传递函数在电路分析中的应用必不可少,用于分析和调整系统的稳定性。对于一般的同相反相放大电路,传递函数比较简单,通过简单的KCL原理就能得到,这里不做赘叙。但是对于T型反馈网络,用较小的阻值就可以得到较大的放大倍数,在这种电路应用KCL和KVL,节点法等方式求解传递函数,计算过程就会显得比较臃肿和麻烦。以下的内容是参考@xukun977的快速求解法,而且具有很强的通解性,在不同的网络中都可以得到应用。下面就是T型网络的典型应用,在高灵敏度的场合不会要求很大的电阻,T型网络可以实现高灵敏度而无需不切实际大的电阻。

在这里先使用和其他帖子不一样的地方,输入信号用电流源。也用类似的节点法写出传递函数,
1.运放同相端接地,所以V+=V-=0
2.在节点V1使用KCL,将电流相加:
-V1/R -V1/R1 +(V0-V1)/R2=0
3.由于V-=0,所以输入电流I流过R就是V1,因此V1=-R*I
利用以上关系联立求解:V0=-k*R*I
其中K=1+R2/R1 +R2/R,因此要得到一个大点的放大倍数因子,选择合适的R阻值就可以实现的。
这样的求解是课本习题的标准做法,本身也没有什么问题,但是就是做起来稍微显得麻烦而已。
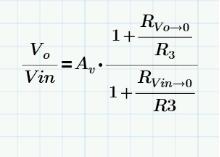
现在使用快速求解法得到T型网络的传递函数,先拿出结论,


先对这个公式的几个参数做一个解释,
第一步,Av是便是没有R3的增益。看做R3的阻抗无穷大。将R3看作开路,这个就是基本的反相放大电路了。
显然,此时Av=-(R1+R2)/R4
第二步,那么Rvo→0的含义,就是令输出为零-null,计算从R3看进去的阻抗,此时电路可以等效为下图:
关于nullator,维基百科给出了解释,就直接贴过来的。

ZR3=VR3/IR3

由于此时电路比较简单,使用KCL方便的,IR3=VR3/R2 + VR3/R1, 可以快速得到阻抗是R1和R2的并联,ZR3=R1*R2/(R1+R2);
第三步,那么Rvin→0的含义,就是将输入短路到GND,计算从R3看进去的阻抗,此时电路可以等效为下图:
ZR3=VR3/IR3

运放的虚短虚短可知V+=V-=0,I+=I-=0,由于Vin等于0,所以流过R4的电流也是0,根据KCL可知,流过R1的电流也是0。再进一步就可以得到R1两端的电压是0,所以图中1点的电位是0,那么VR3=V1=0,这样从R3看进去的输入阻抗就是0了。
现在公式所有参数都求解出来了,只需要将得到的数据代入,就可以得到传递函数的表达式了:


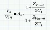
下面再用另外一个例子来说明,用快速计算法求解传函的方便性。这个电路图计算传递函数,要用节点法的话,估计要列举很多公式。当然最后也是能解出来的。

现在使用快速求解法,计算传递函数表达式。
第一步,Av是计算C1开路情况下的阻抗,很显然就是普通的并联分压电路,先将R1,R3串联再和R2并联,随后和R5分压得到输出电压、

第二步,令输出Vo为零-null,计算C1看出去的阻抗,Zc1=R4+VT/IT,得到下面示意图,
其中IT=I1+I2,根据nullator的定义可知,V0=0,I0=0,显然所以流过R5的电流是0,那么I1=VT/R3,流过R2的电流也是I1,所以1点的电位V1=-I1*R2= -[VT/R3]*R2,此时V1也是等于Vin的。为了统一计算方便,下文就不再用Vin表示了。
那么I2=(VT-V1)/R1, IT=I1+I2

通过以上两个等式,可以联立求解,得到VT和IT的关系,从而可以得到阻抗。

经过简单化简,就能得到在C1+R4看出去的阻抗

最后从C1看出去的阻抗Zc1=R4+Z;
第三步,将输出Vin短路,计算C1看出去的阻抗,Zc1=R4+VT/IT,得到下面示意图,这个图计算Zc1就比较方便了,就是几个电阻的串并联方式,这里就不展开了,可以很快速的得到阻抗是R4+R1//[R3+(R1//R5)].

现在公式中的所有参数都计算出来了,只要讲数据带入就能得到最后的传递函数表达式:


最后公式看起来稍微有些复杂,但是通过软件化简,得到的结果就简单了。实际表达式复杂也从一方面反应了,要是用节点法得到这个表示式会更加麻烦的。这个帖子主要是解释T型网络的快速求解法,所以最好表达式是什么样就是什么样,不用刻意追求一个极简 表达式。
用两个例子应该是清楚自然的介绍了在复杂电路网络下求解传递函数的方法。各位网友可以尝试用两种方法计算传递函数,看哪一种方法更加方便快捷。
用两个例子应该是清楚自然的介绍了在复杂电路网络下求解传递函数的方法。各位网友可以尝试用两种方法计算传递函数,看哪一种方法更加方便快捷。
原标题:T型网络快速求解传递函数的方法
原作者:kk的回忆
本文为21ic有奖征文作品,详情请见21ic论坛活动专区:第二届万元红包——蓝V达人有奖征文活动,如果您也有兴趣参与征文,欢迎进入论坛参与活动~