从1900年之后,物理学从以经典力学、电磁理论、热力统计学为核心的经典物理学体系走进了以量子力学、相对论与规范场论为核心的现代物理学体系,那么现代物理学体系究竟讲了些什么,今天我们就来聊聊!
量子力学的诞生
到了 19世纪的时候,麦克斯韦的电磁理论已经被接受,这个时候大家就可以研究电磁波了,由此诞生了黑体,黑体则是属于热力学范畴,黑体是一个理想化了的物体,为了研究不依赖于物质具体物性的热辐射规律,物理学家以此作为热辐射研究的标准物体。它能够吸收外来的全部电磁辐射,并且不会有任何的反射与透射。换句话说,黑体对于任何波长的电磁波的吸收系数为1,透射系数为0。

而我们知道一切温度高于绝对零度的物体都能产生热辐射,温度愈高,辐射出的总能量就愈大,短波成分也愈多。
随着温度上升,黑体所辐射出来的电磁波则称为黑体辐射。

最著名的根据经典物理学体系来解释黑体辐射的是维恩位移定律,在一定温度下,绝对黑体的温度与辐射本领最大值相对应的波长λ的乘积为一常数,即λ(m)T=b(微米)。在公式中,b=0.002897m·K,称为维恩常量。

它表明,当绝对黑体的温度升高时,辐射本领的最大值向短波方向移动。维恩位移定律不仅与黑体辐射的实验曲线的短波部分相符合,而且对黑体辐射的整个能谱都符合,但是长波不行。

后来从瑞利——金斯公式推出,在短波区(紫外光区)随着波长的变短,辐射强度可以无止境地增加,这和实验数据相差十万八千里,是根本不可能的。这个失败后来被科学家埃伦菲斯特称为“紫外灾难”。
简单来说紫外灾难则指的是在经典统计理论中,能量均分定律预言黑体辐射的强度在紫外区域会发散至无穷大,这和事实严重违背。

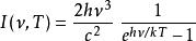
普朗克将维恩定律加以改良,又将玻尔兹曼公式重新诠释来解释黑体辐射现象,从而得到了改变物理世界的普朗克黑体公式。

简单来说,普朗克公式只有在假设能量在传播的过程中,不是连续不断的,不存在无限小的单位,而是必须被分成一段、一段的,能量传播必须有一个最小单位,这个完美的公式及黑体辐射的问题只有在使用这种假设才能被解释的通。

一旦这个假设成立,那么便意味着由伽利略、牛顿所建立的经典力学的根基就要被动摇,因为在经典力学中,时间、空间、能量都是连续不断的,可以无限被分割的,普朗克的这个假设就意味着经典力学的根本就是错误的。
1900 年 12 月 14 日,在德国物理学会上普朗克公布了其推算得来的普朗克黑体公式,普朗克得到的公式在全波段范围内都和实验结果符合得相当好。

而这一天,也将注定被载入史册,当普朗克在发表这一伟大成果的时候,就标志着量子论的诞生和新物理学革命宣告开始。
在普朗克量子论的基础上,玻尔领导的哥本哈根学派创建、发展并且完善了量子力学。

哥本哈根领导人玻尔和手下大将海森堡、泡利
哥本哈根诠释也成为了量子力学的正统解释。波恩的概率解释、海森堡的不确定性原理和玻尔的互补原理,三者共同构成了量子论“哥本哈根解释”的核心,哥本哈根诠释的三大核心原理,前两者摧毁了经典力学构建的严格因果性,互补原理和不确定原理又合力捣毁了世界的绝对客观性。量子力学构建了一个前所未有的世界,它与我们的常识相违背,与我们所看见的宏观世界格格不入。但是,它却能够解释量子世界一切不可思议的现象。

