10.3.4 预应力锚杆施工完成后应对锁定的预应力进行监测,监测锚杆数量不得少于锚杆总数的5%,且不得少于6根。
10.3.5 基坑开挖监测包括支护结构的内力和变形,地下水位变化及周边建(构)筑物、地下管线等市政设施的沉降和位移等监测内容可按表10.3.5选择。
表10.3.5 基坑监测项目选择表
|
地基基础设计等级 |
支护结构水平位移 |
邻近建(构)筑物沉降与地下管线变形 |
地下水位 |
锚杆拉力 |
支撑轴力或变形 |
立柱变形 |
柱墙内力 |
地面沉降 |
基坑地隆起 |
土侧向变形 |
孔隙水压力 |
土压力 |
|
甲级 |
√ |
√ |
√ |
√ |
√ |
√ |
√ |
√ |
√ |
√ |
△ |
△ |
|
乙级 |
√ |
√ |
√ |
√ |
△ |
△ |
△ |
△ |
△ |
△ |
△ |
△ |
|
丙级 |
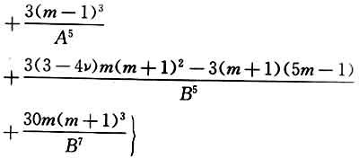
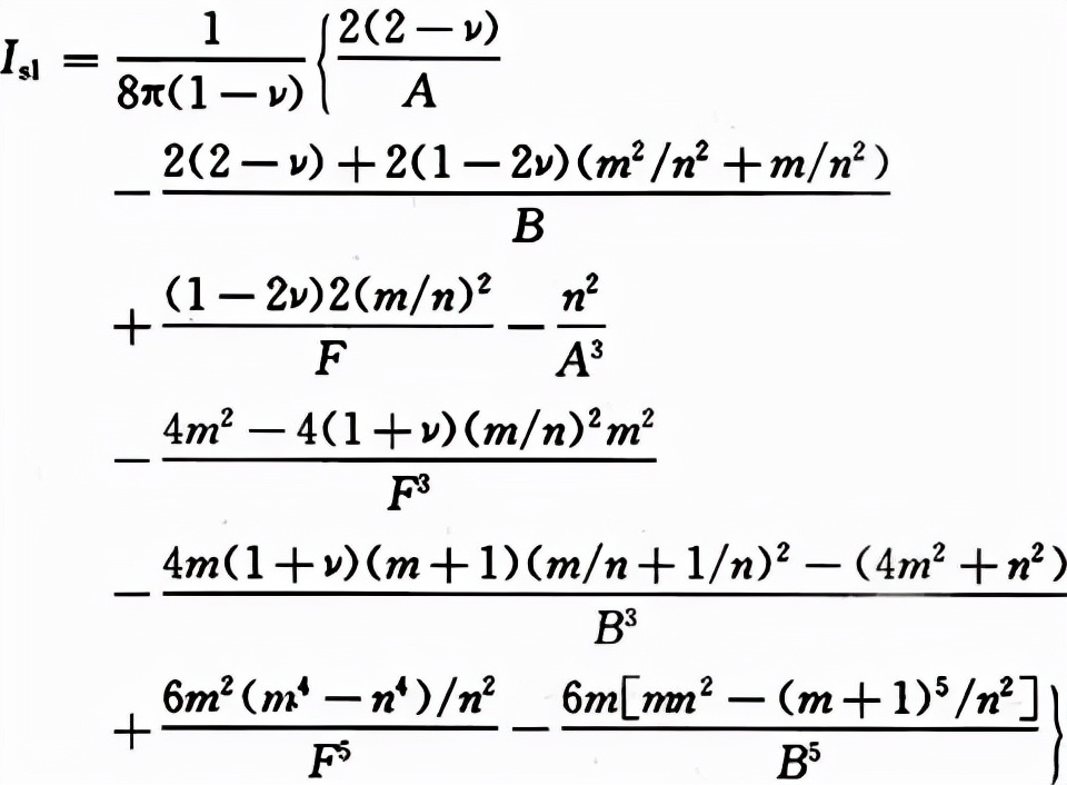
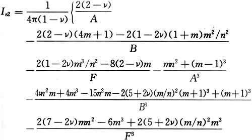
√ |
√ |
○ |
○ |
○ |
○ |
○ |
○ |
○ |
○ |
○ |
○ |
注:1 √为应测项目,△为宜测项目,○为可不测项目; 2 对深度超过15m的基坑宜设坑底土回弹监测点; 3 基坑周边环境进行保护要求严格时,地下水位监测应包括对基坑内、外地下水位进行监测。
10.3.6 边坡工程施工过程中,应严格记录气象条件、挖方、填方、堆载等情况。尚应对边坡的水平位移和竖向位移进行监测,直到变形稳定为止,且不得少于二年。*破爆**施工时,应监控*破爆**对周边环境的影响。
10.3.7 对挤土桩布桩较密或周边环境保护要求严格时,应对打桩过程中造成的土体隆起和位移、邻桩桩顶标高及桩位、孔隙水压力等进行监测。
10.3.8 下列建筑物应在施工期间及使用期间进行沉降变形观测: 1 地基基础设计等级为甲级建筑物; 2 软弱地基上的地基基础设计等级为乙级建筑物; 3 处理地基上的建筑物; 4 加层、扩建建筑物; 5 受邻近深基坑开挖施工影响或受场地地下水等环境因素变化影响的建筑物; 6 采用新型基础或新型结构的建筑物。
10.3.9 需要积累建筑物沉降经验或进行设计反分析的工程,应进行建筑物沉降观测和基础反力监测。沉降观测宜同时设分层沉降监测点。
附录A 岩石坚硬程度及岩体完整程度的划分
A.0.1 岩石坚硬程度根据现场观察进行定性划分应符合表A.0.1的规定。
表A.0.1岩石坚硬程度的定性划分
|
名称 |
定性鉴定 |
代表性岩石 |
|
|
硬质岩 |
坚硬岩 |
锤击声清脆,有回弹,振手,难击碎,基本无吸水反应 |
未风化-微风化的花岗岩、闪长岩、辉绿岩、玄武岩、安山岩、片麻岩、石英岩、硅质砾岩、石英砂岩、硅质石灰岩等 |
|
较硬岩 |
锤击声较清脆,有轻微回弹,稍振手,较难击碎,有轻微吸水反应 |
1.微风化的坚硬岩;2.未风化-微风化的大理岩、板岩、石灰岩、白云岩、钙质砂岩等 |
|
|
软质岩 |
较软岩 |
锤击声不清脆,无回弹,较易击碎,浸水后指甲可刻出印痕 |
1.中等风化-强风化的坚硬岩或较硬岩;2.未风化-微风化的凝灰岩、千枚岩、砂质泥岩、泥灰岩等 |
|
软岩 |
锤击声哑,无回弹,有凹痕,易击碎,浸水后手可掰开 |
1.强风化的坚硬岩和较硬岩;2.中等风化-强风化的较软岩;3.未风化-微风化的页岩、泥质砂岩、泥岩等 |
|
|
极软岩 |
锤击声哑,无回弹,有较深凹痕,手可捏碎,浸水后可捏成团 |
1.全风化的各种岩石;2.各种半成岩 |
|
A.0.2 岩体完整程度的划分宜按表A.0.2的规定。
表A.0.2岩体完整程度的划分
|
称 |
结构面组数 |
控制性结构面平均间距(m) |
代表性结构类型 |
|
完整 |
1~2 |
>1.0 |
整状结构 |
|
较完整 |
2~3 |
0.4~1.0 |
块状结构 |
|
较破碎 |
>3 |
0.2~0.4 |
镶嵌状结构 |
|
破碎 |
>3 |
<0.2 |
碎裂状结构 |
|
极破碎 |
无序 |
— |
散体状结构 |
附录B 碎石土野外鉴别
表B.0.1 碎石土密实度野外鉴别方法
|
密实度 |
骨架颗粒含量和排列 |
可挖性 |
可钻性 |
|
密实 |
骨架颗粒含量大于总重的70%,呈交错排列,连续接触 |
锹镐挖掘困难,用撬棍方能松动,井壁一般较稳定 |
