对用户如何选择哪种电力电缆型号要了解各项参数,下面电工之家将介绍常见的几种电力电缆载流量,数据仅供参考,具体电缆参数标准按照各个电缆厂提供数据为准。
一、0.6/1KV聚氯乙烯绝缘电力电缆载流量,常用型号VV22、VLV22聚氯乙烯绝缘钢带铠装聚氯乙烯护套电力电缆载流量



注:以上电缆载流量计算条件
1. 线芯长期工作温度: 70°;
2. 环境温度: 25° ;
3. 埋地深度: 1000mm;
4. 土壤热阻系数:1.0m.°C/W;
5. 线芯轴间距离: S=2D
二、YJV、YJV、YJLV电缆1~3芯额定电压0.6/1kv-1.8/3kv电缆载流量表:

注:表中计算值为铜芯载流量。铝芯载流量为铜芯的1/1.29倍
3+1、3+2、4+1、4芯、5芯YJV、YJY、YJLV、YJLY(包括钢带铠装)0.6/1kv~1.8/3kv电缆载流量:

注,表中给出计算值是铝芯载流量,铜芯栽流量为铝芯的1.29倍
YJV、YJY、YJV22额定电压在6/6、6/10kv电缆载流量

YJV、YJY、YJV22电压等级8.7/10、8.7/15kv电缆载流量表:

三、常见BV线、BVVB型、BLVVB型、RVVB型电线载流量

bv线载流量


四、通用橡套软电缆的载流量(450V/750V及以下橡胶绝缘电力电缆YQ、YQW、YHQ、YC、YCW、YHC型号的载流量)


注: 1 中性线截面面积同主线芯面积。 2.3 芯电缆中一根线芯不载流时,其流量按2芯电缆数据。
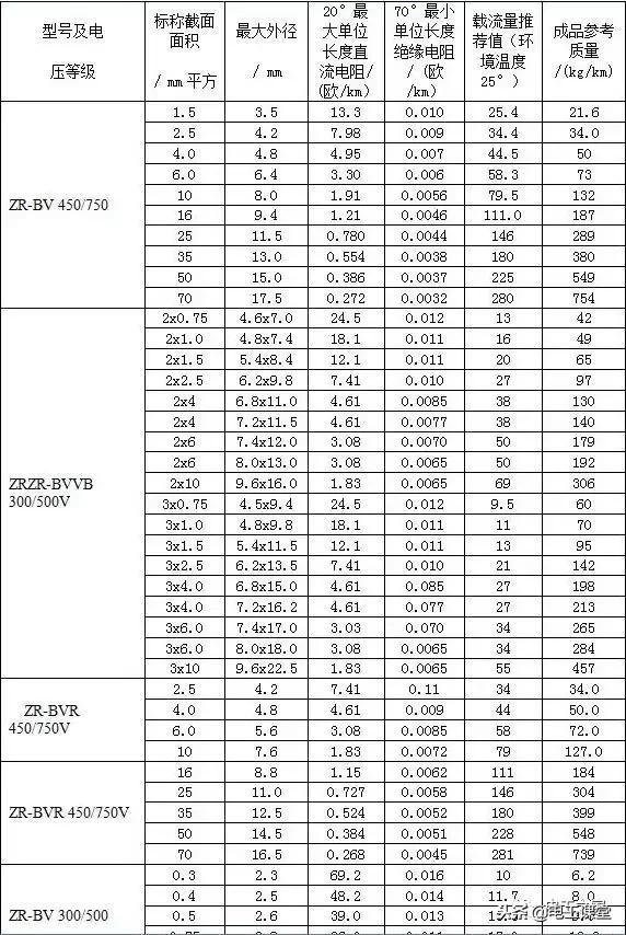
五、阻燃电线电缆载流量。
1)B、R系列阻燃电线电缆的载流量



更多看*载下**资料。
六、ZR-YJV电力电缆载流量表:


更多规格型号*载下**资料。
七、高压交联聚氯乙烯绝缘阻燃电力电缆的载流量表,ZR-YJV、ZR-YJLV


更多多芯载流量请*载下**资料。
八、矿物质绝缘电缆载流量表,BTTZ铜芯铜护套氧化镁矿物质绝缘电缆载流量表如下


九、铝合金电缆载流量表
1、YJLHV铝合金电缆,又称TC90铝合金电缆,0.6/1kV单芯交联聚乙烯绝缘聚氯乙烯护套铝合金电力电缆载流量


2、YJHLV(TC90),0.6/1KV (3+1)铝合金电缆载流量表

更多电线电缆载流量查询和精确计算公式等可以定购下面这本书籍《电线电缆载流量》;
电线电缆载流量(第#版)
¥70.3
购买