01
PART
是什么
电容器(英文:capacitor,用符号C表示)是将电能储存在电场中的被动电子元件,顾名思义它是一个装载电荷的容器,在线性时不变系统中有:

,模型如图所示

平行板电容器
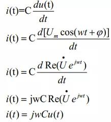
我们在电路电路中通常研究的是器件u和i的关系,而电流的定义为:单位时间里通过导体任一横截面的电荷量,即电流为电荷的变化率那么

,从而得出电容的VCR(Voltage Current Resistance)关系:

但是在电路系统计算中,你愿意求解微积分方程吗?因此电容和电感必须引入复域,才能让问题得到有效解决。当然时域研究也是有用处的,以后在测量篇会讲解。
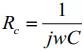
这里采用倒叙的方法,先提前说下电容的阻抗为

, w和C大家都知道是角频率和容值,那复数j是什么,怎么来的呢?还记得我在电阻篇说过电容是一个跟电阻差了90度并且随着频率变化的器件。这里的随频率变换体现在w上,那么90度体现在哪里呢,想一想应该就是这个j了,因为w和C都是实数不会出现角度变换,那么这个j就对应了90度。
再看下这个公式怎么解释我们平时知道的电容特性,我们知道电容通高频,阻低频,就是随着频率增高阻抗越小,刚好跟公式w和C在分母上对应,随着频率增加,电容的阻抗降低。
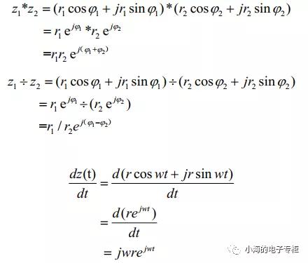
在上面的电容阻抗公式中,我们知道了复数j对应的是角度(900),那么就来探索下j为什么对应了角度。因为j是复数,那先让我们看下复数定义:对于任意实数,x,y形如:z=x+jy的数为复数。x是实部y是虚部。
跟向量一样它可以用平面坐标表示,这个平面叫做复平面。

其中

利用直角坐标与极坐标的关系:

因此复数z=x+jy还可以表示为:

在利用神奇的欧拉公式:

那么复数z=x+jy还可以表示为:

在极坐标下我们知道一个向量可以由模值和角度表示,同理

是复数的的极坐标表示。r是模值,φ是角度。
为什么要用极坐标表示呢,因为在这种表示法下,计算会很简单。
举个例子:
乘除法和微分计算:

在电路系统研究中我们喜欢用正弦函数Acos(wt+φ)作为激励源(输入),因为它的形式比较简单,理论研究的很透彻,并且根据傅里叶变换所有的波形都可以由多个正弦函数叠加表示。因此我们也用正弦函数作为激励来研究稳态下的电容电路,这里有个名词叫做正弦稳态分析(注:在电路研究中我们喜欢把cos叫做正弦,但不影响我们对问题的研究)。
正弦函数有三个特征即:幅度A,角频率w和初相φ,知道了这三个特征后,就唯一确定一个正弦函数。在正弦稳态电路中信号的频率是不会改变的,即输入是

的正弦,输出的还是

的正弦,只是幅度和相位可能会发生变化。因此如果输入的正弦信号是已知的前提下,只用确定输出信号的幅度A和相位φ,就可以求出输出的正弦信号了。
比如输入的信号是

,这个形式是不是很熟悉,没错可以看成复数z=r(cosφ+jsinφ)的实部。即

,
在通过欧拉公式变换到极坐标:

,因为前面说过,正弦稳态电路中信号的频率不会发生变化,所以我们只用关心幅度和相位,因此令

,称其为电压振幅相量,它是一个与时间无关的复数常量。振幅相量是一个复数,但它具有特殊意义,代表正弦波的幅度和相位,为了区分一般的复数,我们在字母头上加一个点。
好了这里就要引出电容阻抗了。
在开头的时候知道电容的时域关系是:

从而得出电容阻抗

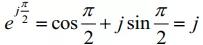
现在我们推导出电容阻抗了,那90度怎么来的呢?这里因为

同理:

根据上面复数的极坐标中介绍的

对应的就是角度,这里

。现在知道了90度怎来的了吧。以后公式中出现

的时候要联想到,要想到是90度。
我们这里为什么要做这么麻烦的处理呢,就是为了通过复数引入阻抗,这样正弦稳态电路的计算可以仿照电阻电路的计算来处理。电容的电压电流关系就可以表示为:U=RCI。
需要注意的是这里引入复数只是为了计算方便,实际上并不存在复数的电压和电流,也没有一个器件的参数会是虚数,复数只是对正弦稳态电路分析的工具。
电容的理论分析已经完了,接下来让我们看下常见的电容。

