聚乙二醇(PEG)是一种被广泛应用于蛋白质和多肽等生物聚合物进行共价修饰的高分子材料[1]。PEG化修饰(PEGylation)是将PEG共价结合在药物上,以改善药物的药代动力学、药效学和免疫学特性,从而增强其治疗效果的一种药物技术[2]。
PEG具有无毒、无免疫原性、无抗原性、水溶性好等优点,是当今最常用的高分子材料之一。PEG化修饰会改变药物的物理化学性质,包括构象、静电结合、疏水性等。这些物理和化学变化增加了药物的体内保留时间,提高血浆半衰期,延长吸收时间,还能影响药物与细胞受体的结合亲和力,改善肿瘤靶向性。药物经PEG修饰后可减少给药次数、提高疗效、改善耐受性、降低严重程度和不良事件发生率[3]。同时PEG还可以增加蛋白质的溶解度和稳定性,也有利于药物的生产和储存。因此PEG常被用作药物传递和药物修饰技术,可以直接与药物偶联,或附着在药物表面一起封装于纳米材料里。
自20世纪90年代初以来,聚乙二醇化一直是临床上最成熟的半衰期延长技术,30多年来已在人类身上证明了其安全性。PEG化药物已被大多数国家/地区当局批准供人静脉、口服和皮肤使用。目前,PEG化修饰可被用于修饰蛋白质、多肽、寡核苷酸、抗体片段、有机小分子和纳米颗粒等。
PEG在早期研究中被认为是一种生物惰性材料,不具有免疫原性和抗原性。但最近一些报导显示长期给药会使PEG在组织内富集,可能会导致潜在的组织毒性和不良反应[4-6]。小于400 Da的PEG链在体内被醇脱氢酶代谢为有毒代谢物,如PEG在体内能被代谢为相关酸类代谢物,可能引起危险的高钙血症和酸中毒[7]。游离的PEG和PEG化纳米载体可以作为糖原蛋白和细胞色素P450酶*制剂抑**,从而改变修饰药物的药代动力学[8-12]。另外文献[13]报道有识别和结合PEG的抗药抗体,即抗PEG抗体(APA),包括既存的抗体和治疗诱导的抗体。随着越来越多的PEG化产品进入临床,一些报道将抗PEG抗体的产生与治疗效果的降低联系起来,并且在反复给药后,报告的不良反应有所增加。据报道[14]一项III期研究(NCT01848106)因发生严重不良事件(SAEs)而停止,经历SAEs的受试者都比其他受试者具有非常高的预存APA滴度。除了PEG化的蛋白质,聚乙二醇修饰的纳米颗粒[15],例如脂质体和胶束,也被报道在动物模型中可刺激产生APA。
因此,充分了解PEG和PEG化药物的药代动力学特点和生物分析,对评价其总体安全性和促进技术发展具有重要意义。然而,PEG化药物的结构复杂、内源性干扰明显、分析方法有限,是PEG化药物药代动力学研究和生物分析的一大障碍。
本文综述了PEG结构和PEG化药物的分类、FDA批准的已上市药物,并对PEG化蛋白药物的药代动力学特点、生物分析和免疫原性方法和技术进行简述,讨论了它们在生物基质中PEG化药物定量分析和免疫原性分析中的优点和局限性。
一、PEG修饰药物的结构
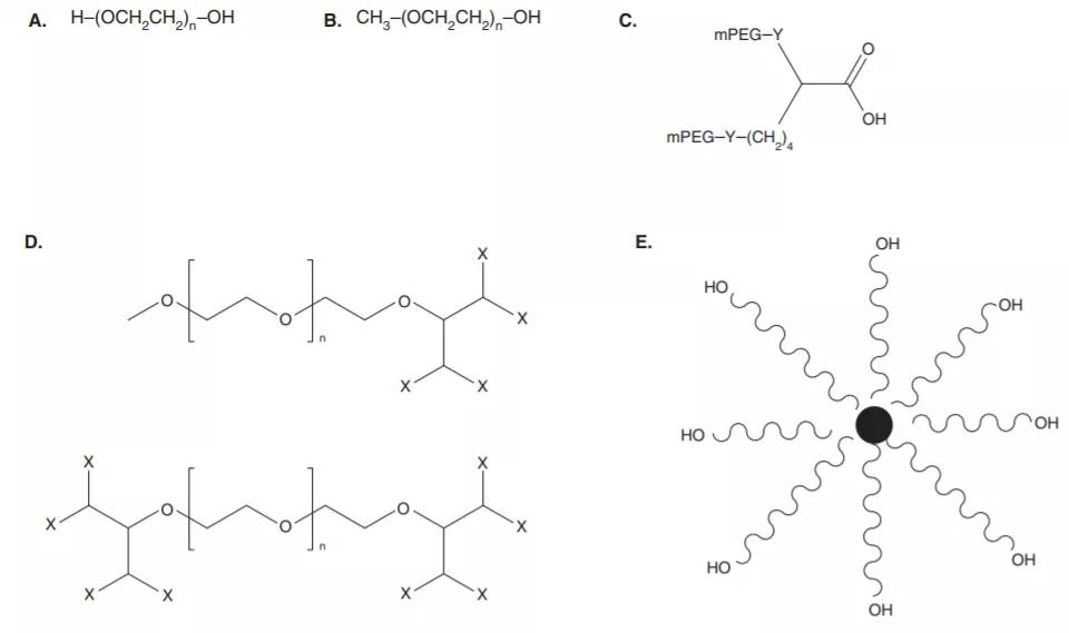
PEG聚合物是由环氧乙烷聚合而成,可以构成线性或支链结构。线性PEG 的分子式为H-(O-CH2-CH2)n-OH,只有2 个末端可用于修饰新型偶联药物,因此载药量较低。而支链结构在一个或多个端上具有*能官**团,如末端呈树枝结构的支链PEG、叉状PEG和多臂PEG等,从而实现多种共轭可能性,且大大增加了载药量[16]。

