出品:科普中国
制作: 科了个普 林风
监制:中国科学院计算机网络信息中心
要是有人问起常温下金属是固体还是液体,想必不少人会说,肯定都是固体嘛,这还用问。但世界之大无奇不有,就有这么一个例外:汞。汞对我们来说可谓“既熟悉又陌生”,甚至,有时候还真有点傻傻分不清它到底是敌是友呢。接下来,小伙伴们就跟着小编一起来扒一扒这种特殊的金属吧!

1. 基本理化性质篇
汞,俗称水银,化学符号Hg,原子序数80,它的密度大、呈银白色、室温下为液态。要理解Hg是液体的原因,可要从爱因斯坦的相对论说起啦。不过小伙伴们不用紧张,小编力求不把大家说蒙圈了。根据爱大爷的相对论,电子运动时质量m随其速度的增加而增加。大家看看下面的公式:

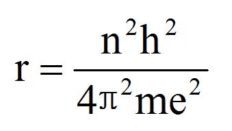
式子中,V、C、m0分别表示电子的运动速度、光速以及静止时电子的质量。另一方面,电子在原子核外的运动半径(r)可表示为:

由此可见,运动质量m增加后,电子轨道半径缩小。Hg是重元素,受相对论效应影响大,它外层的6s轨道收缩的程度也大。这迫使6s电子产生更强的定域作用(也就是只能老老实实呆在原子核周围,不像自由电子那样可以到处溜达了),最终Hg原子与Hg原子之间不能形成强有力的金属键,在常温下不能构成固体。虽然Hg原子间不能通过电子相互作用有效结合,但是,各原子间还存在着一种与原子量成正比的吸引力(范德华力)。正是靠着这种分子间的相互引力,使得在常温下Hg原子彼此抱团形成可流动的液体,而不是像气体一样散逸掉。
2. 毒性篇
汞有剧毒,其化合物和盐的毒性多数也非常高,口服、吸入或接触后可以导致脑和肝损伤。从15世纪到19世纪初,一直都是使用汞剂来治疗梅毒。直到后来医生们发现毒死的人比病死的还多,才终于放弃这种疗法。
在1530年,中世纪瑞士医生、炼金术士、占星师帕拉塞尔斯给他的病人们开出了“喝汞盐”的疗法,为的是让他们排尿和流口水。同时代的一些医师也建议病人们这么做,直到病人流出三品脱的唾液。当时的人们认为,大量地流口水可以把梅毒病菌赶出病人体。尽管汞可以在轻度感染的情况下治愈梅毒,但同时它也很可能会造成溃疡、肾衰竭,甚至脑损伤,可谓饮鸩止渴啊。
3. 传奇篇
通常腐败是由于受到细菌感染而引起的。Hg作为一种重金属,能使蛋白质变质,使包裹在细菌外面的蛋白质丧失生理活性,从而起到一定的杀菌防腐作用。我国早期历史上就有用汞来防腐的记载,其中比较著名的就是湘西赶尸和秦始皇陵墓地宫。
(1) 湘西赶尸之谜

湘西赶尸术是盛行湘西的民俗,起源于阿普军师的传说,属于巫文化。清朝就广为流传湘西"赶尸人"的传闻,即赶尸人利用"秘术",将客死异乡的人的尸体带回家乡,让他们入土为安。
目前关于赶尸的说法不一,主流的是机械拖尸、乔装背尸及非法*私走**等,但是无论哪一种,都有一个关键的问题,就是尸体的防腐,因为赶尸的路都在山区,少则十天半月,多则一月有余。学者们认为,湘西苗族较早地掌握了炼朱砂(汞与硫的化合物)的本领,朱砂加热后会生成汞,从而得到一种有效的防腐材料。
(2)秦始皇陵地宫水银之谜

