撰文 | 陈昊 (普林斯顿大学电气与计算机工程系 物理系) 、沙威 (浙江大学信息与电子工程学院) 、戴希 (香港科技大学物理系)
来源 | 本文选自《物理》2022年第6期
近期关于电磁学和电动力学的大讨论仍在继续,主要的关注点从之前的运动介质电动力学转移到了对电磁感应现象的深入剖析。通过讨论,笔者发现一些同学甚至是专业的科技工作者对于如感生/动生电动势、感生 (涡旋) 电场、非静电力、电势差等概念存在误解和混淆。经过初步调研后发现导致这一问题的原因是由于普通高中教育阶段可以使用的数学工具有限,新课标高中物理对于电磁感应现象的讨论规避了一些技术细节,而一些大学工科中文电磁学教程里关于这一段的论述又存在错误的表述和公式。为了帮助读者朋友理清相关概念,笔者决定以此内容作为“漫话麦克斯韦方程组”专题的第二篇文章。

1

微观形式的欧姆定律——电流怎样流动起来
为简单起见,我们先探讨最简单的“稳恒电流”,即电路中的电流不随时间变化的情况。从物理机制上来讲,导体中的电流如何流动的规律被总结为“微观形式的欧姆定律”:导体中的电流密度 J (单位时间单位面积流过的电荷量) 与单位(正)电荷受到的合力 f t = F / q 成正比,比例因子称为“电导率”,记作 σ 。一般情形下,电导率是张量,如果电流密度与合力方向一致,电导率是一个标量,等于电阻率 ρ 的倒数 (金属导电的经典模型详见附录1) 。为叙述方便,还经常将单位电荷所受的合力拆分为静电场 E (静电场的定义即为单位电荷受到的静电力) 和非静电力 f 。微观形式的欧姆定律的数学表达式即为:

常见的非静电力有化学电源中的化学作用,发电机中的磁力,浓度不均的体系中的扩散作用,温差电效应等等,它们都可以严格或近似地用单位电荷所受到的力来描述,如:
(1) 磁力: f = u × B ,其中 u 是导体在磁场中做切割磁感线运动的速度;
(2) 温差电 (Seebeck效应): f = - S ∇ T ,其中 S 是Seebeck系数, T 是温度。
在这里,我们要澄清一个比较容易被误解的点:一些同学学习到电流和电路这一章节的时候,将其与之前所学的静电场的内容完全割裂开了。通过上述的欧姆定律,我们清晰地看到:在电路中驱动电荷做定向流动的是静电场 E 与单位电荷所受的非静电力 f 这两者;而在一般的电路中,非静电力仅在电源内部(内电路)存在。因此在整个外电路中,驱动电荷运动的只是静电场本身。这个静电场是哪里来的呢?答案其实非常有意思,它与我们在初中第一次学习电路时就知道的一个事实“稳恒电路中同一根导线中的电流处处相等”息息相关。设想如图1所示的一段电路,如果一开始流入拐角处的电流大于流出的,即 I in> I out,则根据电荷守恒,会有正电荷在图中拐角处积累。这样一来,累积起来的正电荷就会产生一个方向向外的电场,累积的越多则电场越强。从图中可以看出,这个电场在流入电路的部分与电流方向相反,减小了单位电荷所受的合力,而在流出电流的部分与电流方向相同,增大了单位电荷所受的合力。根据上述的欧姆定律,我们立即知道随着电荷的累积,流入的电流会逐步减小而流出的电流会逐步变大,直到二者相等,则电荷不再累积,电流也不再变化,电路达到稳定状态。在实际的电路中,静电场几乎无处不在,其来自于在电路中积累的电荷,反馈式地调节着电路中各个部分的电流大小。