钻进极困难,冲击钻探时,钻杆、吊锤跳动剧烈,孔壁较稳定 |
|
中密 |
骨架颗粒含量等于总重的60%~70%,呈交错排列,大部分接触 |
锹镐可挖掘,井壁有掉块现象,从井壁取出大颗粒处,能保持颗粒凹面形状 |
钻进较困难,冲击钻探时,钻杆、吊锤跳动不剧烈,孔壁有坍塌现象 |
|
稍密 |
骨架颗粒含量等于总重的55%~60%,排列混乱,大部分不接触 |
锹可以挖掘,井壁易坍塌,从井壁取出大颗粒后,砂土立即坍落 |
钻进较容易,冲击钻探时,钻杆稍有跳动,孔壁易坍塌 |
|
松散 |
骨架颗粒含量小于总重的55%,排列十分混乱,绝大部分不接触 |
锹易挖掘,井壁极易坍塌 |
钻进很容易,冲击钻探时,钻杆无跳动,孔壁极易坍塌 |
注:1 骨架颗粒系指与本规范表4.1.5相对应粒径的颗粒; 2 碎石土的密实度应按表列各项要求综合确定。
附录C 浅层平板载荷试验要点
C.0.1 地基土浅层平板载荷试验适用于确定浅部地基土层的承压板下应力主要影响范围内的承载力和变形参数,承压板面积不应小于0.25m2,对于软土不应小于0.5m2。
C.0.2 试验基坑宽度不应小于承压板宽度或直径的三倍。应保持试验土层的原状结构和天然湿度。宜在拟试压表面用粗砂或中砂层找平,其厚度不应超过20mm。
C.0.3 加荷分级不应少于8级。最大加载量不应小于设计要求的两倍。
C.0.4 每级加载后,按间隔10min、10min、10min、15min、15min,以后为每隔半小时测读一次沉降量,当在连续两小时内,每小时的沉降量小于0.1mm时,则认为已趋稳定,可加下一级荷载。C. 0.5 当出现下列情况之一时,即可终止加载: 1 承压板周围的土明显地侧向挤出; 2 沉降s急骤增大,荷载-沉降(p-s)曲线出现陡降段; 3 在某一级荷载下,24h内沉降速率不能达到稳定标准; 4 沉降量与承压板宽度或直径之比大于或等于0.06。
C.0.6 当满足第C.0.5条前三款的情况之一时,其对应的前一级荷载为极限荷载。C. 0.7 承载力特征值的确定应符合下列规定: 1 当p-s曲线上有比例界限时,取该比例界限所对应的荷载值; 2 当极限荷载小于对应比例界限的荷载值的2倍时,取极限荷载值的一半; 3 当不能按上述二款要求确定时,当压板面积为0.25m2~0.50m2,可取s/b=0.01~0.015所对应的荷载,但其值不应大于最大加载量的一半。
C.0.8 同一土层参加统计的试验点不应少于三点,各试验实测值的极差不得超过其平均值的30%,取此平均值作为该土层的地基承载力特征值(ƒak)。
附录D 深层平板载荷试验要点
D.0.1 深层平板载荷试验适用于确定深部地基土层及大直径桩桩端土层在承压板下应力主要影响范围内的承载力和变形参数。
D.0.2 深层平板载荷试验的承压板采用直径为0.8m的刚性板,紧靠承压板周围外侧的土层高度应不少于80cm。
D.0.3 加荷等级可按预估极限承载力的1/10~1/15分级施加。
D.0.4 每级加荷后,第一个小时内按间隔10min、10min、10min、15min、15min,以后为每隔半小时测读—次沉降。当在连续两小时内,每小时的沉降量小于0.1mm时,则认为已趋稳定,可加下一级荷载。
D.0.5 当出现下列情况之一时,可终止加载: 1 沉降s急剧增大,荷载-沉降(p-s)曲线上有可判定极限承载力的陡降段,且沉降量超过0.04d(d为承压板直径); 2 在某级荷载下,24h内沉降速率不能达到稳定; 3 本级沉降量大于前一级沉降量的5倍; 4 当持力层土层坚硬,沉降量很小时,最大加载量不小于设计要求的2倍。
D.0.6 承载力特征值的确定应符合下列规定: 1 当p-s曲线上有比例界限时,取该比例界限所对应的荷载值; 2 满足终止加载条件前三款的条件之一时,其对应的前一级荷载定为极限荷载,当该值小于对应比例界限的荷载值的2倍时,取极限荷载值的一半; 3 不能按上述二款要求确定时,可取s/d=0.01~0.015所对应的荷载值,但其值不应大于最大加载量的一半。
D.0.7 同一土层参加统计的试验点不应少于三点,当试验实测值的极差不超过平均值的30%时,取此平均值作为该土层的地基承载力特征值(ƒak)。
附录E 抗剪强度指标C、Φ标准值
E.0.1 内摩擦角标准值φk,黏聚力标准值ck,可按下列规定计算: 1 根据室内n组三轴压缩试验的结果,按下列公式计算变异系数、某一土性指标的试验平均值和标准差:
δ=σ/μ (E.0.1-1)