图1 代表性的PEG结构[17]
注:(A)线性PEG,具有两个游离的羟基末端;(B)线性的单甲氧基- PEG(mPEG),一端的一个羟基转化为甲氧基;(C)支链PEG,两个线性mPEG与赖氨酸的氨基基团相连,其中Y代表连接剂。(D)叉状PEG,在一个PEG链端或两个链端提供多个近端反应基团,其中X代表*能官**团。(E)多臂PEG,携带多羟基或*能官**团,八臂PEG是以三羟甲基丙烷为核心。
PEG化药物一般包括PEG、偶联的药物和/或连接剂(Linker)等部分组成。PEG化是通过各种偶联的化学成份和/或Linker来优化药物的溶解性、免疫原性和生物功能[18]。PEG偶联的多样性来自于稳定或可水解键的使用。

图2 PEG修饰的主要结构[19]
PEG化技术在上世纪70年代便已出现,最开始采用琥珀酰亚胺琥珀酸酯(succinimidyl succinate,ss)作为Linker,后来逐渐演变出多种Linker。近年来,随着研究和开发的不断深入,出现了PEG双*能官**团异端修饰药物(heterobifunctional PEG ,X-PEG-Y)等新型PEG化药物。
表1 PEG化技术变迁

注:SS:琥珀酰亚胺琥珀酸酯succinimidyl succinate);SC:琥珀酰亚胺碳酸酯(succinimidyl carbonate);NHS:N-羟基琥珀酰亚胺(N -hydroxy succinimide);T-PEG:2-巯基噻唑啉-PEG(2-mercaptothiazoline-PEG);UPEG:分支PEG。
二、PEG修饰药物分类
PEG化修饰在药物方面的应用主要为PEG化蛋白药物、PEG化肽链型化合物、PEG化小分子药物、PEG化脂质体等方面。
2.1 PEG化蛋白药物(PEGylated protein drugs)
PEG化蛋白药物的修饰途径主要包括氨基修饰(包括N端氨基的酰基化修饰、赖氨酸侧链氨基的酰基化修饰、N端氨基的烷基化修饰)、羧基修饰、巯基修饰等。国内外PEG化蛋白药物的研究主要集中在腺苷脱氨酶、天冬酰胺酶、干扰素、粒细胞集落刺激因子、白细胞介素等方面。PEG化的大分子药物目前主要用于治疗癌症、慢性肾病、肝炎、多发性硬化症、血友病和胃肠疾病[20]。
2.2 PEG化肽链型化合物(PEGylated peptide-based compounds)
多肽一般血浆半衰期短、口服生物利用度较低,这是由于体内存在大量的肽酶及其排泄机制,使肽失活、清除。这种不稳定性使得身体能够快速调节激素水平以维持体内平衡,但对许多治疗研发来说很不利。另外口服多肽的生物利用度低是由于口腔中消化酶可以分解摄入蛋白质的酰胺键,也能有效地切断肽激素的相同键,同时肽的高极性和大分子量也严重限制了肠通透性。用PEG对肽进行化学修饰,可以提高肽的多种理化性能和药代动力学性能,且制造成本增加极小。PEG修饰对肽药代动力学的影响具有潜在有益的生物分布变化,包括避免网状内皮系统(Reticuloendothelial System ,RES)清除,降低免疫原性,减少酶解和肾滤过损失。这些效应可以显著增加肽在体内的半衰期,间接改善生物利用度,但不会对肽与配体的结合和活性产生不利影响。PEG化肽链型化合物,如沟降钙素、表皮生长因子,相比于母药,其半衰期长,生物活性高。特别是在PEG的定点修饰中,肽化合物比蛋白质更容易获得。在多肽化合物的PEG化研究中最常见应用的是mPEG。
2.3 PEG化小分子药物(PEGylated small molecule drugs)
目前许多小分子,尤其是抗肿瘤药物,可以采用PEG化技术进行修饰。PEG负载的小分子可以将其许多优良性质转移到偶联物上,使聚合物具有良好的生物相容性。不仅可以改善其溶解性和生物分布,还可以通过改变药物对酶和重要器官的暴露程度来减少其代谢和毒性。许多抗肿瘤药物都是通过高分子量PEG修饰来实现对肿瘤组织的靶向给药。伊立替康、喜树碱、多柔比星、紫杉醇等小分子抗肿瘤药经PEG 修饰制备成前药,其溶解性、体内循环半衰期、不良反应等均得到较大改善,同时具有明显的增强渗透和滞留效应,对肿瘤组织的靶向作用也有所提高。
尽管PEG化的蛋白质和多肽取得了显著的成功,但PEG化小分子药物的开发进展有限。这可能是由于天然药物生物活性的丧失、化学偶联和纯化困难以及不良反应等问题。如PEG化喜树碱[21],Enzon制药公司已于2005年依据2b期临床试验的数据,宣布停止进一步开发此药物。临床试验结果显示,与商业配方相比,该结合物具有高度耐受性,毒性显著降低。然而,该结合物在体内的快速水解导致了与天然药物平行的毒性,导致该结合物的药物开发失败。
2.4 PEG化脂质体(PEGylated liposomes)
脂类是两亲分子,分子中有亲水(hydrophilic)和疏水(hydrophobic)两部分。当脂类与水接触时,分子疏水段与溶剂的不利相互作用导致脂类的自组装,通常以脂质体的形式出现。脂质体是由一个或多个同心脂质双层膜形成的球形自封闭结构,其中心和双层膜之间包裹着水相,由天然脂质或合成脂质组成。20世纪60年代,剑桥大学Babraham研究所的Alec D Bangham首次发现了脂质体,并提出了用脂质体作为药物传递载体的想法。由于脂质体的大小、疏水和亲水特性(除了生物相容性),脂质体是很有前途的药物输送系统,具有很多优势。脂质体可以通过改变药物吸收、降低代谢、延长生物半衰期或降低毒性等手段来改善新药或已上市药物的治疗指标。药物分布主要由载体的性质来控制,而不再仅仅由原料药的理化特性来控制。

