目前,市场处于“在犹豫中上涨”阶段。
一些人对后市乐观,认为牛市最肥美的主升浪即将到来。
一些人比较谨慎,认为国庆前的维稳行情,很有可能在9月下旬就要结束。
我就属于第一类人,我还是坚定认为:这轮行情至少会持续到十一。甚至,有可能跨越到明年。
从资金面看, 9月6日,央行全面下调存款准备金率0.5个百分点,政策在持续加码;欧央行9月12日,欧央行宣布降息0.5%,同时宣布重启QE。9月19日,美联储降息也是大概率事件。可见,全球流动性宽松趋势确立。
从情绪面看,贸易谈判达成协议的预期在改善。美国推迟了加征关税;中国也表态开始进口美国农产品,10月初将在华盛顿举行第十三轮中美经贸高级别磋商达成阶段性成果的可能性在增大。
从基本面看,随着一系列逆周期调节政策的加码,经济失速的可能性大大降低。我的判断是:全部A股归母净利同比增速可能会在三季度见底,ROE可能于四季度见底。
板块
1,券商
我周三重点说了券商股投资逻辑,周四就很给面子地大涨了。
今天再多说几句。
券商股有个特点,三年不开张,开张吃三年。一旦催化剂来了,往往在较短时间内有非常大的涨幅。
那么,券商股的催化剂是什么呢?
我们回顾历史,发现催化剂不外乎两种,一种流动性宽松;一种是鼓励创新。

而当前这两个条件都具备。
流动性方面:近期证金公司放开两融,央行全面降准,都有望迎来新增资金入市,从而提高交易活跃度。
业务创新方面:无论是增加两融标的,结售汇制度试点,还是更早的放开并购,发展科创板等,都将会大大增加券商的业务类型。说白了,就是给券商带来了更多的赚钱门路。
我个人比较喜欢两类券商股:
一类是政策支持力度大的龙头券商,比如中信,华泰等;
一类是PB低的弹性券商。比如,最近创下年内新高的海通证券在启动时pb只有0.8,如今翻了一倍也连1.6都不到。但要注意,不是pb越低,就涨的越好。
不少人喜欢买次新券商,如中信建投,红塔证券等等。
但是要注意,这些股票目前严重高估,只有投机价值,没有投资价值。
我把所有券商的pb再贴一下吧——

2、金融科技
每次只要券商涨,金融科技板块也会涨,甚至涨的更多。
2014-2015年,东方财富,同花顺,大智慧等几乎都是翻了十几倍。今年上半年,大智慧和同花顺也都涨了两三倍。
按照业务类型,一般可以把金融科技股分为四类:支付类,融资类,投资类(资产管理类),和金融it类。

金融科技股的涨跌和资本市场的新政策息息相关。
比如发布监管新规,会带来相关券商、银行IT系统的新需求,从而促进金融IT公司的业绩爆发。
如果市场产生牛市预期,东方财富,同花顺等资管类公司将会受益。
数字货币政策利好的是银行IT公司(技术改造),以及加密认证类企业。
我整理了A股上市的金融科技公司,供你参考:

3、科技
依然是最强风口。不过普涨行情已经过去,接下来将会有很多的结构性机会。
下周重点关注:
1)5G应用:2019年泛在电力物联网技术高峰即将于9月26日召开,关注5G下游应用的泛在电力物联网板块是否有表现。
2)继续关注芯片(设计,封测),5G(光模块,天线),消费电子,软件(网络安全)龙头。
4,石油
14日凌晨,10架无人机穿出夜空,用*弹炸**袭击了沙特国家石油公司(阿美石油公司)的两处石油设施,并引发了熊熊大火。
这两家工厂每天可加工845万桶原油,占沙特阿拉伯原油产量的绝大部分,而沙特的原油产量几乎占全球的十分之一。
滚滚的黑烟尚未散尽,沙特能源部长在沙特官方通讯社发表的一份声明中表示,袭击“导致Abqaiq和Khurais两个工厂暂时停产”。他同时补充道,这将导致近一半的石油产量被削减,减产幅度高达570万桶/日。
该事件可能会导致原油价格短期上涨。但是长期看,原油价格只跟全球经济有关。
所以,对石油上游,即勘探、油服板块等利好。不过,我认为行情可能也只是短期脉冲性的。好车上不了,能上非好车。参与的意义不大。
5、其他
汽车板块:四季度有望业绩反转叠加国家即将出台支持政策;
家电板块:受益于房地产竣工端加快。
新能源:光伏和风能的盈利已经开始修复或反转。
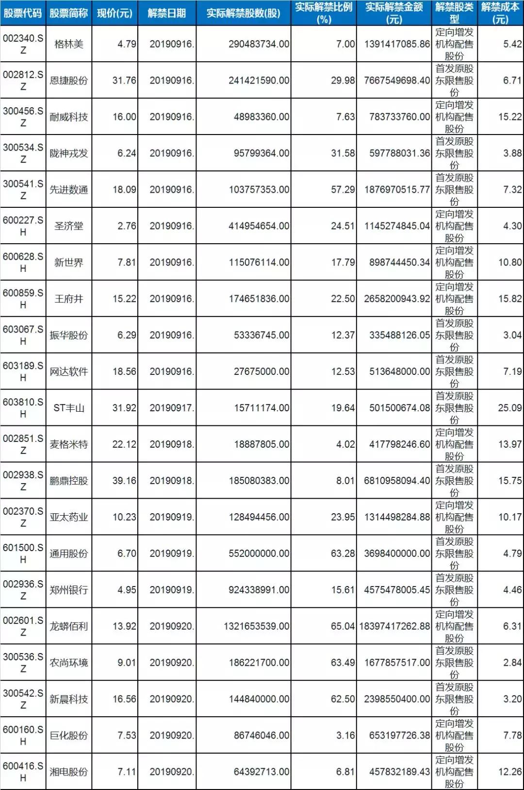
6,风险
下周共有20只个股解禁比例超过了5%, 其中通用股份解禁比例最大,龙蟒佰利解禁比例为187.33%,在所有定向增发限售股中解禁比例最大。
以下减持比例较大个股重点关注。

(此处已添加圈子卡片,请到*今条头日**客户端查看)
解读最新消息,分析板块投资逻辑,提示机会提醒风险,欢迎加入私募内刊圈子