(E.0.1-2)

(E.0.1-3)式中:δ——变异系数; μ——某一土性指标的试验平均值; σ——标准差。 2 按下列公式计算内摩擦角和黏聚力的统计修正系数ψφ、ψc:

式中:ψφ——内摩擦角的统计修正系数; ψc——黏聚力的统计修正系数; δφ——内摩擦角的变异系数; δc——黏聚力的变异系数。 3
ψk=ψφφm (E.0.1-6)ck=ψccm (E.0.1-7)
式中:φm——内摩擦角的试验平均值; cm——黏聚力的试验平均值。附录F 中国季节性冻土标准冻深线图

附录G 地基土的冻胀性分类及建筑基础底面下允许冻土层最大厚度
G.0.1 地基土的冻胀性分类,可按表G.0.1分为不冻胀、弱冻胀、冻胀、强冻胀和特强冻胀。
表G.0.1 地基土的冻胀性分类
|
土的名称 |
冻前天然含水量ω(%) |
冻结期间地下水位距冻结面的最小距离hw(m) |
平均冻胀率η(%) |
冻胀等级 |
冻胀类别 |
|
碎(卵)石,砾、粗、中砂(粒径小于0.075mm颗粒含量大于15%),细砂(粒径小于0.075mm颗粒含量大于10%) |
ω≤12 |
>1.0 |
η≤1 |
Ⅰ |
不冻胀 |
|
≤1.0 |
1<η≤3.5 |
Ⅱ |
弱胀冻 |
||
|
12<ω≤18 |
>1.0 |
||||
|
≤1.0 |
3.5<η≤6 |
Ⅲ |
胀冻 |
||
|
ω>18 |
>0.5 |
||||
|
≤0.5 |
6<η≤12 |
Ⅳ |
强胀冻 |
||
|
粉砂 |
ω≤14 |
>1.0 |
η≤1 |
Ⅰ |
不冻胀 |
|
≤1.0 |
1<η≤3.5 |
Ⅱ |
弱胀冻 |
||
|
14<ω≤19 |
>1.0 |
||||
|
≤1.0 |
3.5<η≤6 |
Ⅲ |
胀冻 |
||
|
19<ω≤23 |
>1.0 |
||||
|
≤1.0 |
6<η≤12 |
Ⅳ |
强胀冻 |
||
|
ω>23 |
不考虑 |
η>12 |
Ⅴ |
特强胀冻 |
|
|
粉土 |
ω≤19 |
>1.5 |
η≤1 |
Ⅰ |
不冻胀 |
|
≤1.5 |
1<η≤3.5 |
Ⅱ |
弱胀冻 |
||
|
19<ω≤22 |
>1.5 |
1<η≤3.5 |
Ⅱ |
弱胀冻 |
|
|
≤1.5 |
3.5<η≤6 |
Ⅲ |
胀冻 |
||
|
22<ω≤26 |
>1.5 |
||||
|
≤1.5 |
6<η≤12 |
Ⅳ |
强胀冻 |
||
|
26<ω≤30 |
>1.5 |
||||
|
≤1.5 |
η>12 |
Ⅴ |
特强胀冻 |
||
|
ω>30 |
不考虑 |
||||
|
黏性土 |
ω≤ωp+2 |
>2.0 |
η≤1 |
Ⅰ |
不冻胀 |
|
≤2.0 |
1<η≤3.5 |
Ⅱ |
弱胀冻 |
||
|
ωp+2<ω≤ωp+5 |
>2.0 |
||||
|
≤2.0 |
3.5<η≤6 |
Ⅲ |
胀冻 |
||
|
ωp+5<ω≤ωp+9 |
>2.0 |
||||
|
≤2.0 |
6<η≤12 |
Ⅳ |
强胀冻 |
||
|
ωp+9<ω≤ωp+15 |
>2.0 |
||||
|
≤2.0 |
η>12 |
Ⅴ |
特强胀冻 |
||
|
ω>ωp+15 |
不考虑 |
注:1 ωp——塑限含水量(%);
ω——在冻土层内冻前天然含水量的平均值(%); 2 盐渍化冻土不在表列; 3 塑性指数大于22时,冻胀性降低一级; 4 粒径小于0.005mm的颗粒含量大于60%时,为不冻胀土; 5 碎石类土当充填物大于全部质量的40%时,其冻胀性按充填物土的类别判断; 6 碎石土、砾砂、粗砂、中砂(粒径小于0.075mm颗粒含量不大于15%)、细砂(粒径小于0.075mm颗粒含量不大于10%)均按不冻胀考虑。
G.0.2 建筑基础底面下允许冻土层最大厚度hmax(m),可按表G.0.2查取。
表G.0.2 建筑基础底面下允许冻土层最大厚度hmax(m)

注:1 本表只计算法向冻胀力,如果基侧存在切向冻胀力,应采取防切向力措施; 2 基础宽度小于0.6m时不适用,矩形基础取短边尺寸按方形基础计算; 3 表中数据不适用于淤泥、淤泥质土和欠固结土; 4 计算基底平均压力时取永久作用的标准组合值乘以0.9,可以内插。
附录H 岩石地基载荷试验要点
H.0.1 本附录适用于确定完整、较完整、较破碎岩石地基作为天然地基或桩基础持力层时的承载力。H.0.2 采用圆形刚性承压板,直径为300mm。当岩石埋藏深度较大时,可采用钢筋混凝土桩,但桩周需采取措施以消除桩身与土之间的摩擦力。
H.0.3 测量系统的初始稳定读数观测应在加压前,每隔10min读数一次,连续三次读数不变可开始试验。H.0.4 加载应采用单循环加载,荷载逐级递增直到破坏,然后分级卸载。
H.0.5 加载时,第一级加载值应为预估设计荷载的1/5,以后每级应为预估设计荷载的1/10。
H.0.6 沉降量测读应在加载后立即进行,以后每10min读数一次。
H.0.7 连续三次读数之差均不大于0.01mm,可视为达到稳定标准,可施加下一级荷载。
H.0.8 加载过程中出现下述现象之一时,即可终止加载: 1 沉降量读数不断变化,在24h内,沉降速率有增大的趋势; 2 压力加不上或勉强加上而不能保持稳定。 注:若限于加载能力,荷载也应增加到不少于设计要求的两倍。
H.0.9 卸载及卸载观测应符合下列规定: 1 每级卸载为加载时的两倍,如为奇数,第一级可为3倍; 2 每级卸载后,隔10min测读一次,测读三次后可卸下一级荷载; 3 全部卸载后,当测读到半小时回弹量小于0.01mm时,即认为达到稳定。
H.0.10 岩石地基承载力的确定应符合下列规定: 1 对应于p-s曲线上起始直线段的终点为比例界限。符合终止加载条件的前一级荷载为极限荷载。将极限荷载除以3的安全系数,所得值与对应于比例界限的荷载相比较,取小值。 2 每个场地载荷试验的数量不应少于3个,取最小值作为岩石地基承载力特征值。 3 岩石地基承载力不进行深宽修正。
附录J 岩石饱和单轴抗压强度试验要点
J.0.1 试料可用钻孔的岩芯或坑、槽探中采取的岩块。
J.0.2 岩样尺寸一般为ф50mm×100mm,数量不应少于6个,进行饱和处理。
J.0.3 在压力机上以每秒500kPa~800kPa的加载速度加荷,直到试样破坏为止,记下最大加载,做好试验前后的试样描述。
J.0.4 根据参加统计的一组试样的试验值计算其平均值、标准差、变异系数,取岩石饱和单轴抗压强度的标准值为:
ƒrk=ψ·ƒr m ( J. 0. 4-1)

(J. 0. 4-2)
式中:ƒr m——岩石饱和单轴抗压强度平均值(kPa); ƒrk——岩石饱和单轴抗压强度标准值(kPa); ψ——统计修正系数; n——试样个数; δ——变异系数。
附录K 附加应力系数Α、平均附加应力系数Α
K.0.1 矩形面积上均布荷载作用下角点的附加应力系数α。(表K.0.1-1)、平均附加应力系数