图1 一段电路(下文的论证与电路的形状无关,画出一个“拐角”只是为了可以指代清楚)(图片来源:格里菲斯《电动力学导论》)
细心的读者可能注意到前文提到了“稳恒电路”的条件,事实上,即使是在交变电流的情况下,只要电路中的电流变化不是很快 (交流电路的(角)频率 ω 足够低: ω << c / L ,其中 c 是光速, L 是电路的长度尺度) ,则在电流发生改变时,电荷重新分布的速度都远比它快得多。因此在任意时刻,交变电路都可以看成是一个“瞬时的稳恒电路”,上面的所有论述仍然是成立的 (电流密度的散度处处为0) 。这其实也是“电路”这一模型的适用极限:如果频率过高,则不能再用电路中诸如“电压”、“电阻”、“电容”等概念进行分析,而要使用完整的电磁场理论,将电路看成电磁介质,仔细讨论电荷和电磁场的动力学问题,这样的“电路”就成为波导了。我们可以把这种电流变化足够缓慢的情况称之为“近稳恒电路”,它实际上就是笔者在“漫话麦克斯韦方程组”专题的第一篇文章中提到的“准静态近似”的情况(例如电容器是“电学准静态近似”,电感器是“磁学准静态近似”,而电阻器既可以看作是电学也可以看作是磁学准静态近似),在此不再赘述,有兴趣的读者可以参考2022年三月刊的《物理》杂志[1]或“中国物理学会期刊网”微信公众号。 不过需要强调的一点是:在电流可以随时间改变的一般情形下,本节中提到的由电荷积累产生的“静电场”应改称之为“纵向电场”,其对电荷产生的作用力就是“静电力” 。

2

电动势与电势差——从微观到宏观
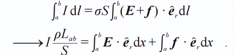
在上一节,我们通过微观形式的欧姆定律明白了电荷在电路中稳定流动形成电流的物理原因——非静电力和纵向电场产生的静电力。不过这一规律在实际问题中非常难以应用,因为电路中的纵向电场是电路中的电荷自行分布达到平衡从而形成的,既不受我们的控制,也无法简单地测量出来。为了得到更有实用价值的物理规律,物理学家将上述表达式乘上导线截面积 S ,并沿着一段电路 ab 进行线积分,就得到了常见的 (宏观形式的) 欧姆定律 (注意到 J ∙ ê rS = I 是电流,在一段电路中是常数,这里用 ê r 表示沿电路方向的单位矢量):

注意到等式左侧恰好是电路 ab 段的电阻 Rab 与电流的乘积。那么等式右边是什么呢?由于我们分析的电路模型满足准静态近似条件,纵向电场 E 是由电荷产生的有散无旋场,因此等式右边的第一项与静电学中的含义相同,为 ab 两点间的电势差 Vab = ϕa - ϕb ,与积分路径无关;而右侧第二项则可以“ 看作 ” (该表述存在一些细节问题,详见下一节第二段) 由 a 运动到 b 的过程中非静电力对单位 (正) 电荷做的功,量纲与电势差相同,定义为 电动势(electromotive force,或electromotance,简记为emf) ,通常用花体字母

表示。在这里我们要强调一下:由于电动势的英文名字带了一个“force (力)
”,致使一些初学者误以为它是一种力,其实不然——电动势具有功的物理意义和量纲;同时,在我国的一些老教材里,由于当年打印技术的限制,无法打出花体字母

,于是便用大写字母 E 代替
(新课标高中物理教材中为了避免引入过多的特殊符号,也用 E 表示电动势) ,又导致不少人将其与电场混淆。以上种种认知都是不正确的,电动势定义即为“非静电力对单位电荷做的功”,是一个仅在电路模型中出现的宏观物理量,不可以与其他尤其是微观的物理量混淆。下面,我们用刚才定义的各种宏观物理量将欧姆定律写出:

如果我们把积分从一段电路延伸至整个回路,那么就会发现,由于积分绕过整个电路回到了起点,因此等式左边的电流乘以电阻应该改写为每一段(用角标 i 标记)的电流乘以对应电阻的求和,右边第一项电势差为0 (任何一个点 a 与自己的电势差 Vaa = ϕa - ϕa 永远是0),第二项则是 “整个回路的电动势”

