教育榜学习榜考试榜考研榜数学榜2024考研榜数学二真题2023真题第十四题已知函数在一区间的定积分求函数在另一区间的定积分
数学二真题2023真题第十四题
已知函数在一区间的定积分求函数在另一区间的定积分
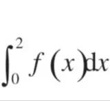
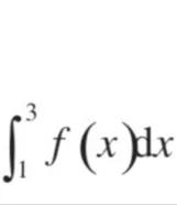
设连续函数f(x)满足f(x+2)-f(x)=x,

=0,则

=_____。
注:此文为原创文章。转载需要注明来自*今条头日**dawu及附上原文链接。
这篇文章就到这里了。
大家关注点一点,收藏点一点,小赞赞也点一点。评论也走一走。
教育榜学习榜考试榜考研榜数学榜2024考研榜数学二真题2023真题第十四题已知函数在一区间的定积分求函数在另一区间的定积分
数学二真题2023真题第十四题
已知函数在一区间的定积分求函数在另一区间的定积分
设连续函数f(x)满足f(x+2)-f(x)=x,

=0,则

=_____。
注:此文为原创文章。转载需要注明来自*今条头日**dawu及附上原文链接。
这篇文章就到这里了。
大家关注点一点,收藏点一点,小赞赞也点一点。评论也走一走。