1
- 直插电容(Leaded capacitor)
几乎所以电容都可以做成直插式,包括:电解电容,陶瓷电容,超级电容器,薄膜电容器,银云母电容器,玻璃和其他专业类型电容器。直插电容一般有两条腿,体积比贴片式的大,表面有数字字母等标识。
直插电容的机械、温度等可靠性要优于贴片电容,比如机械振动大的场合尽量用直插电容。
但是直插电容生产安装焊接调试拆卸等比较复杂,体积较大,而且引线会带来寄生电感影响高频性能,比如射频小型化领域基本都是用的表贴式的。


1

2
- 贴片电容(Surface mount capacitor)
贴片电容的相对于直插电容更加受限,因为贴片电容没有引脚的缘故,在焊接过程中焊锡的高温会直接加在电容上,因此并不是所有的电容都适合做成贴片式的。
常见的贴片电容包括:陶瓷电容、钽(tan)电容和电解电容。陶瓷电容上面没有印字,钽电容和电解电容上面都有印字,包括正极(有横杠一边)指示、容量、耐压值和温度等信息。
贴片电容生产简单、成本低,并且焊接的时候使用SMT(Surface mount technology),用回流焊,效率高,直插式的需要用波峰焊成本高。


3
- PCB寄生电容(Capacitor Parasitic)
PCB的结构跟平板电容器(

:介质的相对介电常数)很像,有两个极板,中间填充介质。因不同的介质的介电常数不一样对应的电容不一样,因此有不同板材。我们平时最常用的板材是FR4,

为4.4,属于低频板。高频板比较有名的是罗杰斯4350B板材,

为3.66。
因为PCB上存在寄生电容,频率越高损耗越大,因此PCB走线(微带线)可等效为一个低通模型。关于PCB的频率和阻抗特性,以后会详细介绍。

好了接下来让我们看下详细的电容分类
不同的介质对电容的影响很大,因此电容主要按介质分类:有陶瓷电容、电解质电容、薄膜电容。
1
陶瓷电容(Ceramic capacitor)
陶瓷电容分为两类:多层陶瓷电容和圆片瓷介电容。
目前用的最多的就是多层陶瓷电容MLCC( multilayer ceramic capacitor ),电容器跟PCB的寄生电容不一样,电容器希望在更小的体积内做出大容量电容,因此出现了MLCC电容器,大致结构如下图所示

通过多层的结构增大电容量,总的电容量

。
目前日本村田(muRata)可以做到封装是008004的体积上容量10nf,我们平时人工焊常用的0805封装是它的125倍,人头发的直径在0.1mm左右,而它的宽只有0.125mm,跟头发丝差不多,可以想象下它多小了。


外界环境对电容内电介质(Dielectrics)的影响很大,因此电子工业联盟EIA(Electronics Industries Alliance)按照电介质的稳定性把MLCC陶瓷电容按照温度等级分类,ClassⅠ是超稳定型的,对电压、温度、频率和时间都表现出优良的特性。
ClassⅠ中最有名的就是C0G,在无源电子行业把C0G叫做NP0(Negative Positive Zero)就是正负温度系数为0。这些类型的电容器电容比较小,通常不超过1nF(村田现在可以做到100nF),主要用于谐振电路和滤波,频率可以达到10MHz至30GHz之间。

ClassⅠ电容的编码(code)
村田C0G电容:GRM31C5C2A104JA01,随频率温度电压变化图。


ClassⅡ、ClassⅢ是大容量型的。虽然ClassⅠ很稳定,但是容量太小,对于噪声在1-40 MHz的旁路和电源去耦,则需要大容量的电容。ClassⅡ、ClassⅢ多层电容器(MLCC)的电容值在1nF至100μF的范围内。
第二类电容中用的最多就是X7R,工作温度在-55到125

之间,±15%的精度,能胜任绝大多数场合。

ClassⅡ和Ⅲ电容的编码(code)
村田X7R电容:GRJ55DR73A104KWJ1,随频率温度电压变化图。



电容随时间的漂移
多层陶瓷电容器MLCC(Multilayer ceramic capacitor)

独石电容(Monolithic ceramiccapacitor)
独石电容其实就是带引脚的MLCC,国外叫做leaded-MLCC,因为有引线的缘故,独石电容一般比同种类型贴片MLCC频率低一点,但是可靠性比贴片电容高。