。用表达式写出则为:

这就是高中教材中的“闭合电路欧姆定律”。这里需要提醒的是:我们将整个回路的电动势定义为单位电荷所受非静电力沿着回路的积分 (或者说沿着回路做的功)

,但也有的教科书将其定义为合力沿回路的积分。由于纵向电场的回路积分恒为0,所以两种定义得到的电动势在数值上相等。然而,这种等价性仅仅对于闭合回路才成立,对于上面提到的部分电路(非闭合电路),电动势的定义必须为单位电荷所受非静电力 (而不是合力) 沿电路的积分。

图2 放大了电源结构的电路模式图
近期,笔者通过一些机会与学校里的本科生交流后发现他们中有不少人混淆了电动势与电势差的概念。经过深入仔细的思考和讨论,笔者认为问题的根源是“电源开路电压与其电动势相等”这一事实。由于没有对这一事实的微观机制的充分认识,导致不少同学认为电源的开路电压“就是”电源的电动势。其实,只要对我们本节和上一节中提到的内容有了正确的理解,就不难对这两个概念进行辨析。图2是一个模式化的电路,电路的左侧是电源,在外电路没有接入时,其内部产生非静电力将正电荷向其上端的正极移动 (同时将负电荷向其下端的负极移动) ,从而在电源正极积累一些正电荷,在负极积累一些负电荷。这种不均衡的正负电荷分布会产生一个由正极指向负极的电场,对正电荷产生向负极方向的静电力,对负电荷产生向正极方向的静电力,阻碍非静电力导致的流动。随着电荷的累积越来越多,纵向电场也越来越强,直到纵向电场力 (静电力) 与非静电力在电源内部处处平衡: E + f =0,则电荷不再流动并积累,体系达到稳定状态。这时,正极积累的正电荷和负极累积的负电荷构成的电场使得正负极之间产生了电势差 V +-,其满足:

注意计算电源电动势时应该沿着单位正电荷受到的非静电力的方向从负极到正极积分 (即非静电力将正电荷从负极带到正极克服静电力所做的正功) ,所以E前面出现的负号是由于我们的积分方向是从正极到负极。由此可见开路情况下正负极之间的电势差正好等于电源的电动势。

3

导体切割磁感线运动产生的电动势——动生电动势
为了展示电动势的具体计算,也为了稍后展开有关电磁感应现象的讨论,下面针对一个简单的例子计算并讨论导体切割磁感线的过程中产生的电动势。假设在强度为 B 的匀强磁场中,一根长度为 L 的导体棒放置在垂直于磁场的平面内。我们知道,如果此时令导体棒沿着垂直于自身和磁场的方向以速度 u 运动,则由于其做切割磁感线运动,磁场会对导体棒内部的电荷产生磁力作用。由于磁力也是一种非静电力,则导体棒成为了一个电源,有了电动势。如何计算这个电动势的大小呢?根据电动势的定义:

这种导体切割磁感线时由磁力导致的电动势被称为 “动生电动势” 。这里要注意一点,跟我们接下来要介绍的“感生电动势”不同, “动生电动势”绝不对应什么“动生电场”的概念,更不是什么“动生电场”沿着电路的积分了。
可能有读者会感到疑惑:我们学过磁力是永远不做功的,既然电动势的定义是单位电荷受到的非静电力所做的功,那么磁力应该不能导致电动势才对。这是一个很好的问题。让我们回到电动势的定义式:

。这里有两点需要格外小心:首先,被积函数是非静电力沿着电路方向的分量,而不是整个非静电力。其次,这个积分是一个“等时积分”,意思是我们并不关注导体棒内的电荷实际上是怎么在非静电力的作用下从导体棒一端经过一段时间运动到另一端的,而是在我们所要研究的时刻给系统拍一张快照,在照片拍摄的这一时刻,计算一单位电荷在导体棒内各个位置所受的非静电力 f ( x ),以此作为定义式中的 f 进行积分,得到电动势。经过这一辨析,笔者发现将电动势描述为“非静电力对单位电荷做的功”实际上容易产生歧义,因为在电路中有随时间变化的部分时电动势并不是非静电力对任何实际运动的电荷所做的功。为消除这一歧义,最好将电动势描述为“非静电力沿电路分量的等时线积分”。 (读过“漫话麦克斯韦方程组”第一篇文章[1]的读者可能已经敏锐地察觉到,由于相对论效应,这里可能存在“等时”在不同参考系下不一致的问题,请不要着急,笔者会在本文倒数第二节通过一个简单的示例展示电磁学理论与相对论在这里是如何相符的。)
再进一步,如果我们给这个“导体棒电源”接上一个外电路,则电流会沿着单位正电荷所受非静电力的方向从导体棒的一端流向另一端。此时,在实验室参考系看来:电荷并不是沿着导体棒的方向运动的,而是与之有一个夹角,可以分解成沿导体棒和垂直于导体棒两个方向的运动。由于磁力本身不做功,功率为0(磁力点乘合速度=0),经过简单计算不难发现,磁力沿导体棒的分量对电荷做功功率为正,而磁力垂直于导体棒的分量对电荷做功功率为负,两者绝对值相等,正好相抵。如果我们就这样放任不管,则磁力垂直于导体棒的分量 (实际上就是导体棒受到的安培力) 将阻碍导体棒继续匀速运动。为保持其匀速运动,需要对导体棒施加等大反向的额外的力去平衡安培力,这一外力做功功率为正,也与安培力做功的功率绝对值相等。这样一来,我们发现磁力在其中起到了类似机械中“滑轮”的作用,将我们施加在导体棒上的力转了90°角,将能量“传递”给了电荷。

4

变化的磁场产生感生电场——一种非静电力
前一节中我们介绍了动生电动势。学过电磁学的同学们都知道,动生电动势有个好兄弟,叫“感生电动势”,甚至有一些同学经常把它们混为一谈。下面我们还是从电磁场和微观的物理机制入手,讲解感生电动势的来源。
跟动生电动势有本质不同的是,感生电动势的来源是感生电场。在经典电磁学理论中,空间某一点 r 的电场 E 可以分为两个部分 E = E L+ E T,即有源无旋的纵向 (longitudinal) 电场 E L和无源有旋的横向 (transverse) 电场 E T。其中, E L由电荷密度 (包括自由电荷和电介质极化产生的束缚电荷) ρ ( r )产生,而 E T由磁场的时间变化率产生。在麦克斯韦方程组中,描写这两个过程的方程分别是电场的散度方程 (高斯定律) ∇∙ E = ρ / ε 0和旋度方程

。
这种由变化磁场产生的电场是一种涡旋电场,它无源有旋,作用在电荷上的力的规律与静止的电荷产生的纵向电场一致。从命名上就能看出,这种力也是一种非静电力,由其导致的电动势称为“ 感生电动势 ” (为避免歧义,我们此处的命名遵循教育部制订的普通高中新课程标准。另一个相近的名词“感应电动势”有其他的含义,详见下节) 。在电磁学的理论中,科学家们一般不将这种感生电场与纵向电场分开,而是统一称为电场。但在电路理论中,由于静电力与非静电力承担着完全不同的角色,我们还是倾向于把这种感生电场与纵向电场清晰地区分开来,简单地看成一种非静电力就好了。能够这样做拆分的原因实际上也是因为在准静态近似下,纵向电场的动力学是可以从其余的电磁场中解耦的[2]。
在结束本节之前,我们还要再次强调:虽然在历史上,动生和感生电动势都被称作是“法拉第电磁感应定律”的一部分,但它们是由完全不同的物理机制产生的。导致动生电动势的非静电力就是我们所熟悉的磁力 (洛伦兹力) ,动生电动势并不对应什么“动生电场”;而产生感生电动势的非静电力则是一种全新的物理现象:由变化的磁场感应出的涡旋电场 (感生电场) 。它们之间不可以做简单的类比,更不可以混淆。在接下来的几节里,我们将探讨动生和感生电动势之间的联系,但不论它们之间的联系有多么紧密,它们都是完全不同的两种物理现象。