(表K.0.1-2)。

表K.0.1-1 矩形面积上均布荷载作用下角点附加应力系数α

注:l—基础长度(m);b—基础宽度(m);z—计算点离基础底面垂直距离(m)。
表K.0.1-2 矩形面积上均布荷载作用下角点的平均附加应力系数


续表K.0.1-2

K.0.2 矩形面积上三角形分布荷载作用下的附加应力系数α、平均附加应力系数

(表K.0.2)。
矩形面积上三角形分布荷载作用下的附加应力系数α与平均附加应力系数


表K. 0. 2

续表K.0.2

续表K.0.2

K.0.3 圆形面积上均布荷载作用下中点的附加应力系数α、平均附加应力系数

(表K.0.3)。
表K. 0. 3 圆形面积上均布荷载作用下中点的附加应力系数α与平均附加应力系数

|
z/r |
圆形 |
z/r |
圆形 |
||
|
α |
|
α |
|
||
|
0.0 |
1.000 |
1.000 |
2.6 |
0.187 |
0.560 |
|
0.1 |
0.999 |
1.000 |
2.7 |
0.175 |
0.546 |
|
0.2 |
0.992 |
0.998 |
2.8 |
0.165 |
0.532 |
|
0.3 |
0.976 |
0.993 |
2.9 |
0.155 |
0.519 |
|
0.4 |
0.949 |
0.986 |
3.0 |
0.146 |
0.507 |
|
0.5 |
0.911 |
0.974 |
3.1 |
0.138 |
0.495 |
|
0.6 |
0.864 |
0.960 |
3.2 |
0.130 |
0.484 |
|
0.7 |
0.811 |
0.942 |
3.3 |
0.124 |
0.473 |
|
0.8 |
0.756 |
0.923 |
3.4 |
0.117 |
0.463 |
|
0.9 |
0.701 |
0.901 |
3.5 |
0.111 |
0.453 |
|
1.0 |
0.647 |
0.878 |
3.6 |
0.106 |
0.443 |
|
1.1 |
0.595 |
0.855 |
3.7 |
0.101 |
0.434 |
|
1.2 |
0.547 |
0.831 |
3.8 |
0.096 |
0.425 |
|
1.3 |
0.502 |
0.808 |
3.9 |
0.091 |
0.417 |
|
1.4 |
0.461 |
0.784 |
4.0 |
0.087 |
0.409 |
|
1.5 |
0.424 |
0.762 |
4.1 |
0.083 |
0.401 |
|
1.6 |
0.390 |
0.739 |
4.2 |
0.079 |
0.393 |
|
1.7 |
0.360 |
0.718 |
4.3 |
0.076 |
0.386 |
|
1.8 |
0.332 |
0.697 |
4.4 |
0.073 |
0.379 |
|
1.9 |
0.307 |
0.677 |
4.5 |
0.070 |
0.372 |
|
2.0 |
0.285 |
0.658 |
4.6 |
0.067 |
0.035 |
|
2.1 |
0.264 |
0.640 |
4.7 |
0.064 |
0.359 |
|
2.2 |
0.245 |
0.623 |
4.8 |
0.062 |
0.353 |
|
2.3 |
0.229 |
0.606 |
4.9 |
0.059 |
0.347 |
|
2.4 |
0.210 |
0.590 |
5.0 |
0.057 |
0.341 |
|
2.5 |
0.200 |
0.574 |
|||
K.0.4 圆形面积上三角形分布荷载作用下边点的附加应力系数α、平均附加应力系数

(表K.0.4)。

表K. 0. 4 圆形面积上三角形分布荷载作用下边点的附加应力系数α与平均附加应力系数

|
z/r |
点 |
1 |
2 |
||
|
系数 |
α |
|
α |
|
|
|
0.0 |
0.000 |
0.000 |
0.500 |
0.500 |
|
|
0.1 |
0.016 |
0.008 |
0.465 |
0.483 |
|
|
0.2 |
0.031 |
0.016 |
0.433 |
0.466 |
|
|
0.3 |
0.044 |
0.023 |
0.403 |
0.450 |
|
|
0.4 |
0.054 |
0.030 |
0.376 |
0.435 |
|
|
0.5 |
0.063 |
0.035 |
0.349 |
0.420 |
|
|
0.6 |
0.071 |
0.041 |
0.324 |
0.406 |
|
|
0.7 |
0.078 |
0.045 |
0.300 |
0.393 |
|
|
0.8 |
0.083 |
0.050 |
0.279 |
0.380 |
|
|
0.9 |
0.088 |
0.054 |
0.258 |
0.368 |
|
|
1.0 |
0.091 |
0.057 |
0.238 |
0.356 |
|
|
1.1 |
0.092 |
0.061 |
0.221 |
0.344 |
|
|
1.2 |
0.093 |
0.063 |
0.205 |
0.333 |
|
|
1.3 |
0.092 |
0.065 |
0.190 |
0.323 |
|
|
1.4 |
0.091 |
0.067 |
0.177 |
0.313 |
|
|
1.5 |
0.089 |
0.069 |
0.165 |
0.303 |
|
|
1.6 |
0.087 |
0.070 |
0.154 |
0.294 |
|
|
1.7 |
0.085 |
0.071 |
0.144 |
0.286 |
|
|
1.8 |
0.083 |
0.072 |
0.134 |
0.278 |
|
|
1.9 |
0.080 |
0.072 |
0.126 |
0.270 |
|
|
2.0 |
0.078 |
0.073 |
0.117 |
0.263 |
|
|
2.1 |
0.075 |
0.073 |
0.110 |
0.255 |
|
|
2.2 |
0.072 |
0.073 |
0.104 |
0.249 |
|
|
2.3 |
0.070 |
0.073 |
0.097 |
0.242 |
|
|
2.4 |
0.067 |
0.073 |
0.091 |
0.236 |
|
|
2.5 |
0.064 |
0.072 |
0.086 |
0.230 |
|
|
2.6 |
0.062 |
0.072 |
0.081 |
0.225 |
|
|
2.7 |
0.059 |
0.071 |
0.078 |
0.219 |
|
|
2.8 |
0.057 |
0.071 |
0.074 |
0.214 |
|
|
2.9 |
0.055 |
0.070 |
0.070 |
0.209 |
|
|
3.0 |
0.052 |
0.070 |
0.067 |
0.204 |
|
|
3.1 |
0.050 |
0.069 |
0.064 |
0.200 |
|
|
3.2 |
0.048 |
0.069 |
0.061 |
0.196 |
|
|
3.3 |
0.046 |
0.068 |
0.059 |
0.192 |
|
|
3.4 |
0.045 |
0.067 |
0.055 |
0.188 |
|
|
3.5 |
0.043 |
0.067 |
0.053 |
0.184 |
|
|
3.6 |
0.041 |
0.066 |
0.051 |
0.180 |
|
|
3.7 |
0.040 |
0.065 |
0.048 |
0.177 |
|
|
3.8 |
0.038 |
0.065 |
0.046 |
0.173 |
|
|
3.9 |
0.037 |
0.064 |
0.043 |
0.170 |
|
|
4.0 |
0.036 |
0.063 |
0.041 |
0.167 |
|
|
4.2 |
0.033 |
0.062 |
0.038 |
0.161 |
|
|
4.4 |
0.031 |
0.061 |
0.034 |
0.155 |
|
|
4.6 |
0.029 |
0.059 |
0.031 |
0.150 |
|
|
4.8 |
0.027 |
0.058 |
0.029 |
0.145 |
|
|
5.0 |
0.025 |
0.057 |
0.027 |
0.140 |
|
附录L 挡土墙主动土压力系数KA
L.0.1 挡土墙在土压力作用下,其主动压力系数应按下列公式计算:

式中:q——地表均布荷载(kPa),以单位水平投影面上的荷载强度计算。

图L.0.1 计算简图
L. 0.2 对于高度小于或等于5m的挡土墙,当填土质量满足设计要求且排水条件符合本规范第6.7.1条的要求时,其主动土压力系数可按图L.0.2查得,当地下水丰富时,应考虑水压力的作用。
L.0.3 按图L. 0.2查主动土压力系数时,图中土类的填土质量应满足下列规定: 1 I类 碎石土,密实度应为中密及以上,干密度应大于或等于2000kg/m3; 2 Ⅱ类 砂土,包括砾砂、粗砂、中砂,其密实度应为中密及以上,干密度应大于或等于1650kg/m3; 3 Ⅲ类 黏土夹块石,干密度应大于或等于1900kg/m3; 4 Ⅳ类 粉质黏土,干密度应大于或等于1650kg/m3。

图L 0.2-1 挡土墙主动土压力系数是ka(一)(a) Ⅰ类土土压力系数(δ=1/2φ,q=0)

图L 0.2-2 挡土墙主动土压力系数是ka(二)(a) Ⅱ类土土压力系数(δ=1/2φ,q=0)

图L 0.2-3 挡土墙主动土压力系数是ka(三)(a) Ⅲ类土土压力系数(δ=1/2φ,q=0,H=5m)

图L 0.2-4 挡土墙主动土压力系数是ka(四)(a) Ⅳ类土土压力系数(δ=1/2φ,q=0,H=5m)
附录M 岩石锚杆抗拔试验要点
M.0.1 在同一场地同一岩层中的锚杆,试验数不得少于总锚杆的5%,且不应少于6根。
M.0.2 试验采用分级加载,荷载分级不得少于8级。试验的最大加载量不应少于锚杆设计荷载的2倍。
M.0.3 每级荷载施加完毕后,应立即测读位移量。以后每间隔5min测读—次。连续4次测读出的锚杆拔升值均小于0.01mm时,认为在该级荷载的位移已达到稳定状态,可继续施加下—级上拔荷载。
M.0.4 当出现下列情况之一时,即可终止锚杆的上拔试验: 1 锚杆拔升值持续增长,且在1h内未出现稳定的迹象; 2 新增加的上拔力无法施加,或者施加后无法使上拔力保持稳定; 3 锚杆的钢筋已被拔断,或者锚杆锚筋被拔出。
M.0.5 符合上述终止条件的前一级上拔荷载,即为该锚杆的极限抗拔力。
M.0.6 参加统计的试验锚杆,当满足其极差不超过平均值的30%时,可取其平均值为锚杆极限承载力。极差超过平均值的30%时,宜增加试验量并分析极差过大的原因,结合工程情况确定极限承载力。
M.0.7 将锚杆极限承载力除以安全系数2为锚杆抗拔承载力特征值(Rt)。
M.0.8 锚杆钻孔时,应利用钻孔取出的岩芯加工成标准试件,在天然湿度条件下进行岩石单轴抗压试验,每根试验锚杆的试样数不得少于3个。
M.0.9 试验结束后,必须对锚杆试验现场的破坏情况进行详尽的描述和拍摄照片。
附录N 大面积地面荷载作用下地基附加沉降量计算
N.0.1 由地面荷载引起柱基内侧边缘中点的地基附加沉降计算值可按分层总和法计算,其计算深度按本规范公式(5.3.7)确定。
N.0.2 参与计算的地面荷载包括地面堆载和基础完工后的新填土,地面荷载应按均布荷载考虑,其计算范围:横向取5倍基础宽度,纵向为实际堆载长度。其作用面在基底平面处。
N.0.3 当荷载范围横向宽度超过5倍基础宽度时,按5倍基础宽度计算。小于5倍基础宽度或荷载不均匀时,应换算成宽度为5倍基础宽度的等效均布地面荷载计算。
N.0.4 换算时,将柱基两侧地面荷载按每段为0.5倍基础宽度分成10个区段(图N.0.4),然后按式(N.0.4)计算等效均布地面荷载。当等效均布地面荷载为正值时,说明柱基将发生内倾;为负值时,将发生外倾。

(N. 0. 4)
式中:qeq——等效均布地面荷载(kPa); βi——第i区段的地面荷载换算系数,按表N.0.4查取; qi——柱内侧第i区段内的平均地面荷载(kPa); pi——柱外侧第i区段内的平均地面荷载(kPa)。
表N.0.4 地面荷载换算系数βi

注:a、b见本规范表7.5.5。

图N. 0. 4 地面荷载区段划分1—地面堆载;2—大面积填土
附录P 冲切临界截面周长及极惯性矩计算公式
P.0.1 冲切临界截面的周长um以及冲切临界截面对其重心的极惯性矩Is,应根据柱所处的部位分别按下列公式进行计算:

图P.0.1-1
1 对于内柱,应按下列公式进行计算:
um=2c1+2c2 (P .0. 1-1)

(P .0. 1-2) c1=hc+h0 (P .0. 1-3)c2=bc+h0 (P .0. 1-4)cAB=c1/2 (P .0. 1-5)
式中:hc——与弯矩作用方向一致的柱截面的边长(m); bc——垂直于hc的柱截面边长(m)。 2 对于边柱,应按式(P.0.1-6)~式(P.0.1-11)进行计算。公式(P.0.1-6)~式(P.0.1-11)适用于柱外侧齐筏板边缘的边柱。对外伸式筏板,边柱柱下筏板冲切临界截面的计算模式应根据边柱外侧筏板的悬挑长度和柱子的边长确定。当边柱外侧的悬挑长度小于或等于(h0+0.5bc)时,冲切临界截面可计算至垂直于自由边的板端,计算c1及IS值时应计及边柱外侧的悬挑长度;当边柱外侧筏板的悬挑长度大于(h0+0.5bc)时,边柱柱下筏板冲切临界截面的计算模式同内柱。

图P.0.1-2
um=2c1+2c2 (P .0. 1-6)

(P .0. 1-7)c1=hc+h0/2 (P .0. 1-8)c2=bc+h0 (P .0. 1-9)

(P .0. 1-10) (P .0. 1-11)
式中:

——冲切临界截面重心位置(m)。 3 对于角柱,应按式(P.0.1-12)~式(P.0.1-17)进行计算。公式(P.0.1-12)~式(P.0.1-17)适用于柱两相邻外侧齐筏板边缘的角柱。对外伸式筏板,角柱柱下筏板冲切临界截面的计算模式应根据角柱外侧筏板的悬挑长度和柱子的边长确定。 当角柱两相邻外侧筏板的悬挑长度分别小于或等于(h0+0.5bc)和(hc+0.5hc)时,冲切临界截面可计算至垂直于自由边的板端,计算c1、c2及Is值应计及角柱外侧筏板的悬挑长度;当角柱两相邻外侧筏板的悬挑长度大于(h0+0.5bc)和(h0+0.5hc)时,角柱柱下筏板冲切临界截面的计算模式同内柱。

图P.0.1-3um=c1+c2 (P .0. 1-12)

