
编者按
目前全球上市的HPV疫苗有二价、四价、九价三种,“价”代表了疫苗可预防的病毒种类。二价疫苗,可以预防由HPV16和HPV18型病毒感染。国际研究数据显示,超过70%的宫颈癌都是由这两种病毒引起的,二价疫苗是只适用于女性接种。四价是适用于九岁以上的男女接种,可以有效预防四种型号的HPV病毒,分别是6、11、16、18,可预防70%以上的宫颈癌和70%以上的尖锐湿疣。 九价疫苗也是适用于九岁以上的男女接种,可以预防的HPV病毒型号有九种,分别为:6、11、16、18、31、3、45、52及58这九种型号的病毒,可预防90%以上的尖锐湿疣和90%以上的宫颈癌,及其他相关的疾病。
宫颈癌疫苗,又称为HPV疫苗,是疫苗的一种,可以防止人乳头状瘤病毒(HPV)感染。医学界研究表明,99.7%的子宫颈癌都是由于HPV病毒导致的。国际上普遍认定,HPV疫苗对9-45岁的女性都有预防效果,如果女性能在首次*行为性**之前注射HPV疫苗,会降低90%的宫颈癌及癌前病变发生率。
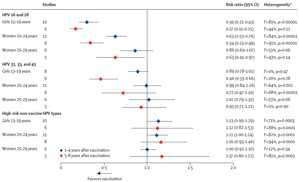
2019年6月26日,加拿大魁北克大学Mélanie Drolet等人在国际顶级医学期刊Lancet(IF=59)在线发表题为“Population-level impact and herd effects following the introduction of human papillomavirus vaccination programmes: updated systematic review and meta-analysis”的研究论文,这项更新的系统评价和荟萃分析包括来自6000万人和接种后8年的随访数据。研究结果显示,接种疫苗5- 8年后,13至19岁女孩中HPV 16和18的患病率显著下降了83%,20-24岁女性显著下降了66%;在13-19岁的女孩中,HPV 31,33和45的患病率显著下降了54%;肛门生殖器疣诊断在15-19岁女孩中显著下降67%,25-24岁的女性中显著下降54%,20-24岁的女性中显著下降了31%;在15-19岁男孩中,肛门生殖器疣诊断显著下降48%,20-24岁男性中显著下降32%。接种疫苗5-9年后,15-19岁筛查女孩的CIN2 +显著下降51%,20-24岁的女性中先准备下降31%。
总而言之,HPV疫苗接种计划对女孩和妇女的HPV感染,CIN2 +以及女孩,妇女,男孩和男人的肛门生殖器疣诊断产生了实质性影响。此外,具有多群体疫苗接种和高疫苗接种覆盖率的计划具有更大的直接影响和群体效应。

自2007年以来,已有99个国家和地区推出了人乳头瘤病毒(HPV)疫苗接种计划。2015年,进行了系统评价和荟萃分析,以检查HPV疫苗接种对现实世界人口水平的影响。荟萃分析显示,HPV疫苗接种4年后,HPV16和HPV18感染和肛门生殖器疣诊断显著减少了,并证明了男性和老年女性的群体效应。

接种前和接种后期间HPV感染流行率的变化
然而,在荟萃分析时,疫苗接种后的年数不足以检查HPV疫苗接种对宫颈上皮内瘤变2+(CIN2 +)的影响。此外,2016年,世卫组织免疫战略咨询专家组修订了其立场,建议对多个年龄组的女性进行HPV疫苗接种,而不是接种单个队列疫苗。

在使用四价疫苗的国家中,肛门前疣的变化在疫苗接种前和接种后时间之间进行诊断
自人乳头瘤病毒(HPV)疫苗接种实施以来已经过去了10多年。该研究对女孩和妇女接种人乳头瘤病毒对HPV感染,肛门生殖器疣诊断和宫颈上皮内瘤变2+(CIN2 +)的人群水平影响进行了系统评价和荟萃分析,总结了最新的有效性证据。

在使用四价疫苗的国家引入仅限女孩的人乳头瘤病毒疫苗后8年内肛门生殖器疣的诊断变化
该系统评价和荟萃分析确定了1702篇可能符合条件的文章,其中包括14个高收入国家的65篇文章:HPV感染23篇,肛门生殖器疣29篇,CIN2 + 13篇。接种疫苗5- 8年后,13至19岁女孩中HPV 16和18的患病率显著下降了83%,20-24岁女性显著下降了66%;在13-19岁的女孩中,HPV 31,33和45的患病率显著下降了54%;肛门生殖器疣诊断在15-19岁女孩中显著下降67%,25-24岁的女性中显著下降54%,20-24岁的女性中显著下降了31%;在15-19岁男孩中,肛门生殖器疣诊断显著下降48%,20-24岁男性中显著下降32%。接种疫苗5-9年后,15-19岁筛查女孩的CIN2 +显著下降51%,20-24岁的女性中先准备下降31%。

疫苗接种前和接种后期间筛查的女孩和妇女中CIN2 +的变化
总而言之,HPV疫苗接种计划对女孩和妇女的HPV感染,CIN2 +以及女孩,妇女,男孩和男人的肛门生殖器疣诊断产生了实质性影响。此外,具有多群体疫苗接种和高疫苗接种覆盖率的计划具有更大的直接影响和群体效应。
参考信息:
https://www.thelancet.com/journals/lancet/article/PIIS0140-6736(19)30298-3/fulltext#