图3 胶束(左)、脂质体(中)和脂质双分子层(右)的空间结构
脂质体也存在许多缺点,如生产成本高,包封药物/分子时易渗漏和融合,磷脂有时会发生氧化和水解反应。脂质体最主要缺陷是快速被RES捕获,导致半衰期短、溶解度低、稳定期短。而PEG化脂质体(PEG化长循环脂质体,PEGylated long-circulating liposomes)可以解决这些问题。PEG化后,PEG链通过在脂质体表面建立一层亲水保护膜使得脂质体表面的亲水性增加,与单核吞噬细胞的亲和力降低,从而逃避RES的识别,减少脂质体的捕获,阻止脂质体与其他分子,如各种血清成分的相互作用,故又称隐形脂质体(stealth liposomes)。该技术应用的一个著名例子是Doxil®,它是由美国Sequus公司开发的。它是美国FDA批准的首个脂质体药物,也是首个纳米药物。
虽然PEG化脂质体具有许多优点,但随着研究的深入,PEG化脂质体也带来了相应的问题。PEG链的空间位阻抑制靶细胞摄取脂质体,PEG干扰基因和蛋白药物携带的pH敏感脂质体(pH-sensitive liposomes,PSL)的“核内逃逸”,导致这些药物在溶酶体中降解;另外在同一动物体内反复注射PEG化脂质体可引起“血液清除加速”现象。这一系列的负面影响被称为“PEG困境”。“PEG困境”给PEG化脂质体的发展带来了严峻的挑战。
2.5 其他应用
PEG化亲和配体和辅因子用于双水相分布系统中生物大分子和细胞的纯化和分析。PEG化糖可作为新型药物的材料和载体。PEG化寡核苷酸能提高溶解度、对核酸酶的抗性和细胞膜的通透性。PEG化生物材料可以减少血栓形成,减少蛋白质和细胞黏连。
三、已上市的PEG化药物
美国Enzon制药公司生产的Adagen是第一个PEG偶联蛋白,于1990年3月获得FDA批准进入市场。自ADAGEN问世以来,已有数十种PEG化药物进入临床,新的PEG化药物不断扩大临床研究管线和药物专利寿命。大量PEG化蛋白和多肽药物一直保持着良好的发展势头,许多其他药物也处于临床试验或开发阶段。
表2 FDA批准的PEG化药物[22-25]

注:含有多个单位PEG的药物(单位数)×(每个PEG单位的MW),G-CSF:粒细胞集落刺激因子
四、PEG化药物的优势
PEG对蛋白质作用主要体现在两个方面:降低肾脏清除率和增强对蛋白降解的保护作用,两者都降低了药物的总清除率。因此PEG化蛋白药物主要的优势即为延长半衰期。

图4 PEG化的主要优点:改善药代动力学、药理和毒理学性质[26]
4.1 改善药效学特性,降低已知毒性
PEG使抗原决定簇暴露最小化,减少或阻止中和抗体的产生。降低抗原性和免疫原性,最大限度保留生物活性。
对于毒性与血浆峰值有关的药物,通过皮下注射PEG化蛋白可以获得较平坦的药代动力学曲线。某些蛋白质药物引起的免疫相关不良反应也可以通过PEG化而减少。
4.2 提高药物稳定性
在水溶液中,PEG通过氢键与水分子形成较厚的水化膜,这一水化膜与PEG的柔性链(the flexible chain)串联可以抵抗蛋白质对底层表面的吸附,防止蛋白质聚集和沉淀。修饰PEG与脂类衍生物(酰基、醚、二硫键等)之间的连接键也可以增加脂质体的稳定性。PEG的柔性链可以产生空间位阻效应,保护修饰物不受蛋白酶攻击,增加修饰的稳定性。PEG化还可以提高分子的热稳定性和机械稳定性。

图5 PEG提供蛋白水解保护的机制模型[16]
注:上图:血浆蛋白酶与PEG化蛋白的结合被高度水化PEG结构域破坏。可移动的PEG结构域产生不同的构型,减少了酶-底物相互作用和蛋白质裂解。下图:对于靶向结合分子,更高的亲和力增加了相互作用,易产生生物学效应。
4.3 改善药物在体内的分布,改善药代动力学特性
经PEG修饰后,药物分子量增加,这大大降低了其全身给药时的肾小球滤过作用,降低肾脏清除率,从而减少了经尿排泄。同时逃避RES的清除机制,从而使体内血浆半衰期显著延长、增加药物在体内的释放。此外,PEG化药物改善了体循环的稳定性,延长了滞留时间,有利于改善药物在体内的分布,特别是有利于大分子药物在肿瘤和炎症部位的积累。PEG化修饰可以通过减少皮下注射部位的损失,提高生物利用度。PEG化修饰改变药物的体内循环时间,使其免受蛋白水解或代谢的生物失活,因此还可以通过减少注射次数来减少剂量,提高患者的依从性。

图6 PEG化蛋白或多肽及其增强药代动力学和药效学的潜在机制[26]
从下表中可以看出PEG化脂质体阿霉素的药代动力学参数与游离阿霉素,传统脂质体阿霉素的相比,血浆半衰期显著延长。
表3 阿霉素制剂患者的药代动力学参数(游离阿霉素,传统脂质体阿霉素和PEG化脂质体阿霉素)

4.4 提高溶解度
PEG已被发现可溶于水和许多有机溶剂,如甲苯,二氯甲烷,乙醇和*酮丙**。该技术的一个应用是使用PEG修饰的抗体对目标分子或细胞进行相分离[27]。
另外,PEG化抗体片段可以浓缩到> 200 mg/mL,为制剂和给药提供更多的选择,如皮下给予高剂量蛋白质。这与许多其他治疗性抗体的静脉给药形成对比。
五、PEG化药物的药代动力学
近年来,大分子偶联PEG已成为改变多种药物药代动力学(PK)的有效策略,从而提高其治疗潜力。但PEG修饰由于空间位阻干扰药物-靶标结合相互作用而导致结合亲和力的丧失。而药物的药效学(PD)特性是通过受体结合亲和力或酶活性等参数在分子水平上进行测量。这种药效的损失被药物较长的循环半衰期所抵消,因此PEG的作用是改变药效学和药代动力学特性之间的平衡,通过全身暴露增加来补偿结合亲和力的降低[16]。而由此产生的PK-PD的变化在某些情况下使原本无法开发的药物得以开发,在其他情况下使现有药物得到改进。
PEG聚合物的关键特征包括PEG分子量(MW)、分支和末端基团的化学性质。PEG的修饰位点、PEG的大小、肽与PEG之间的连接等因素都会影响生物活性[28]。末端基团的大小和疏水性是决定结合亲和力大小的关键。附着在聚合物上的蛋白质的动力学实质上受聚合物本身的动力学影响。因此,在评价特定的PEG-蛋白偶联物之前,有必要对PEG和PEG蛋白偶联物的血浆动力学和组织分布分别进行分析。

