
▲ 图 电力电缆截面图
一、电缆额定电压值

.
二、电缆型号及名称
命名原则是:型号 定额电压 导体芯数及截面 标准编号
如:YJLW02 64/110 1×630 GB/T 1101.2-2002
型号 定额电压 导体芯数及截面 标准编号
型号表示的主要如下表:

.
三、电缆导体及截面
电缆导体采用高电导系数的金属铜或铝制造。铜的电导率大,机械强度高,易于进行压延、拉丝和焊接等加工。铜是电缆导体最常用的材料。

.
电缆导体最小截面的选择,应同时满足载流量和通过系统最大短路电流时热稳定的要求。
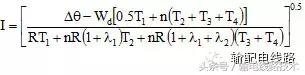
载流量计算:在给定了温度(40℃)、导体允许温度(90℃) 、电缆结构、敷设方式时的电缆容许载流量,可参JB/T 10181 计算得到,也可以参考IEC相关标准。计算公式如下:

.
四、电缆绝缘:
高压电力电缆目前应用较多的绝缘类型主要有交联聚乙烯绝缘和充油电缆。
交联聚乙烯电缆具有优良的电气性能和机械性能,施工方便,是目前最主要的电缆品种,可推荐优先选用。
充油电缆的制造和运行经验丰富,电气性能优良,可靠性也高,但需要供油系统。对于220kV及以上电压等级,经与交联电缆做技术经济比较后认为合适时仍可选用充油电缆。

.
五、 导体屏蔽、绝缘屏蔽
在电缆结构上的所谓“屏蔽”,实质上是一种改善电场分布的措施。
电缆导体由多根导线绞合而成,它与绝缘层之间易形成气隙,导体表面不光滑,会造成电场集中。在导体表面加一层半导电材料的屏蔽层,它与被屏蔽的导体等电位,并与绝缘层良好接触,从而避免在导体与绝缘层之间发生局部放电。这一层屏蔽,又称为内屏蔽层。
在绝缘表面和护套接触处,也可能存在间隙,电缆弯曲时,油纸电缆绝缘表面易造成裂纹,这些都是引起局部放电的因素。在绝缘层表面加一层半导电材料的屏蔽层,它与被屏蔽的绝缘层有良好接触,与金属护套等电位,从而避免绝缘层与护套之间发生局部放电。

.
六、金属护套
电缆金属护套一般采用铅和铝,其作用在于保护电缆绝缘在敷设、运行过程中,免受机械损伤和各种环境因素如水、日光、生物、火灾等引起的破坏,以保证电缆长期稳定的电气性能。
是接地故障短路电流流回系统中性点的有效通道,所以还应满足热稳定要求。

.
七、电缆外护层
电缆外护层是保护电缆免受机械损伤和腐蚀的保护覆盖层。其作用是防止铠装层和金属护套遭受化学腐蚀,绝缘和防火的作用也十分重要,一般为非金属材料聚合物。 PVC外护套和PE外护套是最常用的两种非金属外护套。

.