5

法拉第电磁感应定律(通量定理)——将动生电动势与感生电动势
人教版新课标高中物理教材对于 法拉第电磁感应定律 的表述为:闭合电路中 感应电动势 的大小,与穿过这一电路的磁通量的变化率成正比 (只表示感应电动势大小,其方向可以使用楞次定律判断) 。这一定律 (也称 “通量法则” ) 深受一些同学的喜爱,因为这里的 “感应电动势”包括了前文提到的动生电动势和感生电动势两者之和 ,在做具体计算时就可以不去细究电动势的产生机制了。而经过前文的讨论,我们已经认识到动生和感生电动势完全是两种不同的物理现象,那么从某种意义上来讲,这一混合了两种物理现象的“电磁感应定律”从理论的角度来说是一种用于方便计算的二级结论,是将麦克斯韦方程应用于大多数电路体系的推论。在附录2中,我们从前文介绍的基本原理和物理机制出发,对通量法则进行了证明 (需要多变量微积分的知识) 。从证明中可以看到:虽然通量法则从形式上统一了动生和感生两种电动势,但如果想得到通量法则, 必须要求电路是由很细的导线组成的闭合回路 ,从而用数学上的闭合曲线进行描述,而这只是实际电路中比较特殊的情况。早在上世纪60到80年代,国内外就有不少教育家针对电路的回路无法清晰定义的情况进行了讨论。著名物理学家理查德·费曼在其《物理学讲义》中以非常清晰的方式阐述了通量法则的两个反例 (图3) ,有兴趣的同学可以去阅读第二卷17-2节 (https://www.feynmanlectures.caltech.edu/II_17.html) 。笔者还在1985年前后的《大学物理》杂志中看到了十余篇有关通量法则的论文,各路学者从不同的角度深入剖析通量法则的适用性和例外情况,令人醍醐灌顶,其中以1987年07期的北京大学赵凯华教授的《通量法则反例问题》最为精湛。这些论文现在都可以在《大学物理》网站 (http://dxwl.bnu.edu.cn) 检索到。有条件的读者不妨去*载下**下来读一读,一定会有所裨益。

图3 《费曼物理学讲义》中提到的两个“通量定理”的反例
综上所述,通量定理是揉合了动生与感生两种不同的电动势的一个二级结论。虽然使用通量定理可以方便计算,但我们仍然要对两种电动势的产生机制有清晰透彻的定性与定量理解。

6

不同参考系下看电磁感应
讲到这里,尤其是对于读过“漫话麦克斯韦方程组”专题第一篇文章的读者来说,在不同的参考系中考察感生和动生电动势已经是不可避之的了。下面我们就通过一个简单且常见的例子,介绍如何在不同的参考系中讨论感应电动势的问题。
如图4所示,在实验室参考系下有一匀强磁场区域 ( x <0的区域,用阴影标识),磁感应强度大小为 B ,方向垂直于纸面向外 ( z 方向)。有一个宽度为 h 的导体线框正以速度 u 沿 x 方向离开磁场区域。此时,磁场不随时间发生改变,没有感生电动势;线框的 ab 边正在做切割磁感线运动,产生动生电动势

