距离咱们一级消防工程师考试只剩68天了,相信最近最近大家也在紧张的备考状态,为了方便大家更好的复习,提高学习效率,小编今天给大家分享的是消防工程师计算题公式汇总,消防考试的数学计算公式,包括常考的泄压面积、灭火器数量的计算等,所以大家在记忆的同时也要多做题练习,理论联系实际才能更好的理解呢,一起接着看
01 百人宽度指标
百人宽度指标是每百人在允许疏散的时间内,以单股人流形式疏散所需的疏散宽度。

一般,一二级耐火建筑的疏散时间控制为2min,三级耐火等级建筑疏散时间控制为1.5min,根据上述公式,可以计算出不同建筑每百人所需宽度。
影响安全出口的因素有很多,如建筑物的耐火等级与层数、使用人数、允许疏散时间、疏散路线是平地还是阶梯等。防火规范中规定的百人宽度指标是通过计算、调整得出的。
02 泄压面积计算
爆炸能够在瞬间释放出大量气体和热量,使室内形成很高的压力。为了防止建筑物的承重构件因强大的爆炸力遭到破坏,将一定面积的建筑构、配件做成薄弱的泄压设施,其面积称为泄压面积。
计算公式:
C——厂房容积为1000m³时的泄压比(m²/m³),其值考试中一般会告诉大家。
计算步骤:
(1)计算长径比,长径比为建筑平面几何外形尺寸中的最长尺寸与其横截面周长的积和4.0倍的该建筑横截面积之比。
长径比=L×[(W+H)×2]/(4×W×H)。
(2)如果长径比>3时,宜划分为长径比≤3的计算段;分段方法↓↓↓
0<长径比≤3,不需要分段计算;
3<长径比≤6,需要分两段计算;
6<长径比≤9分三段计算;以此类推(但如果真的分三段之后还是大于3,直接就按照公式直接求泄压面积即可)
(3)代入公式计算泄压面积。
03 水雾喷头布置要求
基本原则:
保护对象的水雾喷头数量应根据设计喷雾强度、保护面积和水雾喷头特性,按水雾喷头流量计算公式和保护对象水雾喷头数量计算公式计算确定;
应使水雾直接喷射和完全覆盖保护对象,如不能满足要求,应增加水雾喷头的数量;水雾喷头和保护对象之间的距离不得大于水雾喷头的有效射程;水雾喷头、管道与电气设备带电部分的安全净距离应符合国家有关标准规定。

式中:
q——水雾喷头的流量(L/min);
P——水雾喷头的工作压力(MPa);
K——水雾喷头的流量系数,其值由喷头制造商提供。

式中:
N——保护对象的水雾喷头的计算数量;
S——保护对象的保护面积(m²)
W——保护对象的设计喷雾强度[L/(min*m²)
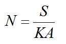
04 点型感烟、感温火灾探测器的设置数量
①探测区域的每个房间应至少设置一只火灾探测器
②一个探测区域内所需设置的探测器数量,不应小于下列公式的计算值,即:

式中:
N——探测器数量(只),N应取整数
S——该探测区域面积(m³)
A——探测器的保护面积(²)
K——修正系数,容纳人数超过10000人的公共场所宜取0.7~0.8;容纳人数为2000~10000人的公共场所宜取0.8~0.9,容纳人数为500~2000人的公共场所宜取0.9~1.0,其他场所可取1.0。
05 灭火器的配置
(1)计算单元的最小需配灭火级别的计算
Q——计算单元的最小需配灭火级别,A或B;
S——计算单元的保护面积,m²;
U——A 类或 B 类火灾场所单位灭火级别最大保护面积,m²/A或m²/B
K——修正系数
注:灭火系统包括自喷系统、水喷雾、气体灭火系统等,但不包括水幕系统。
歌舞娱乐放映游艺场所、网吧、商场、寺庙以及地下场所等的计算单元的最小需配灭火级别应按下式计算:Q=1.3K(S/U)
(2)计算单元中每个灭火器设置点的最小需配灭火级别计算

式中:
Qe——计算单元中每个灭火器设置点的最小需配灭火级别(A或B)
N——计算单元中的灭火器设置点数(个)
(3)灭火器设置点的确定
应根据灭火器的最大保护距离确定,并应保证最不利点至少能得到1具灭火器的保护,不应出现任何未受保护的空白区。(考试一般不需要计算灭火器设置点,题目中会直接给出)
06 消防水池容积
计算公式:
有效容积为:Va=(Qp-Qb)t
式中:
Va——消防水池的有效容积(m³);
Qp——消火栓、自喷等自动灭火系统的设计流量(m³/h);
Qb——补充流量(m³/h);
t——火灾延续时间(h)。
计算步骤:
(1)根据建筑类别和火灾危险性,确定消火栓火灾延续时间(参考水规表3.6.2);自动喷水灭火系统火灾延续时间为1h;补水时间取最大值。
(2)根据建筑类别和规模,确定室外消火栓和室内消火栓的设计流量。(参考水规表3.3.2和3.5.2,考试一般会给)
(3)注意计算出的消防水池容积与规定值要进行比较,不应小于100m³,仅有消火栓系统时不应小于50m³。