在一起互相研究交流的哥本哈根学派众人
而量子力学的核心方程则是薛定谔方程。它就好比是牛顿第二定律在经典力学中的位置。正是基于薛定谔方程的建立,之后才有了关于量子力学的诠释,波函数坍缩,量子纠缠,多重世界等等的激烈讨论。
可以说量子力学是一门庞大的学科,即使到了21世纪,依然有无数的科学家前赴后继地去为这座大厦添砖加瓦。
相对论的诞生
1687 年,牛顿发表了《自然哲学的数学原理》,标志着经典力学的建立,牛顿经典力学在很长时间里都成为了物理学家心中的圣经与权威。
牛顿的经典力学的核心是伽利略变换,伽利略变换是经典力学中用以在两个只以均速相对移动的参考系之间变换的方法,属于一种被动态变换。伽利略变换构建了经典力学的时空观。

伽利略变换认为,在同一参照系里,两个事件同时发生,在其他惯性系里,两个事件也一定同时发生,时间间隔的测量是绝对的,长度测量也具有绝对性,经典力学定律在任何惯性参考系中数学形式不变,换言之,所有惯性系都是等价的(相对性原理)。
所以我们才会说伽利略变换构建了经典力学中的绝对时空观,时间和空间均与参考系的运动状态无关、时间和空间是不相联系的,是绝对的。也就是说空间、时间与物体的运动状态无关!

而在牛顿的经典力学理论下,科学家普遍认为以太是传播光的媒介,引力甚至电、磁力是在以太中传播的,由此发展了“光以太”假说。
除此之外,物理学家将这种无处不在的“以太”看作绝对惯性系,其它参照系中测量到的光速是以太中光速与观察者所在参照系相对以太参照系的速度的矢量叠加。
举一个简单的例子,你在火车上跑,那么你的小伙伴看来,你的速度=火车的速度+你在车上的速度发现没有,在这个理论当中,速度是可以叠加的,但是如果你的小伙伴在一辆速度相同的火车上看你,那么你的速度就是你在车上奔跑的速度。

光速
所以其它参照系中测量到的光速是以太中光速与观察者所在参照系相对以太参照系的速度的矢量叠加。光速会随着参照系的不同,也变得不同,也就是说光速并非是固定的。
而这和麦克斯韦创立的电磁理论和经典力学也产生了矛盾。麦克斯韦建立的电动力学,有一个结果就是光速在不同惯性系是不变的,电光速是不需要相对于某个参考系而言的。在任何惯性参考系下,光速都是3×10^8m/s。

这个结果和经典力学的伽利略变换是相矛盾的。如果我们把伽利略变换应用于描述电磁现象的麦克斯韦方程组时,将发现它的形式不是不变的,也就是说光速不是一个固定的数值,即在伽利略变换下麦克斯韦方程组或电磁现象规律不满足相对性原理。
爱因斯坦洞察到解决这种不协调状况的关键是同时性的定义,爱因斯坦认为既然光速不变,作为静止参考系的以太就没有理由存在。于是抛弃静止参考系以太,(在经典物理学体系中,物理学家将这种无处不在的“以太”看作绝对惯性系,其它参照系中测量到的光速是以太中光速与观察者所在参照系相对以太参照系的速度的矢量叠加。)

1905年爱因斯坦发表的题为《论动体的电动力学》一文中以光速不变原理和狭义相对性原理为基本假设的基础上建立了一种区别于牛顿时空观的新的平直时空理论。这就是我们熟知的大名鼎鼎的狭义相对论。
狭义相对性原理:一切物理定律(除引力外的力学定律、电磁学定律以及其他相互作用的动力学定律)在所有惯性系中均有效;或者说,一切物理定律(除引力外)的方程式在洛伦兹变换下保持形式不变。不同时间进行的实验给出了同样的物理定律,这正是相对性原理的实验基础。
光速不变原理:光在真空中总是以确定的速度c传播,速度的大小同光源的运动状态无关。在真空中的各个方向上,光信号传播速度(即单向光速)的大小均相同(即光速各向同性);光速同光源的运动状态和观察者所处的惯性系无关。这个原理同经典力学不相容。有了这个原理,才能够准确地定义不同地点的同时性。