图7 PEG聚合物的体内药代动力学特点[26]
5.1 吸收
PEG为两亲性物质,带有可结合多个水分子的长链,体积较大,可能不易从胃肠道环境中进入血循环,所以被吸收的比例较少[29]。在局部给药试验中,PEG的透皮吸收率也取决于它们的分子量大小。低分子量PEG可以低程度地透过完整皮肤进入体内,而分子量高于4000 Da的PEG只有在皮肤这道保护屏障受损时才可被机体吸收。分子量为2000的PEG被认为是可以通过细胞旁运输或胞吞作用被上皮细胞膜吸收的临界值。
在注射部位,肌肉注射和皮下注射后PEG-50在注射位置的保留时间比PEG-6长,表明PEG从肌肉注射和皮下注射部位的吸收是分子量依赖性的[30]。然而,对于腹腔注射,不同分子量的PEG在体内的吸收情况则非常相似。不同分子量PEG药时曲线的差异主要是与肾脏血管床的孔径大小有关。
5.2 分布
PEG化可能会改变药物的组织分布情况,这是由于它在修饰母药引起的物理化学变化。PEG化药物在某些组织部位的相对优先分布可视为药物靶向的基础,而PEG分子量是决定靶向特性的重要因素。循环周期延长的大分子会在肿瘤组织处大量聚集。对于10 KDa或更大的PEG分子,肿瘤组织的相对摄取高于正常组织。药物-PEG -脂质体联合作用能显著改变了母药的生物分布,与体内靶向肿瘤细胞的特异性结合。有研究[31]表明PEG包被的装载阿霉素的脂质体在肿瘤部位分布显著增加。此外,用于区域淋巴结成像诊断的PEG化纳米微球与非PEG化对照组相比,分布情况发生了明显改变,且增强了对靶向部位的定位。

图8 比较125I-RGD and 125I-RGD-mPEG在携带U87MG胶质母细胞瘤的裸鼠中组织分布[32]。RGD:精氨酸-谷氨酸-天冬氨酸;mPEG分子量2 kDa。
5.3 代谢
PEG一般被认为是一种不可生物降解的聚合物,但有报道[33-35]明确表明,PEG可以被各种酶氧化降解,如醇脱氢酶、醛脱氢酶、细胞色素p450依赖氧化酶。PEG的I期代谢主要是由醇脱氢酶和醛脱氢酶介导的。分子量对PEG的I相代谢有重要影响。大约25%的剂量PEG 400在体内代谢,但代谢随着MW的增加而减少。分子量小于400的PEG可以通过乙醇脱氢酶在体内转化为有毒的代谢物,而用于药物或制剂修饰的PEG分子量较大,很少被酶降解。
PEG化通过空间位阻效应屏蔽血浆酶和减少RES吞噬作用两种机制对所附着药物的代谢产生影响。因此药物经PEG修饰后,粒径较大的PEG聚合物也可以被酶代谢,但生物转化的速度明显慢于系统消除。
另外PEG与药物之间的连接键也在母体药物的代谢中发挥作用,因为它们决定了母体药物的释放速率。

图9 PEG与药物之间不同的连接键(可释放的PEG-药物偶联物通常被认为是大分子前药,必须在体内通过化学或酶作用转化为它们的活性形式;将PEG永久附着在小分子上的策略需要使用低分子量的PEG。较大的聚乙二醇可能由于空间位阻的增加而导致母药活性的丧失)[26]
5.4 排泄
PEG化可能导致母药化合物的物理化学改变,这可能导致药物清除过程的效率降低[31]。一般来说,治疗性蛋白在循环中的寿命非常有限,这是由于体内存在有效的消除机制,如蛋白质水解、特定细胞介导的蛋白质降解途径以及被RES捕获。
PEG的循环半衰期(t1/2)随着分子量的增加而增加。例如,当分子量从6 kDa增加到50 kDa 时,t1/2从18分钟增加到16.5小时。分子量在40 ~ 50 kDa的PEG可以延缓小分子的肾小球过滤。如静脉注射IFN-α后系统清除率达到6.6–29.2 lit/hr,当偶联到5 kDa的线性PEG时,系统清除率显著降低至2.5-5 lit/hr。
蛋白质清除依赖于生理pH中的蛋白质净离子电荷、其分子量以及细胞中负责蛋白质摄取的蛋白质特异性受体的存在。分子量小于20 kDa的PEG分子和PEG蛋白偶联物可通过尿液被清除,而大分子量的PEG蛋白偶联物通过尿液和粪便中被清除的速度较慢。随着粘附在药物上的PEG分子质量的增加,主要的消除途径由肾途径转向肝途径。
由于PEG易于消除,PEG在广泛的剂量范围内均无显著的毒性。PEG本身只在高剂量的非肠道途径下产生毒性。当PEG剂量超过肾脏最大负荷时,肾脏是PEG攻击的唯一靶器官。有报道[36]称静脉注射劳拉西泮(Ativan)的病人接受了累积剂量为240 g的PEG 400后出现了急性肾小管坏死。
六、PEG化药物的生物分析
6.1 PK研究
研发和开展一种有效且安全的PEG-蛋白偶联物需要在不同阶段对PEG-蛋白偶联物和PEG进行分析。来自临床前和临床研究的生物分析数据的质量完全依赖于具有选择性、敏感性和可重复性的分析方法。为了在测定血清中PEG-蛋白偶联物的药时曲线,且灵敏度、特异性、重复性和准确性符合接受标准,需要一种通用且可检测复杂生物样品中偶联物的分析方法。生物分析科学家必须通过正确的方法验证来评估哪种方法最适合待测物。
鉴于PEG化药物在体内代谢酶或酸碱的作用下会释放出游离药物,同时监测体内PEG结合型药物、游离型药物、游离PEG的浓度实时变化对于PEG化药物的药效学和毒理学研究有着非常重要的实际意义[37]。
PEG化药物可以采用比色法、酶联免疫法(ELISA)、放射性核素标记法、NMR、液相色谱法、液质联用(如LC-MS/MS、Q-TOF等)进行PK研究[38-39]。
比色法测定 PEG 化药物对技术要求较高,而且需要经常清洗比色皿和收集PEG 化药物与杂多酸形成的沉淀,较为耗时[40]。放射性核素标记法由于标记不易且价格贵等原因限制其应用。NMR灵敏度差,且不适合复杂的生物基质,且NMR检测的是总体的PEG的浓度,无法区分游离型和结合型。ELISA法为PEG化药物的分析提供了一种快速、方便的技术,在某些情况下,这是其他方法难以实现的。但是PEG化药物在体内会经历一系列降解和代谢过程,ELISA法只能检测活*药性**物(与靶标结合),不能有效的对PEG化药物、游离药物分子及PEG基团、代谢产物进行区分,不适合复杂生物基质中PEG化药物的分析。而液质联用法可以检测总循环药物,为PEG化药物分析提供了可能的解决方案,以其灵敏和分辨率的优势得到广泛应用。但当使用液质联用法对PEG化蛋白进行生物分析时,也应考虑到来自内源性蛋白质的潜在干扰成分。
6.1.1 ELISA
ELISA是一种免疫化学分析技术,用于定量或定性检测特定蛋白的存在。基于酶联免疫法进行分析的仪器有酶标仪、MSD和Simoa。