(P .0. 1-13)c1=hc+h0/2 (P .0. 1-14)c2=bc+h0/2 (P .0. 1-15)

(P .0. 1-16)(P .0. 1-17)
附录Q 单桩竖向静载荷试验要点
Q.0.1 单桩竖向静载荷试验的加载方式,应按慢速维持荷载法。
Q.0.2 加载反力装置宜采用锚桩,当采用堆载时应符合下列规定: 1 堆载加于地基的压应力不宜超过地基承载力特征值。 2 堆载的限值可根据其对试桩和对基准桩的影响确定。 3 堆载量大时,宜利用桩(可利用工程桩)作为堆载的支点。 4 试验反力装置的最大抗拔或承重能力应满足试验加荷的要求。
Q.0.3 试桩、锚桩(压重平台支座)和基准桩之间的中心距离应符合表Q. 0.3的规定。
表Q.0.3 试桩、锚桩和基准桩之间的中心距离
|
反力系统 |
试桩与锚桩(或压重平台支座墩边) |
试桩与基准桩 |
基准桩与锚桩(或压重平台支座墩边) |
|
锚桩横梁反力装置压重平台反力装置 |
≥4d且>2.0m |
≥4d且>2.0m |
≥4d且>2.0m |
注:d—试桩或锚桩的设计直径,取其较大者(如试桩或锚桩为扩底桩时,试桩与锚桩的中心距尚不应小于2倍扩大端直径)。
Q.0.4 开始试验的时间:预制桩在砂土中入土7d后。黏性土不得少于15d。对于饱和软黏土不得少于25d。灌注桩应在桩身混凝土达到设计强度后,才能进行。
Q.0.5 加荷分级不应小于8级,每级加载量宜为预估极限荷载的1/8~1/10。
Q.0.6 测读桩沉降量的间隔时间:每级加载后,每第5min、10min、15min时各测读一次,以后每隔15min读一次,累计1h后每隔半小时读一次。
Q.0.7 在每级荷载作用下,桩的沉降量连续两次在每小时内小于0.1mm时可视为稳定。
Q.0.8 符合下列条件之一时可终止加载: 1 当荷载-沉降(Q-s)曲线上有可判定极限承载力的陡降段,且桩顶总沉降量超过40mm; 2 △sn+1/△sn≥2,且经24h尚未达到稳定; 3 25m以上的非嵌岩桩,Q-s曲线呈缓变型时,桩顶总沉降量大于60mm~80mm; 4 在特殊条件下,可根据具体要求加载至桩顶总沉降量大于100mm。 注:1 △sn——第n级荷载的沉降量;△sn+1——第n+1级荷载的沉降量; 2 桩底支承在坚硬岩(土)层上,桩的沉降量很小时,最大加载量不应小于设计荷载的两倍。
Q.0.9 卸载及卸载观测应符合下列规定: 1 每级卸载值为加载值的两倍; 2 卸载后隔15min测读一次,读两次后,隔半小时再读一次,即可卸下一级荷载; 3 全部卸载后,隔3h再测读一次。
Q.0.10 单桩竖向极限承载力应按下列方法确定: 1 作荷载-沉降(Q-s)曲线和其他辅助分析所需的曲线。 2 当陡降段明显时,取相应于陡降段起点的荷载值。 3 当出现本附录Q.0.8第2款的情况时,取前一级荷载值。 4 Q-s曲线呈缓变型时,取桩顶总沉降量s=40mm所对应的荷载值,当桩长大于40m时,宜考虑桩身的弹性压缩。 5 按上述方法判断有困难时,可结合其他辅助分析方法综合判定。对桩基沉降有特殊要求者,应根据具体情况选取。 6 参加统计的试桩,当满足其极差不超过平均值的30%时,可取其平均值为单桩竖向极限承载力;极差超过平均值的30%时,宜增加试桩数量并分析极差过大的原因,结合工程具体情况确定极限承载力。对桩数为3根及3根以下的柱下桩台,取最小值。
Q.0.11 将单桩竖向极限承载力除以安全系数2,为单桩竖向承载力特征值(Ra)。
附录R 桩基础最终沉降量计算
R.0.1 桩基础最终沉降量的计算采用单向压缩分层总和法:

(R. 0. 1)
式中:s——桩基最终计算沉降量(mm); m——桩端平面以下压缩层范围内土层总数; Esj,i——桩端平面下第j层土第i个分层在自重应力至自重应力加附加应力作用段的压缩模量(MPa); nj——桩端平面下第j层土的计算分层数; △hj,i——桩端平面下第j层土的第i个分层厚度,(m); σj,i——桩端平面下第j层土第i个分层的竖向附加应力(kPa),可分别按本附录第R.0.2条和第R.0.4条的规定计算; ψp ——桩基沉降计算经验系数,各地区应根据当地的工程实测资料统计对比确定。
R.0.2 采用实体深基础计算桩基础最终沉降量时,采用单向压缩分层总和法按本规范第5.3.5条~第5.3.8条的有关公式计算。
R.0.3 本规范公式(5.3.5)中附加压力计算,应为桩底平面处的附加压力。实体基础的支承面积可按图R. 0.3采用。实体深基础桩基沉降计算经验系数ψps应根据地区桩基础沉降观测资料及经验统计确定。在不具备条件时,ψps值可按表R.0.3选用。
表R.0.3 实体深基础计算桩基沉降经验系数ψps

注:表内数值可以内插。

图R. 0. 3 实体深基础的底面积
R.0.4 采用明德林应力公式方法进行桩基础沉降计算时,应符合下列规定: 1 采用明德林应力公式计算地基中的某点的竖向附加应力值时,可将各根桩在该点所产生的附加应力,逐根叠加按下式计算:

(R. 0. 4-1)式中:σzp,k——第k根桩的端阻力在深度z处产生的应力(kPa); σzs,k——第k根桩的侧摩阻力在深度z处产生的应力(kPa)。 2 第k根桩的端阻力在深度z处产生的应力可按下式计算;

(R. 0. 4-2)
式中:Q——相应于作用的准永久组合时,轴心竖向力作用下单桩的附加荷载(kN);由桩端阻力Qp和桩侧摩阻力Qs共同承担,且Qp=αQ,α是桩端阻力比;桩的端阻力假定为集中力,桩侧摩阻力可假定为沿桩身均匀分布和沿桩身线性增长分布两种形式组成,其值分别为βQ和(1-α-β)Q,如图R.0.4所示; l——桩长(m); I p,k——应力影响系数,可用对明德林应力公式进行积分的方式推导得出。

图R. 0. 4 单桩荷载分担
3 第k根桩的侧摩阻力在深度z处产生的应力可按下式计算;

(R. 0. 4-3)
式中:I s1,I s2——应力影响系数,可用对明德林应力公式进行积分的方式推导得出。 4 对于一般摩擦型桩可假定桩侧摩阻力全部是沿桩身线性增长的(即β=0),则(R. 0.4-3)式可简化为:

(R. 0. 4-4)
5 对于桩顶的集中力:


(R. 0. 4-5)
6 对于桩侧摩阻力沿桩身均匀分布的情况:

(R. 0. 4-6)
7 对于桩侧摩阻力沿桩身线性增长的情况:


(R. 0. 4-7)
式中:

υ——地基土的泊松比; r——计算点离桩身轴线的水平距离(m); z——计算应力点离承台底面的竖向距离(m)。 8 将公式(R. 0.4-1)~公式(R.0.4-4)代入公式(R. 0.1),得到单向压缩分层总和法沉降计算公式:

(R. 0. 4-8)
R.0.5 采用明德林应力公式计算桩基础最终沉降量时,相应于作用的准永久组合时,轴心竖向力作用下单桩附加荷载的桩端阻力比α和桩基沉降计算经验系数ψpm应根据当地工程的实测资料统计确定。无地区经验时,ψpm值可按表R. 0.5选用。
表R.0.5 明德林应力公式方法计算桩基沉降经验系数ψpm
|
≤15 |
25 |
35 |
≥40 |
|
ψpm |
1.00 |
0.8 |
0.6 |
0.3 |
注:表内数值可以内插。附录S 单桩水平载荷试验要点
S.0.1 单桩水平静载荷试验宜采用多循环加卸载试验法,当需要测量桩身应力或应变时宜采用慢速维持荷载法。
S.0.2 施加水平作用力的作用点宜与实际工程承台底面标高一致。试桩的竖向垂直度偏差不宜大于1%。
S.0.3 采用千斤顶顶推或采用牵引法施加水平力。力作用点与试桩接触处宜安设球形铰,并保证水平作用力与试桩轴线位于同一平面。

图S. 0.3 单桩水平静载荷试验示意1—百分表;2—球铰;3—千斤顶;4—垫块;5—基准梁
S.0.4 桩的水平位移宜采用位移传感器或大量程百分表测量,在力作用水平面试桩两侧应对称安装两个百分表或位移传感器。
S.0.5 固定百分表的基准桩应设置在试桩及反力结构影响范围以外。当基准桩设置在与加荷轴线垂直方向上或试桩位移相反方向上,净距可适当减小,但不宜小于2m。
S.0.6 采用顶推法时,反力结构与试桩之间净距不宜小于3倍试桩直径,采用牵引法时不宜小于10倍试桩直径。
S.0.7 多循环加载时,荷载分级宜取设计或预估极限水平承载力的1/10~1/15。每级荷载施加后,维持恒载4min测读水平位移,然后卸载至零,停2min测读水平残余位移,至此完成一个加卸载循环,如此循环5次即完成一级荷载的试验观测。试验不得中途停歇。
S.0.8 慢速维持荷载法的加卸载分级、试验方法及稳定标准应符合本规范第Q.0.5条、第Q.0.6条、第Q.0.7条的规定。
S.0.9 当出现下列情况之一时,可终止加载: 1 在恒定荷载作用下,水平位移急剧增加; 2 水平位移超过30mm~40mm(软土或大直径桩时取高值); 3 桩身折断。
S.0.10 单桩水平极限荷载Hu可按下列方法综合确定: 1 取水平力-时间-位移(H0-t-X0)曲线明显陡变的前一级荷载为极限荷载(图S.0.10-1);慢速维持荷载法取Ho—Xo曲线产生明显陡变的起始点对应的荷载为极限荷载; 2 取水平力-位移梯度(H0-△X0/△H0)曲线第二直线段终点对应的荷载为极限荷载(图S.0.10-2); 3 取桩身折断的前一级荷载为极限荷载(图S.0.10-3); 4 按上述方法判断有困难时,可结合其他辅助分析方法综合判定; 5 极限承载力统计取值方法应符合本规范第Q.0.10条的有关规定。
S.0.11 单桩水平承载力特征值应按以下方法综合确定: 1 单桩水平临界荷载(Hcr)可取H0-△Xo/△H0曲线第一直线段终点或H0-σg曲线第一拐点所对应的荷载(图S.0.10-2、图S.0.10-3)。

图S.0.10-1 H0-t-X0曲线①—水平位移X0(mm);②—水平力;③—时间t(h)

图S 0.10-2 H0-△X0/△H0曲线①—位移梯度;②—水平力

图S 0.10-3 H0-σg曲线①—最大弯矩点钢筋应力;②—水平力
2 参加统计的试桩,当满足其极差不超过平均值的30%时,可取其平均值为单桩水平极限荷载统计值。极差超过平均值的30%时,宜增加试桩数量并分析极差过大的原因,结合工程具体情况确定单桩水平极限荷载统计值。 3 当桩身不允许裂缝时,取水平临界荷载统计值的0.75倍为单桩水平承载力特征值。 4 当桩身允许裂缝时,将单桩水平极限荷载统计值的除以安全系数2为单桩水平承载力特征值,且桩身裂缝宽度应满足相关规范要求。
S.0.12 从成桩到开始试验的间隔时间应符合本规范第Q.0.4条的规定。
附录T 单桩竖向抗拔载荷试验要点
T.0.1 单桩竖向抗拔载荷试验应采用慢速维持荷载法进行。
T.0.2 试桩应符合实际工作条件并满足下列规定: 1 试桩桩身钢筋伸出桩顶长度不宜少于40d十500mm(d为钢筋直径)。为设计提供依据的试验,试桩钢筋按钢筋强度标准值计算的拉力应大于预估极限承载力的1.25倍。 2 试桩顶部露出地面高度不宜小于300mm。 3 试桩的成桩工艺和质量控制应严格遵守有关规定。试验前应对试验桩进行低应变检测,有明显扩径的桩不应作为抗拔试验桩。 4 试桩的位移量测仪表的架设位置与桩顶的距离不应小于1倍桩径,当桩径大于800mm时,试桩的位移量测仪表的架设位置与桩顶的距离可适当减少,但不得少于0.5倍桩径。 5 当采用工程桩作试桩时,桩的配筋应满足在最大试验荷载作用下桩的裂缝宽度控制条件,可采用分段配筋。
T.0.3 试验设备装置主要由加载装置与量测装置组成,如图T.0.3所示。

图T.0.3 单桩竖向抗拔载荷试验示意1—试桩;2—锚桩;3—液压千斤顶;4—表座;5—测微表;6—基准梁;7—球铰;8—反力梁
1 量测仪表应采用位移传感器或大量程百分表。加载装置应采用同型号并联同步油压千斤顶,千斤顶的反力装置可为反力锚桩。反力锚桩可根据现场情况利用工程桩。 试桩、锚桩和基准桩之间的最小间距应符合本规范第Q.0.3条的规定,对扩底抗拔桩,上述最小间距应适当加大。 2 采用天然地基提供反力时,施加于地基的压应力不应大于地基承载力特征值的1.5倍。
T.0.4 加载量不宜少于预估的或设计要求的单桩抗拔极限承载力。每级加载为设计或预估单桩极限抗拔承载力的1/8~1/10,每级荷载达到稳定标准后加下一级荷载,直到满足加载终止条件,然后分级卸载到零。
T.0.5 抗拔静载试验除对试桩的上拔变形量进行观测外,还应对锚桩的变形量、桩周地面土的变形情况及桩身外露部分裂缝开展情况进行观测记录。
T.0.6 每级加载后,在第5min、10min、15min各测读一次上拔变形量,以后每隔15min测读一次,累计1h以后每隔30min测读一次。
T.0.7 在每级荷载作用下,桩的上拔变形量连续两次在每小时内小于0.1mm时可视为稳定。
T.0.8 每级卸载值为加载值的两倍。卸载后间隔15min测读一次,读两次后,隔30min再读一次,即可卸下一级荷载。全部卸载后,隔3h再测读一次。
T.0.9 在试验过程中,当出现下列情况之一时,可终止加载: 1 桩顶荷载达到桩受拉钢筋强度标准值的0.9倍,或某根钢筋拉断; 2 某级荷载作用下,上拔变形量陡增且总上拔变形量已超过80mm; 3 累计上拔变形量超过100mm; 4 工程桩验收检测时,施加的上拔力应达到设计要求,当桩有抗裂要求时,不应超过桩身抗裂要求所对应的荷载。
T.0.10 单桩竖向抗拔极限承载力的确定应符合下列规定: 1 对于陡变形曲线(图T.0.10-1),取相应于陡升段起点的荷载值。 2 对于缓变形U-△曲线,可根据△-lgt曲线,取尾部显著弯曲的前一级荷载值(图T.0.10-2)。

