jfe期刊怎么样 (jfe最新论文)

编译|康瑜欣 编辑|Via

在众多关于中国股票市场的研究中,研究者们均直接沿用Fama and French(1993)为研究美国市场而构建的三因子模型,但这一框架是否在中国市场中具有同样的解释力与实操性却没有得到合适的证据支撑。

来自宾夕法尼亚大学的刘佳楠、Robert F. Stambaugh和上海鸣石投资管理有限公司的袁宇于2019年10月在金融学国际期刊 《Journal of Financial Economics》 发表论文“Size and value in China”。

由于交易限制与市场背景等因素,中国股市与世界上其他资本市场之间存在明显的不同。

在Fama-French三因子模型中,若要证明一个新的潜在异象能够解释截面预期收益率差异,则须说明它的α不能被 MKT、SMB 和HML因子所解释。此前的研究指出,由于中国市场特有的 IPO 监管造成的壳价值问题,使得这些主流因子在资产定价时的效果被破坏,并将该现象称为壳价值污染(shell-value contamination)。

因此,文章针对中国股票市场“量身定制”了经典三因子模型中的规模和价值因子。为排除小规模上市企业中,由于IPO限制等制度因素而存在的“壳企业”的影响,文章在构造规模因子时排除了A股市场中市值最小的30%的企业;

在构造价值因子的过程中,文章选用市盈率(PE)作为价值指标,结果显示,这一指标下的因子相较FF-3因子模型中的账面市值比对中国股市具有更高的解释性。实证结果显示,文章所提出的三因子模型CH-3相较FF-3能更好地分析中国股票收益率。

文章投稿于2018年7月,2018年8月被接收,2019年10月正式刊出。

相关阅读

1. 国际金融顶刊JFE最新研究:中国股市的真实价值

2. 中国学者JF发表引用最高的论文,引发股票研究“异质波动率之谜”!

>>>>

作者简介

jfe期刊怎么样,jfe最新论文

刘佳楠

宾夕法尼亚大学沃顿商学院

jfe期刊怎么样,jfe最新论文

Robert F. Stambaugh

宾夕法尼亚大学沃顿商学院

jfe期刊怎么样,jfe最新论文

袁宇

上海鸣石投资有限公司

01

研究数据与样本

作者在Wind数据库中选取了2000年1月1日至2016年12月31日中国A股上市公司的数据为样本,其包括收益率、交易信息、财务情况、合并与收购情况等个股数据。

中国股市始于1990年,但为保证结果稳健,作者选取了2000年以后的数据,主要有以下两点原因:

1. 由于统一规范的会计财务报告准则在1999年才大规模正式实行,2000年之前的会计制度尚不完善,上市公司的财务数据准确性不高;

2. 样本数据数据量,作者首先剔除了规模排序最小30%的企业(详细理由见下一节),并且要求企业上市至少6个月,同时,每年至少存在120个交易日以及每月15个交易日。

02

规模因子——小规模公司与IPO限制

在研究中国股市的规模效应之前,作者从企业上市制度的角度,阐述了传统三因子模型(FF-3)中直接进行规模排序、分组、构造因子的方法可能被“污染”,由于进行本研究时中国仍然实行证券发行核准制,行政干预在其中实质性充当了赋予证券发行权的机构,而非市场决定。这就导致在核准制下,我国企业IPO上市的进程相对严格与缓慢。

中国首次公开募股(IPO)的审核时间一般在3年左右,且审核结果具有不确定性。由于在审核过程中,公司的任何变化都可能增加审核时间,公司不能进行任何形式的扩张。

因此,企业为规避这一繁杂的等待审核过程,通常会采用“借壳上市”这一途径。简单来说,未上市的企业通过收购、资产置换等方式取得已上市企业的控股权,这家未上市企业以上市企业增发股票的方式进行融资,从而实现上市的目的。

而被收购的上市公司,通常是小规模的上市公司。这一行为无形中给这些“壳”企业赋予了一层“壳价值”,即由于被“借壳上市”而蕴含的价值。这样的现象会扭曲小规模企业的真实价值,从而对规模因子的构建造成“污染”。

下图展示了中国反向收购(借壳上市)行为中被收购企业的规模分布直方图,其中,被收购企业中的83%来自于规模最小的30%的上市企业(1/2/3 Size decile),超过50%的反向收购甚至来自于规模最小的10%的上市企业(1 Size decile)。因此,为了避免“壳价值”对规模影子构造带来的影响,作者从所有股票中剔除了规模最小的30%的企业(占总股市的7%)。

jfe期刊怎么样,jfe最新论文

03

价值因子

价值效应,是指企业股票未来收益与企业以财务水平为基础的价值测度之间的关系。本文构造价值因子的方法遵循了Fama and French(1992,1993)的两阶段方法。