将抗PEG抗体的抗原结合片段(Fab)表达于BALB/3T3细胞表面,用于捕获PEG化的分子。捕获的PEG和PEG化分子被随后加入生物素化的AGP3抗体、链霉亲和素结合辣根过氧化物酶(streptavidin-HRP)和ABTS底物定量。此方法对PEG和PEG偶联药物的检测限为:PEG 2000为58.6 ng/mL, PEG 5000为14.6 ng/mL, PEG 10 kDa和PEG 20 kDa为3.7 ng/mL。

图10 对PEG和PEG化分子的生物分析采用不同的ELISA策略:(I)敏感的RPEG细胞竞争ELISA;(II)用于定量PEG和PEG化分子的抗PEG细胞三明治酶联免疫吸附试验原理图;(III)抗PEG-based夹心ELISA通用检测PEG化干扰素的原理图;(IV)膜栓抗PEG抗体的可变拓扑增强效应图,用于定量PEG和PEG化分子的灵敏度。
6.1.2 液质联用法
液质联用法是一种快速发展的技术,已将生物分析提高到一个新的水平。液质联用法可以获得与免疫分析相似的灵敏度,且缩短了方法开发时间。由于其高灵敏度和选择性,该技术近年来被应用于PEG及PEG化药物的定量分析。

基于LC-MS /MS的多反应监测(MRM)是一种灵敏、选择性的扫描方式,常用于小分子药物的LC-MS/MS生物分析。在MRM模式下,首先在Q1中选择分析物的前体离子;所选离子将因此被碰撞诱导离解(CID)碎裂;在Q2再次选择一个或多个特定碎片离子,并将其传送到Q3检测。
LC-MS/MS是小分子药物的常用分析技术,近年来在大分子药物生物分析方面取得了很大的进展。但未解离的PEG化蛋白一般超出了检测范围。解决这一问题可以将目标PEG化蛋白消化成低分子量肽。选择一个高度特异性的肽片段作为整个PEG -蛋白缀合物定量的替代分析物。

图11 基于LC-MS /MS的PEGs和PEG化药物的生物分析。(I)LC-HRMS /MS原理图,使用含二硫的肽作为替代分析物用于猴血清中PEG化蛋白的定量。(II)大鼠单次皮下注射ATI-1072后,40k PEG和ATI-1072在大鼠血浆(给药后4、24和48 h)和组织(给药后48 h)中的平均浓度。(III)采用LC-MSALL技术测定大鼠血浆中PEGs的示意图。(IV)单次尾静脉注射PEG化吉西他滨4 mg后大鼠血浆中吉西他滨和dFdU的平均浓度-时间谱(n = 4)
还有研究[37]采用碰撞诱导解离(CID)技术,建立了基于碰撞能量CE的CID In-Quadrupole的LC-Q/Q/TOF 串联质谱方法,运用MSAll 和SWATH(Sequential Windowed Acquisition of All Theoretical Fragment Ion Mass Spectra)扫描模式,通过监测PEG特异性和药物特异性的碎片离子来完成PEG化药物及游离PEG的分析,该方法重现性好,灵敏度高,高分辨率的碎片离子选择能够有效的消除干扰离子的影响,适合复杂生物基质中PEG及PEG化药物的分析,为PEG化药物的设计及安全性、有效性评价提供了强有力的分析工具。下表列出液质联用定量PEG化药物的实例。
表4 液质联用方法定量PEG化药物实例[39, 41-43]

6.2免疫原性
6.2.1 PEG免疫原性产生机制
对于PEG化的蛋白质和多肽,应密切关注其潜在的免疫原性和抗原性,这可能是由天然蛋白片段和偶联物可变的分子量引起的。由于部分蛋白片段或外源物种的引入,PEG化可能导致新的表位形成。在这些抗药抗体中,抗PEG IgG和IgM已被证明能引起药物血液清除加速(ABC现象)和过敏反应(HSRs)导致的严重过敏症状,甚至出现致命的过敏反应。正确检测抗PEG抗体(APA)可能预测PEG化药物不良免疫反应,从而提高其有效性和安全性。