圆片瓷介电容(Disc ceramic capacitors)
圆片瓷介电容也叫做瓷片电容,外形呈圆盘状,跟MLCC不一样的是它里面只有一层介质和一对电极,因此其容量比MLCC要小(小于0.1uF),耐压值可以做到kV,适合做高压电容。


2
电解质电容器(Electrolytic capacitor
电解质电器包括两大类,一种是内部是电解液的液态电解电容器(Liquidelectrolyte capacitor),还有一种是固态的聚合物或者高分子的固态电解电容器(Solidelectrolyte capacitor)。
铝电解质电容(Aluminum Electrolytic Capacitor)
铝电解电容器由两块铝箔和浸入电解液的纸质隔片制成。两个铝箔之一覆盖有一层氧化物层,该铝箔充当阳极,而未镀膜的铝箔充当阴极。


聚合物铝电解电容(Polymer aluminum electrolytic capacitor)
村田制作所“ECAS系列”聚合物铝电解电容器通过以多层铝箔结构为阳极、固体导电聚合物为阴极实现低ESR、低阻抗和高静电容量。 ECAS系列具有无偏压特性和稳定的温度特性,在纹波吸收、滤波和瞬态响应方面具有优异性能,堪称各类应用的理想之选。
因此,该系列产品适用于各种供电电路的输入输出电流的滤波,并当CPU周边设备的负载变化超出范围时作为备用装置使用。该系列产品有助于减少元件数量、节省基板空间。


钽电容(Tantalum capacitor)
钽电容器是电解电容器的一种。它们由充当阳极的钽金属制成,并被一层充当电介质的氧化物覆盖,并且被导电阴极包围。钽的使用允许非常薄的介电层,因此钽电容允许在同等体积下做出高容量的电容。
下图是聚合物钽电容的结构图,固态钽电容跟聚合物钽电容结构差不多,不同的是阴极把导电聚合物换成MnO2。

固体电解电容器具有工作温度范围宽,结构紧凑,ESR低和抗纹波电流高的优点,但唯一的缺点是工作电压低于35V。
液体电解质通过离子传导作为电荷转移,固体电解电容器利用电子传导进行电荷转移,因此电导率比铝电解电容器高4或5位数,等效串联电阻ESR更小。适合在需要在快速响应或抗纹波电流能力强的设备中使用。
3
薄膜电容(Film capacitor)
薄膜电容器是一种使用塑料薄膜作为电介质的电容器。它们相对便宜,随时间稳定并且具有低自感和ESR,薄膜电容器可以承受较大的无功功率,体型较大,常用于电力电子行业。
薄膜电容大致分为两类:金属箔薄膜电容(Film/Foil)和金属化薄膜电容(Metallized Film)
金属化薄膜电容具有自我修复的功能,失效的状态是开路,而陶瓷电容和电解质电容都是短路,因此金属化薄膜电容安全性能非常高。

CBB电容


到这里已经把常见的电容讲解完了,这里做个总结:
- 陶瓷电容:可以把温度电压和频率特性做的很好,但是没法做成大容量的。
- 电解电容:可以做成高容量,但是频率比较低,而且有极性,没法处理有极性的信号。
- 薄膜电容:性能堪比NP0,无极性,容量也很大,高耐压,大功率,而且失效状态是开路安全可靠,不会出现短路烧毁爆炸等现象。缺点就是体积太大。(不过现在薄膜电容也开始出现贴片封装的了)

延伸阅读
实际应用的电容都存在电感电阻等非理想特性,简单的等效模型如下图所示

总阻抗:因为并联的电阻很小,可以忽略不计,因此总的阻抗可以表示为:

这里 Z是总的阻抗

是串联等效电阻
Xc是容抗:


是感抗:


损耗因子DF(Dissipation Factor):也叫做损耗角正切,是交流应用下电容器损耗的量度。它是等效串联电阻与电容电抗的比率,通常以百分比表示。上面的矢量图说明了DF,ESR和阻抗之间的关系。损耗因子的倒数称为“ Q”或品质因数。为方便起见,“ Q”因子通常在损耗因子特别小的时候才用。
电容分类:

02
PART
做什么
1
滤波电容
电容作为滤波功能使用是电容的一项重要特性。滤波功能利用的是电容的阻抗随频率变化的特性(前面说过电容是一个跟电阻差了90度并且随着频率变化的器件),再利用电阻篇讲的分压原理,就可以构成简单的无源RC滤波器了。滤波指的是滤出不需要频率的波形,滤波器的类型有低通、高通、带通、带阻。
举个例子:
设计一个频率为1Kz的一阶低无源低通RC滤波器。
先确定滤波器的形状和电容的大小,然后再求出电阻的值。
首先电容不可能是串联在电路中,如果串联在电路中那么直流没法通过,那么就不是低通滤波器了。因此确定了如图所示的分压模式。
电容的选取,有很多讲究。需要要根据输入输出阻抗,滤波器要求的精度,频率大小,现有电容器种类等选择。这里先选择一个100nF的电容,因为高精度的电容容值都不大,并且1Kz频率下100nF电容的阻抗约等于1.59K,那么对应的电阻R1也在1k左右,电阻在1K-10K之间是工程师最常用的,因为阻值在这个范围电阻的功耗不大,并且热噪声也相对较小(电阻越大热噪声越大)。
因此先确定电容为100nF。那么可能有人会问,为什么不先确定电阻,再选电容呢?这就要考虑实际情况了,因为电阻的种类比电容多很多,选取相对容易,因此这里要先定电容,再根据电容的阻抗选取电阻。

接下来让我们分压公式,来计算这个滤波器输入输出关系

滤波器通带的-3dB截止频率为

根据复数的模值计算方法

通过公式可以看出一阶无源RC滤波器-3dB截止点,只需要

也可以通过复平面的方法直观描述,如下图所示:

1+jwC的复平面表示
通过复平面可以看到

模值随着w增加而增加,而

则减。上面已经求得,在滤波器通带截止的时候输出输入的关系是

,那么通过复平面很容易发现,当wRC=1的时候,模式为

,并且通过图形可以直观看出相位差了-45度。
把

带入仿真软件Multisim中,观察器幅频和相频特性。


仿真的幅频和相频特性跟理论分析一致。
滤波器的分析是利用电容阻抗分压原理进行计算的。电容的测量也可以利用与已知电阻,阻抗分压原理计算。
如下图所示,R1是已知电阻为1.59k,输入信号为Vi,通过测量输出信号Vo求未知电容C1的值。

这里抛出一个问题:如果测量的电压Vo刚好是总电压Vi的一半,那么电容的阻抗刚好等于R1吗?(我们知道如果C1是电阻的话,可得测试待测电阻大小就为R1)在之后的RLC测量篇中我会详细介绍。
2
隔直电容
隔直电容严格的讲归类在滤波电容里面,只不过隔直电容太过重要且常用,因此单独拿出来讲解。
隔直电容利用的是电容阻直流通交流的性质。
在工程应用或者竞赛中,经常会要求输出正负对称无直流分量的波形,因为直流不仅不携带信息(直流也可以携带信息,但相对于交流携带信息太少),而且还会增加系统的功耗或者导致系统饱和。
举个例子:
我们用的DA芯片基本都是单极性的,只能输出正值0V以上的波形,那么怎么变成正负对称的呢?全部是单电源的系统怎么输出双极性的波形呢?
如下图所示,选择一个合适的隔值电容C1串连在系统中,就可以解决这些问题。
通常隔直电容容值都比较大,那么到底有没有一个明确的选择标准呢?当然还是有的,隔直电容需要根据频率和负载电阻来选择。如果你仔细观察的话,隔直电容和负载电阻其实还是构成了一个分压网络,可以归类到高通滤波器。在滤波电容那里我们得到一个结论就是当电阻的阻抗等于电容的阻抗的时候,刚好在通带的截止频率处,此时

,我们这里只是想把直流分量去掉,对交流分量不作衰减,因此需要让电容的阻抗远小于电阻的阻抗,这样交流信号在负载电阻上分到的电压就远大于电容上的电压,即需要的交流电压全部加在负载上,此时交流分量

。


知道了怎么利用电容把非对称的波形变成对称的了之后,反过来怎么给对称的波形,加一个直流分量呢?