第一阶段,选出合适的价值评估指标。在Fama and French(1992)的研究中,研究者对比了市盈率、账面市值比、资产市值比三种指标的价值效应,发现账面市值比能带来最强烈的价值效应,因此在Fama and French(1993)中,研究者以账面市值比作为基础,构造了经典的价值因子(HML)。

综上,作者在本文中同样考虑多种价值指标:市盈率、账面市值比、资产市值比与现金流股价比。具体地,作者以收益率作为被解释变量,各价值指标作为核心解释变量进行了Fama-MacBeth回归。回归结果如下表所示。

jfe期刊怎么样,jfe最新论文

(4)-(7)列展示了各价值指标单个进入回归的估计结果。

首先,4个价值指标都展现出对回报率显著的解释力;其次,当四个指标同时进入回归时((8)列),市盈率占主导位置。

所以总体来说,市盈率能产生的价值效应在多种价值指标中居于主导地位,因此在本文中的三因子模型的构建中,将会以市盈率作为价值效应的来源进行分析。

04

基于中国实际情况提出的三因子模型CH-3

在具体三因子模型CH-3的构造中,作者大体上遵循了Fama and French(1993)的程序。

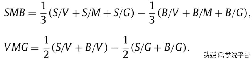
在剔除最小规模公司30%的股票后,作者分别根据规模中位数和市盈率进行了划分。

规模:小规模(S)与大规模(B)组;

市盈率:顶部30%(价值型V)、中部40%(中等型M)、底部30%(成长性G)

由此,作者得到6个规模-市盈率分组:S/V、S/M、S/G、B/V、B/M、B/G,并以此构造规模因子SMB,价值因子VMG:

jfe期刊怎么样,jfe最新论文

下表描述了所构造的规模因子与市场因子的描述性统计量(MKT为市场因子,构造过程为所有股票的价值加权平均值)。

jfe期刊怎么样,jfe最新论文

如表中所示,价值因子和规模因子的月平均值为1.03(t值为3.25)与1.14(t值为4.34),相比市场因子的0.66(t值为1.16),说明规模与价值效应主导了样本期内中国股市的溢价情况。

随后,作者使用模型对平均回报与回报方差的预测性对模型的适用性进行检验。

jfe期刊怎么样,jfe最新论文

上表报告了三种不同设定下,不同因子组合模型对股票收益率的预测R2。其中:

Panel A:本文所构造的三因子模型CH-3对中国所有上市企业股票收益率的预测效果;

Panel B:CH-3模型对剔除了规模最小30%企业后剩余股票的预测效果;

Panel C:FF-3模型在同时期对美国股票市场的预测能力。

首先,在全部股票中,CH-3模型能够解释53.6%股票收益率变动,其中38.5%来自于市场因子,之间的差额15.1%由本文所构造的规模因子与价值因子解释。这一比率远高过美国市场下FF-3因子的解释程度9.6%(27.3%-17.7%)。

其次,表格中显示出最显著的差别在于市场因子的解释力,在中国股市中,市场因子能够解释38.5%的收益率变动,而在美国股市中这一解释力仅有17.7%。

最后,为了对比不同因子构造方法下的实际效果,作者使用中国股市数据构造了FF-3三因子模型,并将其与CH-3模型进行对比,结果如下表所示。

从α值来看,CH-3模型下,仅有-0.04与0.34,并且均不具备统计学显著意义。但FF-3模型下该值高达0.47与1.39,并且均在1%水平上显著。

另外,作者还对两种因子模型实行了Gibbons-Ross-Shanken(GRS)检验,以检验模型是否具有零α,检验结果与α估计结果都显示,CH-3模型的预测效果明显优于将FF-3直接套用在中国股市中。

jfe期刊怎么样,jfe最新论文

05

结论

规模和价值是中国股票市场的重要因素,两者的平均溢价每年都超过12%。然而,要想很好地捕捉这些因素,不能简单地复制以美国股市为基础开发的Fama and French(1993)因子模型。

与美国的小规模上市股票不同,中国严格的IPO限制导致中国规模最小的股票的回报率受到“壳价值”的严重影响。为了避免这种污染,在构建因子之前,文章剔除了规模最小的30%的股票,这些股票仅占市场总资本的7%。剔除这些股票后构造的因子比使用所有上市股票构建因子的表现要好得多。

此外,在美国股市中,账面市值比能更好地捕捉价值效应,Fama和French(1993)的价值因子也以BM指标作为基础。而在中国,市盈率则能更好地捕捉价值效应。

最终,本文通过上述方法构造了中国*市版股**本的三因子模型,CH-3。该模型从预测能力、α值等多个角度,都在中国股票市场中显著地优于FF-3模型,为我国股市下的因子模型构建提供了更为合适的框架。