图12 聚乙二醇脂质体诱导脾边缘区IgM记忆B细胞产生免疫原性的分子机制[44]
(脂质体上的PEG与表达对PEG特异性的IgM记忆B细胞上的受体(BCR)结合。脂质体的大小和在其表面PEG的结构适合于2~3个特异性B细胞受体,并将它们交联,从而触发细胞内信号级联,导致PEG特异性B细胞的增殖并向浆细胞分化,产生并释放特异性抗PEG IgM到血液中)
6.2.2 PEG免疫原性影响因素
聚乙二醇化药物的免疫原性取决于聚合物及其修饰药物的特性,比如PEG链结构和长度、末端基团、PEG化程度、Linker以及母药的特性和患者因素等。
PEG链结构和长度: 抗PEG抗体对PEG的骨干或末端基团都有特异性,两者具有不同的结合特性。与骨干的结合亲和力较低,结合的抗体数量受PEG长度的限制。
末端基团: 由羟基PEG偶联蛋白诱导的抗体对甲氧基PEG和羟基PEG有相似的亲和力,而由甲氧基PEG偶联蛋白诱导的抗体对甲氧基PEG的识别能力强于羟基PEG。在常用的PEG端基中,形成抗体的结合亲和性按以下顺序增加: 羟基(–OH) < 氨基(–NH3+) < 甲氧基(–O-CH3) < 丁氧基 (–O-(CH2)3)-CH3) < 叔丁氧基 (–O-(CH3)3) 。
PEG化程度: 不同蛋白质或脂质体的PEG化程度是免疫原性的一个关键因素。蛋白质连接的PEG分子通常不超过3个,而脂质体则有更多的PEG结合位点。有研究[45]通过调整PEG分子量和偶联度来探索影响免疫原性的潜在因素。在弗氏佐剂存在的情况下,游离PEG没有或仅有非常弱的免疫原性,而PEG偶联到大分子上后则在免疫动物中诱导产生显著的抗PEG抗体。PEG对载体蛋白免疫原性的依赖进一步揭示了其半抗原特性。该研究还发现修饰的程度是决定PEG-蛋白结合免疫原性的关键因素。蛋白质上的PEG链越多,抗体反应就越弱,这可能是由于PEG链增多使抗原表位的掩蔽效果更好。
Linker: PEG与蛋白/载体之间的Linker可能影响PEG的免疫原性。注射PEG-天冬酰胺酶后,PEG-天冬酰胺酶之间的酰胺键和琥珀酸键均能诱导类似程度的抗PEG抗体[46]。除抗PEG抗体外,有文献[47]报道在PEG-天冬酰胺酶高反应性患者中还观察到抗琥珀酸连接剂抗体。
母药的特性: 如果PEG修饰的药物是一种蛋白,其免疫原性主要通过T细胞依赖(TD)途径进行,而该蛋白的固有免疫原性协同促进了PEG特异性抗体的分泌。如Takeda的Omontys®,修饰的蛋白本身具有免疫原性,但其PEG化制剂诱导的抗PEG免疫反应比非免疫原性蛋白结合的PEG强得多,这也是该药物被召回的原因。
患者因素: 给药的途径和时间、是否存在预先形成的抗体、患者的免疫状态以及遗传因素都影响PEG化药物的免疫原性。Chang等人[48]发现了7个单核苷酸多态性(SNPs),其中最显著的是定位于免疫球蛋白重链可变区基因的“rs12590237” ,这些多态性与中国普通人群中天然(已有的)抗PEG IgM的高患病率和浓度显著相关。
6.2.3 PEG免疫原性分析方法
由于抗PEG抗体的产生可能降低PEG化药物的疗效和安全性,因此需要确定临床相关的抗PEG抗体滴度,以控制患者暴露于PEG化药物后的不良反应风险。
最早应用的检测方法即凝血试验。该方法快速、简单,但灵敏度较低。为了提高灵敏度,可以采用Western blot、声膜微粒子技术(AMMP)、酶免疫吸附法(ELISA)和流式细胞术等方法,通过酶反应或荧光对信号进行放大。然而,这些技术通常不是绝对定量的,并且检测限取决于实验条件。表面等离子体共振技术(SPR)具有超灵敏、定量、快速的优点,但由于需要特殊而昂贵的仪器和试剂,这种方法并不常用。
下表中列出多种可用于分析PEG的免疫原性的技术,它们的主要特点已按灵敏度增加的顺序列出。
表5 各种PEG免疫原性分析方法的特点