爱因斯坦基于事实的观察着眼于修改运动、时间、空间等基本概念,重新导出洛伦兹变换(洛伦兹变换是洛伦兹为了调和经典力学和电磁理论矛盾而提出来的,但是存在局限性),并赋予洛伦兹变换崭新的物理内容,来解释光速不变。爱因斯坦的洛仑兹变换是指纯数学的空间缩短,不再是组成量杆的带电粒子距离缩短。而且这种空间缩短不具有任何实质性的物理意义。
在狭义相对论中,洛伦兹变换是最基本的关系式,狭义相对论的运动学结论和时空性质,如同时性的相对性、长度收缩、时间延缓、速度变换公式、相对论多普勒效应等都可以从洛伦兹变换中直接得出。

根据光速不变原理,相对于任何惯性参考系,光速都具有相同的数值。在光速不变和相对性原理的基础上,
在狭义相对论中,空间和时间并不相互独立,而是一个统一的四维时空整体,不同惯性参照系之间的变换关系式与洛伦兹变换在数学表达式上是一致的。
所以说,伽利略变换明显成立的公式在物体以接近光速运动时、亦或者是电磁过程不会成立,这是相对论效应造成的。爱因斯坦的狭义相对论给经典力学和电磁场论都划分了各自适用的领域,一旦超过了这个范围,那么将不再适用。
简而言之,就是爱因斯坦在以光速不变原理和狭义相对性原理为基本假设的基础上,以洛伦兹变换为核心提出了狭义相对论,解决了经典力学的危机,并且提出了一种全新的时空观。

规范场论的诞生
1916年,爱因斯坦创立广义相对论之后,便一直专心致志想要完成物理学的大一统,他的目标是统一引力和电磁力这宇宙两大力,宇宙其实存在强力、弱力、电磁力、引力等四大力,而爱因斯坦那个时候,强力、弱力的概念还没有完善,所以因为时代的关系,爱因斯坦最终没有完成这个目标。

爱因斯坦是从电磁力和引力进行下手,到了 50 年代,杨振宁虽然也起源于对电磁相互作用的分析,但是杨振宁却没有执着于引力和电磁力的统一,而是构建了弱相互作用和电磁相互作用的统一理论,被称为杨·米尔斯理论。

1954年初,杨振宁和罗伯特·米尔斯将量子电动力学(电磁理论进一步发展而来)的概念推广到非阿贝尔规范群,非阿贝尔群在数学和物理中广泛存在,又称为为非交换群。
规范场论原本是是基于对称变换可以局部也可以全局地施行这一思想的一类物理理论。但杨振宁和米尔斯却极大地推广了场和荷的含义。他们设想了一种更为复杂的荷(当然不能再叫电荷了)和它们所产生的场以解释强相互作用。这些荷和场都不是普通的实数能表示的,它们是一些矩阵。矩阵的乘法是不能交换的,这种乘法的不交换性叫“非阿贝尔”的。因此也叫非阿贝尔规范场。

量子理论里力学变量可以表示成矩阵。但这里说的场和荷表示成矩阵不是由于量子化的结果,而是在经典物理的意义上它们就是矩阵。
后来以杨振宁的杨·米尔斯理论为基础的规范场论发展成为基本粒子的标准模型,在粒子物理学里,标准模型是一套描述强力、弱力及电磁力这三种基本力及组成所有物质的基本粒子的理论。即使是尚未统一到标准模型中的引力,也有可能包括进规范场的理论之中。由此实现了三大力的统一。

杨·米尔斯理论可以说是20世纪后半叶最伟大的物理成绩之一,由杨·米尔斯理论发展的标准模型准确地预言了在世界各地实验室中观察到的事实,其应用已经深入在物理学的其他分支中,诸如统计物理、凝聚态物理和非线性系统等等。
从伽利略开始,到杨振宁的杨·米尔斯理论为基础的标准模型,物理在这 300 年的时间里,发生了翻天覆地的变化,由宏观到微观,由低速到高速等等。而在物理学不断发展下,社会也在高速变革,经典力学催生了工业革命,迎来了蒸汽时代,而电磁理论又带我们进入了电气化时代,而现代物理学体系的建立,又让我们迈入了信息时代。

杨振宁的杨·米尔斯理论也是有缺陷的,如何完善不足催生新的物理学体系,甚至实现宇宙大一统,科学家们正在奋力前行。