这里的电容C1也叫做耦合电容,当频率高的时候隔离电阻可以换成电感,这样效果更好。想让偏执电压受控的话,可以把这电源VDC换成DA,或者接一个电位器手动调节。这里还利用到直流通路和交流通路的概念,以后会详细讲解。

3
去耦电容
去耦和旁路可以算成一类,都是利用电容把高频噪声导入GND,是电容中应用最广的一类。
去耦电容常用在芯片电源管脚处,距离管脚越近越好,一般是用容值一大一小的两个电容,并且电容要放在电流的入口处,小电容在里面,大电容在外边。小电容滤高频,大电容滤低频。去耦电容一般选取0.1uF和10uF。
电源的干净程度(噪声多少)决定了整个系统性能的优良程度,电源噪声一部分是电源自身产生的,比如开关电源的开关噪声,还有很大一部分是芯片工作的时候产生的耦合到电源上,比如数字芯片,会按照固定的Clock运行,门级开关的导通与断开或者大功率器件的按照一定时序工作,都会让电源产生一定程度的波动。为了不让产生的这些噪声,影响到别的器件正常工作,或者影响到自身的正常工作,需要在芯片电源管脚处加电容进行去耦。
关于电源去耦还有很多知识,在电感和EMI的文章中以后将会详细介绍。

这里在稍微讲解下为什么是小电容滤高频,大电容滤低频。
大家有没有很好奇大电容滤低频可以理解,那么为什么大电容不能滤高频呢,不是电容越大频率越高,阻抗就越小,滤波效果就越好吗?那电源去耦那里直接用一个大容量又便宜的电解电容不就解决了吗?为什么一般的芯片管脚都用两个一大一小的电容甚至有些射频芯片还用4个呢?
通过下面的这张不同容值的电容阻抗随频率变化的图就可以看出了,前面在延伸阅读那里有提到,实际的电容模型,存在串联电感,因此阻抗不会随着频率升高一直下降,存在一个谐振点,过了谐振点电容器整体呈感性,随着频率升高阻抗变大。
电容越大串联电感就越大,谐振频率就越低,导致大容量的电容在高频的时候还没小电容阻抗低,也就是大电容在高频滤波效果不如小电容。

4
储能电容
储能电容一种是用在电源入口出,或者大功率器件旁边,为了减少因为功率器件突然工作产生时,电源响应速度不够,而带来电压波动。
还有一种是在开关电源中和电感一起作为储能元件使用。
可以把稳压电源想象成为如下的一种情形:当试图从一个直径较大的自来水管中取出连续不断的且较小的水流时,可以采用两种策略:一种是使用一个转接阀门,并将阀门开启在较小位置,这就是线性电源的工作原理(可以将阀门看作晶体管)。
线性电源的电压调整晶体管上承受着很大的“压力”(具体的表现是转换为热能的形式散耗);或者,可以改进一下,让大水管的水流到一个比较大的“水桶”里,小水管连接到这个水桶上取水,接着,需要做的就是断续的打开/关闭大水管上的阀门,保证水桶内的水既不会完全没有,也不会因为太多而溢出——开关电源的基本原理就是如此。
这里的电容和电感储存能量就是充当“水桶”的概念,负载RLoad在电容电感上获取能量。

Buck电路(降压)

Boost电路(升压)
5
谐振电容
谐振电容与电感一起组成LC谐振电路,有时候也叫做LC震荡电路。包括LC串联谐振和LC并联谐振。谐振电路广泛应用在滤波、选频、调谐等电路。谐振电路以后会详细介绍。
03
PART
买什么
如何选取电容很大程度上取决于电容的用途。因为设计时要寻求成本和性能的最佳平衡,所以必须考虑所用场合,例如:隔直耦合和旁路选择低精度的电容,因为这三种用途对容值变化不敏感。滤波、谐振之类的则需要用高精度的电容,电源设计需要高功率,高耐压的电容。
下面介绍说下我在工程上常用的电容:
跟电阻一样这里推荐使用购买全系类的电容样品本,里面是NP0和XR7系列的贴片MLCC。性能优良,但是缺点就是机械性能不好,容易断裂,不能长时间焊接,温度也不能太高,反复焊接电极容易脱落。在做PCB高频小型化的时候建议使用。
还有购买系列的独石电容,机械性能很好,建议做高精度滤波器的时候使用独石电容(NP0和X7R)。尤其是在洞洞板(万用板)上焊接的时候,如果你使用贴片电容,你会发现焊好的滤波器摔下就坏了,所以建议在洞洞板上焊接滤波器,使用独石电容。
电解电容价格便宜容量大耐压高,在电源去耦和储能上使用。
钽电容体积小容量大速度快ESR小,在高精度电源系统和小型化场合使用。
CBB电容主要是功率、耐压值和ESR优良,做开关电源和大功率场合使用。


这里在给出一个大致的选型表。


完
写在最后:
给大家的建议是:如果不知道如何选型可以去muRata,AVX、三星、国巨、风华高科等官网查阅详细资料。
如果文章有任何错误或者有任何疑问,欢迎在公众号中给我发消息,看到我会及时回复。
本文转载自《小海的电子专柜》