射频同轴线缆特征阻抗的选择,主要取决于功率容量、衰减强度、可加工性等因素,然而最大功率容量和最小衰减性能对应的特征阻抗是不同的。在射频领域通常采用50 Ohm特征阻抗的原因,就是综合考虑了以上因素。也就是说,50 Ohm特征阻抗对应的功率容量和衰减性能都不是最佳的。单论衰减性能,75 Ohm特征阻抗要比50 Ohm低不少,但是其应用领域比较专一,主要应用于广播、电视信号的信号传输。
本文就跟大家聊一聊75 Ohm系统下的信号测试,对于这种信号的测试,如果频谱仪支持75 Ohm系统阻抗,可以直接进行测试。但是,绝大多数通用频谱仪只有50 Ohm系统阻抗,如何进行准确的测试呢?
如果频谱仪仅支持50 Ohm系统阻抗,直接测试诸如广播、电视信号,那么测试的信号电平必然由于阻抗失配而存在较大的误差。为了提高电平测试精度,必须要引入阻抗匹配电路。
直接串接25 Ohm的电阻能否改善电平测试精度?
当然,此处认为电阻可以覆盖工作频率范围。如图1(a)所示,当串接一个25 Ohm电阻时,在参考面Ref. 1处,阻抗是匹配的,而在参考面Ref.2处,阻抗严重失配,回波损耗达到-9.5 dB。相比之下,不使用任何匹配,直接将源连接于频谱仪测试时,测试参考面处的回波损耗约-14 dB。可见,直接串接25 Ohm的电阻,反而不如直接连接测试的情况好。这种局部匹配的方式并不能有效改善测试精度。

(a) 通过25 Ohm电阻实现阻抗匹配

(b) 通过一个匹配网络实现真正的阻抗匹配
图1. 75 Ohm系统的测试需要阻抗匹配以提高电平测试精度
真正的阻抗匹配应该像图1(b)所示,无论是从哪个参考面看,阻抗都是匹配的,此时便可以实现高精度的电平测试。如何设计这种匹配电路呢?
匹配电路的设计有哪些考虑因素?
对于匹配电路的设计,需要从如下三个方面着手考虑:
(1) 匹配电路的带宽是否足够,是否具有平坦的幅频响应;
(2) 匹配电路的损耗能否尽可能低,这对于弱信号的测试尤为重要;
(3) 是否可以实现完全匹配,只有完全匹配才可以实现高精度电平测试。
广播、电视通常工作在VHF、UHF频段,可以通过采用电感、电容构成“L型”匹配网络实现50 Ohm与75 Ohm阻抗的变换,而且这种电抗性匹配网络的损耗非常低,但是其带宽较窄,而且幅频响应平坦度不是很好,除非采用高阶匹配电路,然而这又增加了匹配电路的设计难度和损耗。
有没有更合适的匹配电路设计方法呢?
答案是肯定的,通过采用高频电阻设计匹配网络,不仅可以实现完全匹配,而且具有平坦的宽带幅频响应,但缺点也是很明显的——损耗大。对于这种匹配电路,可以将其理解为一个具有阻抗变换作用的衰减器,目前市面上的这种50-to-75 Ohm阻抗变换器基本都是采用这种设计方式。
损耗最小的电阻匹配网络——MLP
采用高频电阻设计匹配网络是很有讲究的,电阻毕竟会损耗信号,匹配网络中电阻太少起不到阻抗匹配的作用,电阻太多了损耗太大,会降低系统测试灵敏度。其实存在一种最低损耗的匹配网络,通过两个电阻即可实现,通常称之为Minimum Loss PAD (MLP)。下面就介绍一下这种电阻匹配网络的设计,以及如何选择电阻的阻值。

图2. 由电阻构建的Minimum Loss PAD
MLP阻抗变换网络的拓扑结构比较简单,就是由两个电阻构建的“L型”网络,如图2所示,如果要在左、右两个参考面处得到期望的阻抗,两个电阻值应该如何选取呢?
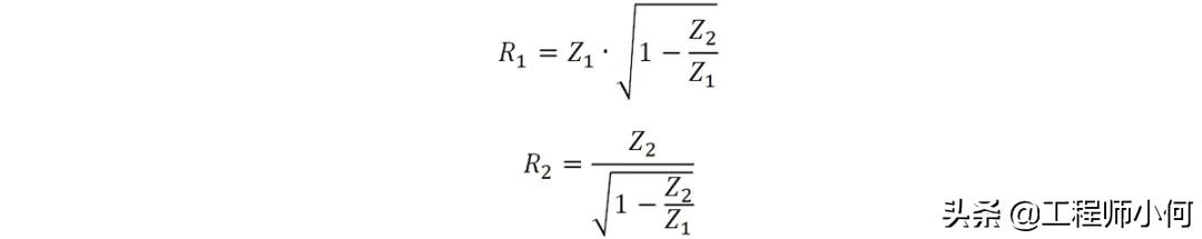
电阻值的确定需要根据欧姆定律计算,就是串并联阻抗的计算过程,具体推导过程不再详述,这里只给出结论。
考虑 Z1 > Z2 的情况,则为了实现两个参考面处的阻抗匹配,需要的R1 和R2 分别为

如何确定MLP的衰减度呢?
MLP衰减度的确定依然需要根据欧姆定律,结合图3所示的等效电路图,便可以确定输入、输出电压之间的关系,继而确定输入、输出功率之间的关系。经过一番推导,输入、输出功率之间的关系如下

这意味着MLP阻抗变换网络的衰减度为


图3. 引入Minimum Loss PAD后的等效电路图
对于50-to-75 Ohm的阻抗变换设计,根据如上公式,可以确定电阻R1和R2分别为
R1=43.3 ΩR2=86.6 Ω
对应的损耗为-5.72 dB。实际使用频谱仪测试时,可以直接将此损耗值写入频谱仪,以对测试的电平值自动进行补偿。
值得一提的是,采用三个或更多个电阻同样可以实现阻抗变换,只是这种更高阶的电路意味着更大的损耗。而一个电阻无法实现阻抗变换,因此图2所示的这种网络是起到阻抗变换的最小衰减网络,这也是称之为Minimum Loss PAD的原因。
另外,选择电阻时也要注意电阻的频率范围,必须要能够覆盖所要测试的信号频率范围,否则设计的阻抗匹配网络将达不到预期的效果。
75 Ohm系统的接口是什么样的?与50 Ohm系统的接口兼容吗?
测试中常用的BNC、N、SMB、SMC等接口都有50 Ohm和75 Ohm特征阻抗之分,在广播、电视领域,应用更多的是75 Ohm特征阻抗的N型接口。
对于同轴连接器及线缆,特征阻抗取决于内外导体的半径之比。75 Ohm的N型接口和50 Ohm的N型接口,两者的外导体尺寸相同,而特征阻抗越高则内导体越细,两种接口如图4所示。因此,75 Ohm的阳头可以与50 Ohm的阴头相连接,而75 Ohm的阴头却不能与50 Ohm的阳头直接连接,否则会破坏连接器。

图4. N型连接器两种特征阻抗接口之间的兼容性
以上便是要给大家分享的内容,更多的是一种思路的分享,希望对大家有所帮助~
备注:整理于网络,侵删!