
撰稿 | 鲍时华
图片来源于网络
子宫动脉血流测定能预测什么?
● 早孕/中孕期测定子宫动脉血流可以评估子宫-胎盘循环;晚孕期测定脐血流可以评估胎儿-胎盘循环。
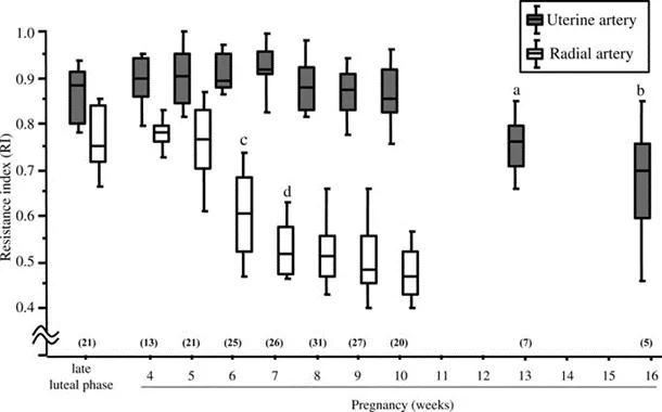
● 通常子宫放射动脉血流阻力要比子宫动脉血流阻力低,早孕期放射动脉血流阻力在孕5-7周开始迅速下降,并持续下降至孕10周。
● 子宫动脉血流阻力在从黄体期至孕10周左右下降缓慢,直到孕16周下降最为明显,这个过程中滋养层侵入螺旋动脉并逐步启动胎盘的发育。
● 所以妊娠期子宫动脉阻力值及舒张早期切迹,与其他因素相结合, 可用来预测滋养细胞侵蚀受损致子宫胎盘血流灌注异常所致的疾病,如妊高症、IUGR、早产、羊水减少等。

-- Tamura H, et al.Different changes in resistance index between uterine artery and uterine radial artery during early pregnancy. Human Reproduction. 2008.23:285–289
--Prefumo F, Sebire NJ, Thilaganathan B. Decreased endovascular trophoblast invasion in first trimester pregnancies with high-re-sistance uterine artery Doppler indices. Hum Reprod,2004,19(1):206-209.
--Taylor J,et al. Uterine Artery Pulsatility Index Assessment at <11 Weeks' Gestation: A Prospective Study. Fetal Diagn Ther. 2020;47(2):129-137.
目前针对复发流产患者孕早期的子宫动脉血流研究数据较少, 主要是因为很多自然流产发生在孕10周前,造成临床早孕期数据的缺失。
我们的小样本回顾性数据显示:对于合并易栓症、免疫性疾病的复发性流产患者子宫动脉血流异常风险增高,而且孕8周左右子宫动脉阻力增高,流产风险会有增高。
但这些结论需要进一步的大样本的研究来阐明这些观察结果的生物意义及其潜在的临床应用。


--林建华,梁阿娟,林其德等.正常妊娠和妊娠期高血压疾病孕妇子宫动脉及其胎儿脐动脉血流动态变化规律的多中心研究.中华妇产科杂志,2010.45:583-587
--Bao SH, Moy L, Hoch V, Ahmed H, Lee DH, Kwak-Kim J. Inflammatory immune responses and uterine artery blood flow in pregnancy women with recurrent pregnancy losses: Comparison of delivery and abortion groups. ASRM, 2014 Annual meeting.
--Bao SH, Moy L, Hoch V, Ahmed H, Small C, Lee DH, Kwak-Kim J. Uterine radial arterial resistance index and auto-immune abnormalities in women with recurrent pregnancy losses. Am J Reprod Immunol 2014, 71 (Supplement s1):34.(May 30)
--Bao SH, Chigirin N, Kwak-Kim. Uterine Radial Artery Resistance Index Predicts Reproductive Outcome in Women with Recurrent Pregnancy Losses and Thrombophilia Biomed Res Int. 2019 Jun 20;2019:8787010.
有专家认为: 子宫动脉血流频谱在妊娠早期可作为产前监测胎儿宫内生长和供氧情况的指标, 如能行产前子宫动脉大样本序贯性研究,并结合脐血流等多种血流检查,即可建立正常妊娠孕妇正常子宫动脉频谱及血流动力学参数值并推广应用。
同时通过横向比较,找到发现不良妊娠结局最简便有效的筛查项目或组合(Papp-A,PIGF,AT1-AA/TX,sFlt-1,sEng)等, 寻找简便有效经济实用的功能性筛查指标,为不良妊娠结局的早发现、早诊断、早预防提供另一有价值的诊疗手段。
--李晓菲,吴青青,王莉.妊娠早期子宫动脉血流频谱与妊娠结局的相关研究.中华医学超声杂志:电子版,2010,7(12):2174-2178.
关注@鲍时华大夫,将科普转发分享给更多的人~