
还记得《色戒》里那三段精彩的被剪掉的镜头吗?有人说,从三段“被剪掉”里姿势的不同,可以看出两个主角关系的变化。
“……从半*暴强**的后入,到高难度的相互折腾,到最后王佳芝的女上,易先生从最初的大体力劳作,到最后的躺着微笑享受,不知道是因俘获了心而享受了身,还是因满足了身而得到了心。”
然而,最后的易先生,真的更享受吗?
你,对,就是坐在屏幕前抠脚的你,真的以为女上你就更轻松吗?
严谨的科学实验告诉你,一个大写的 NO!
R.N.Eleanor D. Nemec 在1976年的一项科学研究表明,从心跳和血压反应来看,谁在上面对于男人来说,根!!本!!不!!重!!要!!
最初设计这个实验是为了那些男性心脏病患者的,总有人劝他们,啪啪啪的时候,为了心脏,要让妹子在上面,于是这帮身为健康男人的科学家,出于负(ji)责(du),就设计了一个实验,看看男人们扑倒妹子或者被妹子扑倒,心跳和血压到底有多大不同。
实验的对象是10个24-40岁的男人,其中包括5个医生,1个生理学家,3个护士,1个实验室技术员(所以其实就是这个科研小组的所有男人么),他们的平均年龄是29.3岁。
每个实验者被要求在一周多的时间里,用仪器监测自己5次*爱做**时候的心跳和血压,第一次主要是跟老婆练习一下有仪器*爱做**的感觉,后面4次,轮流采用男上和女上。最后,这个实验组一共拿到了来自8个实验对象的35次有效*爱性**的数据(总忍不住对另外的两位发生了什么浮想联翩)。
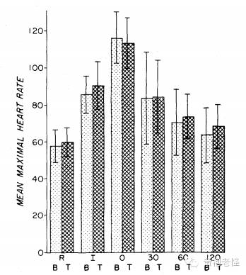
这个是某个男人某一次*行为性**的心跳数据(resting: 开始;intromission:插入; orgasm: 射精)(注意这个图的纵轴啊,上面是50下面是150啊,越低心跳越快啊)

翻译一下这个数据,某男想跟老婆啪啪啪,漫长而无聊的前戏里,跟老婆磨啊磨啊磨,心跳逐渐加快。慢慢的,机会来了,插入,心跳增至每分钟94下,接着*插抽**,心跳也只比前戏快了一点儿,直到,终于,射了,瞬间增至每分钟117下的心跳,高潮之后的两分钟,心跳迅速回落。(插播题外话,15分钟的前戏,5分钟的*插抽**,时间比例不错哦!)
科学家们收集了35份这样的数据,分析了一下。

白条条的那些(B)是男下女上,黑条条的那些(T)是男上女下,六组分别是:前戏时,插入时,高潮时,射后30秒,射后60秒,射后120秒。
很明显,无论哪个阶段,男上或者女上的平均最大心跳都并没有什么统计学意义上的不同。
相关的实验还有很多。比如另一组是研究了中老年人(平均年龄47.5岁)啪啪啪时候的心跳和血压,发现射精时候的平均心跳是114,与年轻人的117相比,慢了点儿,不过本身,年轻人常规的心跳也是更快的。
总的来说,男人啪啪啪的时候,无论在上还是在下的姿势,心跳都会达到大概最快心跳的70%左右,差不多在运动心律的中间位置。
然而,这只是射精时候的心率啊!你看那前戏还有*插抽**时候低的可怜的心率!不要再说什么我们床上运动也是运动也能减肥了!都是骗人的!!
当然了,*爱做**的时候的姿势,不仅仅是个心跳速度的问题,这是一个综合历史、文化、艺术、视觉效果、体力柔韧度、人生追求、生活目标……等等为一体的问题。
谁在上面,你们喜欢就好!
今天的评论区,我们就来聊一聊,你最喜欢的姿势吧!
内容图片均来源于网络,若涉及版权,请及时联系老怪
END————
欢迎关注微信公众号“黄袍老怪”或微信搜索“laoguaih”订阅更多资讯!