ELISA由于具有较高的灵敏度和半定量抗体水平的能力,是目前应用最广泛的抗PEG抗体检测技术。在直接抗PEG ELISA法中,通过酶偶联的宿主IgG或IgM特异性抗体识别血清或血浆中的PEG特异性抗体,并与PEG包被的表面结合,产生颜色反应。在桥联免疫原性ELISA方法中,PEG特异性结合抗PEG抗体是通过结合抗原检测,而不是抗宿主IgG或IgM[49]。由于抗PEG抗体的双价或多价性,这些抗体被夹在两层PEG抗原之间。第一个抗原包被在表面用于捕获,第二个通常是生物素化抗原,与样品一起预孵育,最终通过链霉亲和素-酶结合物进行检测。当检测嵌合的、人源化的或全人源的单克隆抗体类药物的免疫原性时,桥式ELISA比直接ELISA的优势更明显,因为直接法不能排除结合的抗人IgG或IgM与板结合抗体药物的交叉反应性。但对于抗PEG抗体不存在此类情况,桥联法涉及更多的步骤,直接ELISA法更有优势。抗PEG酶联免疫吸附法的一个主要局限性在于,由于抗体对不同PEG化制剂在体内和体外试验系统的反应能力可能存在差异,因此其在体内条件下的有效性值得怀疑。
七、结语
PEG作为生物偶联聚合物在药物治疗中的应用日益广泛。PEG化药物在近年来取得了长足的进展,随着生物治疗领域的扩大,PEG化药物的出现有望继续加速。目前PEG化修饰已广泛应用于改善治疗药物的药动学性质,相信在不远的未来,随着修饰技术的不断完善,会有越来越多优秀的PEG化药物出现,为患者提供更多更好的治疗选择。全面了解PEG修饰药物的药代动力学、生物分析,对于设计更高效、靶向性更好的PEG化药物和更好地控制不良反应具有重要意义。
参考文献
[1]. Zhang Z, Zhang Y, Song S, et al. Recent advances in the bioanalytical methods of polyethylene glycols and PEGylated pharmaceuticals[J]. Journal of Separation Science, 2020, 43(9-10): 1978-1997.
[2]. Kang, Jung & Deluca, Patrick & Lee, Kang.. Emerging PEGylated drugs[J]. Expert opinion on emerging drugs. 2009(14). 363-80.
[3]. Becker, R., Dembek, C., White, L. A., & Garrison, L. P. The cost offsets and cost–effectiveness associated with pegylated drugs: a review of the literature[J]. Expert Review of Pharmacoeconomics & Outcomes Research, 2012, 12(6), 775–793.
[4]. Longley, C. B., Zhao, H., Lozanguiez, Y. L., Conover, C. D., Biodistribution and excretion of radiolabeled 40 kDa polyethylene glycol following intravenous administration in mice[J]. Pharm. Sci. 2013, 102, 2362–2370.
[5]. Hu, X., Olivier, K., Polack, E., et al. In vivo pharmacology and toxicology evaluation of polyethylene glycol-conjugated interferon beta-1a[J]. Pharmacol. Exp. Ther. 2011, 338, 984–996.
[6]. Sari Gokay, S., Celik, T., Yusuf Sari, M., et al. Urticaria as a rare side effect of polyethylene glycol-3350 in a child: case report[J]. Acta. Clin. Croat. 2018, 57, 187–189.
[7]. Webster, R., Didier, E., Harris, P., et al. PEGylated proteins: evaluation of their safety in the absence of definitive metabolism studies [J]. Drug. Metab. Dispos. 2007, 35, 9–16.
[8]. Johnson, B. M., Charman, W. N., Porter, C. J., An in vitro examination of the impact of polyethylene glycol 400, Pluronic P85, and vitamin E d-alpha-tocopheryl polyethylene glycol 1000 succinate on P-glycoprotein efflux and enterocyte-based metabolism in excised rat intestine[J]. AAPS. Pharm. Sci. 2002, 4, E40.
[9]. Buda, G., Ricci, D., Huang, C. C., et al. Polymorphisms in the multiple drug resistance protein 1 and in P-glycoprotein 1 are associated with time to event outcomes in patients with advanced multiple myeloma treated with bortezomib and pegylated liposomal doxorubicin[J]. Ann. Hematol. 2010, 89, 1133–1140.
[10]. Hugger, E. D., Novak, B. L., Burton, P. S., et al. A comparison of commonly used polyethoxylated pharmaceutical excipients on their ability to inhibit P-glycoprotein activity in vitro[J]. Pharm. Sci. 2002, 91, 1991–2002.
[11]. Shen, Q., Lin, Y., Handa, T., et al. Modulavtion of intestinal Pglycoprotein function by polyethylene glycols and their derivatives by in vitro transport and in situ absorption studies. Int[J]. Pharm. 2006, 313, 49–56.
[12]. Shah, D., Paruchury, S., Matta, M., et al. A systematic evaluation of solubility enhancing excipients to enable the generation of permeability data for poorly soluble compounds in Caco-2 model [J]. Drug. Metab. Lett. 2014, 8, 109–118.
[13]. McSweeney MD, Wessler T, Price LSL, et al. A minimal physiologically based pharmacokinetic model that predicts anti-PEG IgG-mediated clearance of PEGylated drugs in human and mouse [J]. Control Release. 2018;284:171-178.
[14]. Povsic TJ, Lawrence MG, Lincoff AM, et al. Pre-existing anti-PEG antibodies are associated with severe immediate allergic reactions to pegnivacogin, a PEGylated aptamer[J]. Allergy Clin Immunol. 2016 Dec; 138(6):1712-1715.
[15]. Shimizu T, Mima Y, Hashimoto Y, et al. Anti-PEG IgM and complement system are required for the association of second doses of PEGylated liposomes with splenic marginal zone B cells[J]. Immunobiology. 2015;220:1151–1160.
[16]. Fishburn, C. S. The Pharmacology of PEGylation: Balancing PD with PK to Generate Novel Therapeutics[J]. Journal of Pharmaceutical Sciences, 2008, 97(10), 4167–4183.
[17]. Bailon, P., & Won, C.-Y. PEG-modified biopharmaceuticals [J]. Expert Opinion on Drug Delivery, 2009.6(1), 1–16.
[18]. G.E. Francis, D. Fisher, C. Delgado, et al. PEGylation of cytokines and other therapeutic proteins and peptides: the importance of biological optimisation of coupling techniques[J]. Int. J. Hematol., 1998 (68), pp. 1-18.
[19]. Bailon, P., & Won, C.-Y. PEG-modified biopharmaceuticals. Expert Opinion on Drug Delivery, 2009, 6(1), 1–16.
[20]. https://www.biochempeg.com/article/70.html.
[21]. 来源于https://drugs.ncats.io/drug/ZY7ZTE7LFH
[22]. Magdalena Swierczewska, Kang Choon Lee & Seulki Lee. What is the future of PEGylated therapies?[J], Expert Opinion on Emerging Drugs, 2015, 20:4, 531-536, DOI: 10.1517/14728214.2015.1113254