始皇陵是一座充满了神秘色彩的地下"王国",幽深的地宫更是谜团重重。据最新考古勘探资料表明,秦陵地宫东西长260米,南北长160米,它是秦汉时期规模最大的地宫,其规模相当于5个国际足球场。
据《史记·秦始皇本纪》记载,地宫内"以水银为百川江河大海"。中国地质调查研究院研究员刘士毅介绍,通过物探证明,地宫内的确存在着明显的汞异常,相反其它地方的土壤样品中几乎没有汞含量。秦始皇使用水银的目的在于将其作为四渎、百川、五岳九州,具地理之势,水银象征山川地理,与"上具天文"相对应。这不单营造了恢宏壮阔的自然景象,而且在地宫中弥漫的汞蒸气还可使入葬的尸体和随葬品保持长久不腐烂。另外,汞是剧毒物质,大量吸入可导致死亡,因此地宫中的水银还起到了防止盗墓的作用。
4. 日常篇
虽然汞有毒,但是我们也不可将其一棍子打死,避而远之。汞在人类历史中也有着的积极作用。
(1)汞与补牙

在早些年,银汞合金广泛用于填充牙齿龋洞。据统计,银汞合金在后牙牙体修复中占全部牙体修复的80%,有长达10-30年的临床寿命。不过由于其中含有汞元素,其安全性一直备受争议,虽然没有直接的证据证明其存在神经毒性,然而随着科技的发展和人民生活水平的提高,逐渐地将银汞合金淘汰出牙齿的填充材料已是历史的必然,不是因为“汞是最危险的环境毒素之一”,而是现在有了高强度、高耐磨性、颜色逼真、与牙齿高粘合性的复合树脂材料及瓷材料可供使用,而没有必要使用色彩与牙齿不协调、易碎、与牙齿之间有微渗漏、还有“有毒”争议的银汞合金了。
(2)汞与美白

俗话说得好:“一白遮百丑”,现代女性为了美刻意地去追求美白产品。在化妆品里添加汞可以起到美白的效果,这是因为含汞化合物能破坏表皮层的酵素活动,使黑色素无法形成。但是,如果汞含量超标将会对人体造成危害,汞会刺激皮肤,损伤中枢神经系统,使人出现记忆力衰退、失眠等症状。此外,由于汞停留在皮肤底层几乎无法代谢,尽管微量也会积少成多,容易引起皮肤的黑色团。
因此含汞超标的化妆品只是暂时快速地让皮肤看上去更白皙,长期使用会破坏皮肤的正常生理结构,最终导致异常的色素沉淀,出现“黑皮症”。因此,小仙女们在选择化妆品时可要注意啦,一定不能急于求成,也不能贪图便宜,须看清楚其中的铅汞含量哦。
(3)汞与飞行安全

不知道生活中大家有没有把水银温度计带上飞机的经历呢,其实水银温度计是不能带上飞机的。这是因为制造飞机的基本材料是铝,虽然汞与铝不发生反应,但是可以催化铝与氧气反应。铝溶解于汞后会和氧气反应生成三氧化二铝,三氧化二铝不溶于汞,浮出汞面;接着,新的铝重新溶于汞中,它们又会和氧气反应,这样反复下去,汞不会减少,铝却被氧化完了。

因此,一点点的汞就可以毁坏大量的铝。飞机上若有人不小心抛洒了汞,那架飞机就必须停飞进行检查,直到拾到所有遗落的汞。最严重的情形就是那架飞机因此报废!所以,各位亲们可千万不要把汞带上飞机啊。


好啦,最后小编再来给大家梳理一下。汞是常温下唯一的液态金属,有毒,可以用来杀菌防腐;汞也广泛用于医疗与美容行业;当然,它还是个捣蛋鬼,容易破坏铝制品而引发安全事故。这些你都清楚了吗?
参考文献:
1.汞为什么是液体[J].化学教育,1992,6:47-48
http://qikan.cqvip.com/article/detail.aspx?id=1005185414&from=zk_search
2.留神:汞超标化妆品害人不浅[J].中国质量万里行,2013,1:64-65
http://qikan.cqvip.com/article/read.aspx?id=44528001&from=zk_search
3.乘坐飞机为什么不能携带水银温度计?[J].百科知识,2012,13:29-29
http://www.cqvip.com/QK/94674X/201213/42427559.html

“科普中国”是中国科协携同社会各方利用信息化手段开展科学传播的科学权威品牌。
本文由科普中国融合创作出品,转载请注明出处。