图T.0.10-1 陡变形U-△曲线 图T.0.10-2 △-lgt曲线
3 当出现第T.0.9条第1款情况时,取其前一级荷载。 4 参加统计的试桩,当满足其极差不超过平均值的30%时,可取其平均值为单桩竖向抗拔极限承载力;极差超过平均值的30%时,宜增加试桩数量并分析极差过大的原因,结合工程具体情况确定极限承载力。对桩数为3根及3根以下的柱下桩台,取最小值。
T.0.11 单桩竖向抗拔承载力特征值应按以下方法确定: 1 将单桩竖向抗拔极限承载力除以2,此时桩身配筋应满足裂缝宽度设计要求; 2 当桩身不允许开裂时,应取桩身开裂的前一级荷载; 3 按设计允许的上拔变形量所对应的荷载取值。
T.0.12 从成桩到开始试验的时间间隔,应符合本规范第Q.0.4条的要求。
附录U 阶梯形承台及锥形承台斜截面受剪的截面宽度
U.0.1 对于阶梯形承台应分别在变阶处(A1-A1,B1-B1)及柱边处(A2-A2,B2-B2)进行斜截面受剪计算(图U.0.1),并应符合下列规定:

图U.0.1 阶梯形承台斜截面受剪计算 1 计算变阶处截面A1-A1,B1-B1的斜截面受剪承载力时,其截面有效高度均为h01,截面计算宽度分别为by1和bx1。 2 计算柱边截面A2-A2,B2-B2处的斜截面受剪承载力时,其截面有效高度均为h01+h02,截面计算宽度按下式进行计算:

(U. 0. 1-1)

(U. 0. 1-2)
U.0.2 对于锥形承台应对A-A及B-B两个截面进行受剪承载力计算(图U.0.2),截面有效高度均为h0,截面的计算宽度按下式计算:

(U. 0. 2-1)

(U. 0. 2-2)

图U.0.2 锥形承台受剪计算
附录V 支护结构稳定性验算
V.0.1 桩、墙式支护结构应按表V.0.1的规定进行抗倾覆稳定、隆起稳定和整体稳定验算。土的抗剪强度指标的选用应符合本规范第9.1.6条的规定。
表V. 0.1 支护结构的稳定性验算


V.0.2 当坡体内有地下水渗流作用时,稳定分析时应进行坡体内的水力坡降与渗流压力计算,也可采用替代重度法作简化分析。
附录W 基坑抗渗流稳定性计算
W.0.1 当上部为不透水层,坑底下某深度处有承压水层时,基坑底抗渗流稳定性可按下式验算(图W.0.1):

(W.0. 1)
式中:γm——透水层以上土的饱和重度(kN/m3); t+△t——透水层顶面距基坑底面的深度(m); pw——含水层水压力(kPa)。

图W.0.1 基坑底抗渗流稳定验算示意1—透水层
W.0.2 当基坑内外存在水头差时,粉土和砂土应进行抗渗流稳定性验算,渗流的水力梯度不应超过临界水力梯度。
附录Y 土层锚杆试验要点
Y.0.1 土层锚杆试验的地质条件、锚杆材料和施工工艺等应与工程锚杆一致。为使确定锚固体与土层粘结强度特征值、验证杆体与砂浆间粘结强度特征值的试验达到极限状态,应使杆体承载力标准值大于预估破坏荷载的1.2倍。
Y.0.2 试验时最大的试验荷载不宜超过锚杆杆体承载力标准值的0.9倍。
Y.0.3 锚固体灌浆强度达到设计强度的90%后,方可进行锚杆试验。
Y.0.4 试验应采用循环加、卸载法,并应符合下列规定: 1 每级加荷观测时间内,测读锚头位移不应小于3次; 2 每级加荷观测时间内,当锚头位移增量不大于0.1mm时,可施加下一级荷载;不满足时应在锚头位移增量2h内小于2mm时再施加下一级荷载; 3 加、卸载等级、测读间隔时间宜按表Y.0.4确定; 4 如果第六次循环加荷观测时间内,锚头位移增量不大于0.1mm时,可视试验装置情况,按每级增加预估破坏荷载的10%进行1次或2次循环。
表Y.0.4 锚杆基本试验循环加卸载等级与位移观测间隔时间

Y.0.5 锚杆试验中出现下列情况之一时可视为破坏,应终止加载: 1 锚头位移不收敛,锚固体从土层中拔出或锚杆从锚固体中拔出; 2 锚头总位移量超过设计允许值; 3 土层锚杆试验中后一级荷载产生的锚头位移增量,超过上一级荷载位移增量的2倍。
Y.0.6 试验完成后,应根据试验数据绘制荷载-位移(Q-s)曲线、荷载-弹性位移(Q-se)曲线和荷载-塑性位移(Q-se)曲线。
Y.0.7 单根锚杆的极限承载力取破坏荷载前一级的荷载量;在最大试验荷载作用下未达到破坏标准时,单根锚杆的极限承载力取最大荷载值。
Y.0.8 锚杆试验数量不得少于3根。参与统计的试验锚杆,当满足其极差值不大于平均值的30%时,取平均值作为锚杆的极限承载力;若最大极差超过30%,应增加试验数量,并分析极差过大的原因,结合工程情况确定极限承载力。
Y.0.9 将锚杆极限承载力除以安全系数2,即为锚杆抗拔承载力特征值。
Y.0.10 锚杆验收试验应符合下列规定: 1 试验最大荷载值按0.85Asƒy确定; 2 试验采用单循环法,按试验最大荷载值的10%、30%、50%、70%、80%、90%、100%施加; 3 每级试验荷载达到后,观测10min,测计锚头位移; 4 达到试验最大荷载值,测计锚头位移后卸荷到试验最大荷载值的10%观测10min并测计锚头位移; 5 锚杆试验完成后,绘制锚杆荷载-位移曲线(Q-s)曲线图; 6 符合下列条件时,试验的锚杆为合格: 1)加载到设计荷载后变形稳定; 2)锚杆弹性变形不小于自由段长度变形计算值的80%,且不大于自由段长度与1/2锚固段长度之和的弹性变形计算值; 7 验收试验的锚杆数量取锚杆总数的5%,且不应少于5根。