[23]. Gergely Tibor Kozma, Taro Shimizu, Tatsuhiro Ishida, Janos Szebeni, Anti-PEG antibodies: Properties, formation, testing and role in adverse immune reactions to PEGylated nano-biopharmaceuticals[J].Advanced Drug Delivery Reviews, 2020, Volumes 154–155: 163-175, https://doi.org/10.1016/j.addr.2020.07.024. (https://www.sciencedirect.com/science/article/pii/S0169409X20301083)后面有
[24]. https://www.biochempeg.com/article/58.html
[25] .FDA官网.
[26]. Zhang, X., Wang, H., Ma, Z., & Wu, B.. Effects of pharmaceutical PEGylation on drug metabolism and its clinical concerns[J]. Expert Opinion on Drug Metabolism & Toxicology, 2014, 10(12), 1691–1702.
[27]. Chapman, A. P.. PEGylated antibodies and antibody fragments for improved therapy: a review[J]. Advanced Drug Delivery Reviews, 2002, 54(4), 531–545.
[28]. Na, Dong Hee & Lee, Kang & Deluca, Patrick.. PEGylation of Octreotide: II. Effect of N-terminal Mono-PEGylation on Biological Activity and Pharmacokinetics[J]. Pharmaceutical research. 2005, 22. 743-9. 10.1007/s11095-005-2590-y.
[29]. 周晓彤. 聚乙二醇飞行时间质谱分析方法及其临床前药代动力学研究[D]. 顾景凯. 吉林大学, 2016.
[30]. Mehvar, Reza. Modulation of the pharmacokinetics and pharmacodynamics of proteins by polyethylene glycol conjugation [J ]. Pharm Pharm Sci, 2000, 3.1: 125-136.
[31]. Hamidi M, Azadi A, Rafiei P. Pharmacokinetic consequences of pegylation[J]. Drug delivery, 2006, 13(6): 399-409.
[32]. Chen, X., Park, R., Shahinian, A. H., et al. Pharmacokinetics and tumor retention of 125I-labeled RGD peptide are improved by PEGylation[J]. Nuclear Medicine and Biology, 2004, 31(1), 11–19. doi:10.1016/j.nucmedbio.2003.07.003.
[33]. Kawai, F., Microbial degradation of polyethers[J]. Appl. Microbiol. Biotechnol. 2002, 58, 30-38.
[34]. Mehvar, R., Modulation of the pharmacokinetics and pharmacodynamics of proteins by polyethylene glycol conjugation[J]. Pharm. Pharm. Sci. 2000, 3, 125-136.
[35]. Beranova, M., Wasserbauer, R., Vancurova, D., Stifter, M. et al., Effect of cytochrome P-450 inhibition and stimulation on intensity of polyethylene degradation in microsomal fraction of mouse and rat livers[J]. Biomaterials 1990, 11, 521-524.
[36]. Laine GA, Hossain SM, Solis RT, et al. Polyethylene glycol nephrotoxicity secondary to prolonged high-dose intravenous lorazepam[J]. Ann Pharmacother 1995;29:1110-14.
[37]. 尹磊,周晓彤,顾景凯. PEG化抗肿瘤药物的体内精准质谱分析方法研究[A]. 中国药学会.2016年中国药学大会暨第十六届中国药师周论文集[C].中国药学会:中国药学会,2016:2.
[38]. Markman J L , Rekechenetskiy A , Holler E , et al. Nanomedicine therapeutic approaches to overcome cancer drug resistance.[J]. Advanced Drug Delivery Reviews, 2013, 65(13-14):1866-1879.
[39]. Jiachang Gong, Xiaomei Gu, William E, et al., Quantitative Analysis of Polyethylene Glycol (PEG) and PEGylated Proteins in Animal Tissues by LC-MS/MS Coupled with In-Source CID[J]. Analytical Chemistry, 2014, 86, 7642−7649.
[40]. 孙和平. PEG化紫杉醇的纳米药代动力学研究[D]. 顾景凯. 吉林大学. 2017.
[41]. Sun H , Zhang Q , Zhang Z , et al. Simultaneous quantitative analysis of polyethylene glycol (PEG), PEGylated paclitaxel and paclitaxel in rats by MS/MSALL, technique with hybrid quadrupole time-of-flight mass spectrometry[J]. Journal of Pharmaceutical and Biomedical Analysis, 2017, 145:255-261.
[42]. Yin L , Su C , Ren T , et al. MSAll strategy for comprehensive quantitative analysis of PEGylated-doxorubicin, PEG and doxorubicin by LC-high resolution q-q-TOF mass spectrometry coupled with all window acquisition of all fragment ion spectra[J]. The Analyst, 2017:10.1039.C7AN00470B.
[43]. Li H , Rose M J , Holder J R , et al. Direct Quantitative Analysis of a 20 kDa PEGylated Human Calcitonin Gene Peptide Antagonist in Cynomolgus Monkey Serum Using In-Source CID and UPLC-MS/MS[J]. Journal of the American Society for Mass Spectrometry, 2011, 22(9):1660-1667.
[44]. Kozma, G., Shimizu, T., Ishida, T., & Szebeni, J.. Anti-PEG antibodies: Properties, formation and role in adverse immune reactions to PEGylated nano-biopharmaceuticals[J]. Advanced Drug Delivery Reviews. doi:10.1016/j.addr.2020.07.024.
[45]. Zhang P, Sun F, Liu S, et al. Anti-PEG antibodies in the clinic: Current issues and beyond PEGylation[J]. J Control Release. 2016;244(Pt B):184-193. doi:10.1016/j.jconrel.2016.06.040.
[46]. S.M. Poppenborg, J. Wittmann, W. Walther, et al.Impact of anti-PEG IgM antibodies on the pharmacokinetics of pegylated asparaginase preparations in mice[J]. Eur. J. Pharm. Sci., 91 (2016), pp. 122-130.
[47]. R. Kloos, I.M. van der Sluis, E. Mastrobattista, et al.Acute lymphoblastic leukaemia patients treated with PEGasparaginase develop antibodies to PEG and the succinate linker[J].
Br. J. Haematol., 189 (2020), pp. 442-451.
[48]. C.J. Chang, C.H. Chen, B.M. Chen, et al. A genome-wide association study identifies a novel susceptibility locus for the immunogenicity of polyethylene glycol[J].Nat. Commun., 8 (2017), p. 522.
[49]. Y. Liu, H. Reidler, J. Pan, et al. A double antigen bridging immunogenicity ELISA for the detection of antibodies to polyethylene glycol polymers[J]. J. Pharmacol. Toxicol. Methods, 64 (2011), pp. 238-245.