,方向 b → a 。

图4 实验室参考系下,线框正以速度 u 离开磁场区域 (阴影区为匀强磁场)
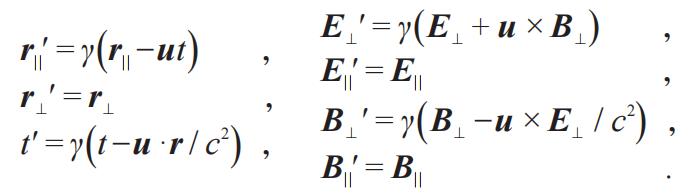
下面我们换到线框静止的参考系 (随动系) 中考察该问题。在随动系下,线框静止,没有动生电动势;磁场虽然大小和方向不随时间改变,但其存在的区域却在发生改变,因此这是一个随时间变化的磁场,会产生感生电动势。为了求解感生电动势的大小,我们首先要求解随动系下的电磁场。根据时空坐标和电磁场的参考系变换公式 (公式中带撇的随动系相对不带撇的实验室系的速度为 u ):

我们可以立即得出:在随动系下,磁场仍为匀强磁场 (在黑色区域内部) ,磁感应强度为 B ′= γB ,其边界以- u 的速度后退;同时随动系下的电场强度不为0,而是一个与磁场存在于同一区域的匀强电场,其电场强度矢量为 E ′=- γuB ŷ ′,其中 ŷ ′为随动系下 y ′方向单位向量。这一电场就是由随动系下变化的磁场 B ′产生的感生电场。这一感生电场绕环路的积分得到的感生电动势就是随动系下的总电动势:

有兴趣的读者可以尝试使用通量定理分别计算两个参考系中的电动势 (在计算随动系中的磁通量时请注意:随动系下磁感应强度与实验室系不同,可由上文提到的电磁场参考系变换公式得到) ,将得到与以上相同的结果。
由此我们发现:不同参考系下的电动势是不一样的。这是由于电动势的定义是一个“等时”积分,而在相对论的闵可夫斯基时空中,不同参考系中的“同时性”不是绝对的,因此电动势不构成一个在洛伦兹变换下不变的 (四维协变) 标量。通过这个简单的例子,我们更加深入地理解了电动势的定义是依赖于参考系的,并且动生电动势与感生电动势紧密结合在一起:对于同一物理过程,产生的是动生还是感生电动势以及电动势的大小都与参考系的选取有关。 (在低速近似下, γ ≈1,电动势在两参考系下近似相等。)
同时,我们发现一些长期从事教学工作的同事意识里的“动生电场”其实就是从参照系变化来的,他们认为实验室参照系里的动生电动势是由洛伦兹力中 v × B 这一项贡献的,而这一项也“恰好”是随动参照系中电场 E ′的低速近似 (即把洛伦兹变换中的 γ 因子近似为1) ,因此称之为“动生电场”。我们认为这种说法是很不严谨的,因为在随动参照系里线圈是不动的;根据上面的讨论,在随动参照系里测到的电动势恰恰是感生电场引起的。通过洛伦兹变换改变参照系的时候,电场和磁场是要互相转换的,所以我们在讨论问题的时候必须首先搞清楚参照系,同一参照系下的物理量才可以放在一起考虑。“动生电场”的错误叫法是典型的混淆不同参照系下物理量的错误。它导致一种似乎麦克斯韦方程组里没有包括“动生电场”,似乎是不完备的错觉。更值得一提的是,《电磁场与电磁波》本科教材的修订版[第四版],将原版[第二版]正确的随动参照系电场的回路积分,错写成了实验室参照系电场的回路积分,得到了错误的法拉第定律的微分形式。事实上,麦克斯韦方程组里没有“动生电场”,因为它本来就不存在,导致动生电动势的是运动导体中的电荷在磁场下受到的洛伦兹力。

6

电磁动力学定律的完备性——场方程与洛伦兹力方程
在这篇文章的最后,笔者想要额外解释一下电磁学定律的完备性的问题。我们经常能听到一种观点:麦克斯韦用四个方程组统一了复杂的电磁现象,丰富的电磁现象完全包含在这简洁的四行方程中。抛开历史过程不谈,这一论述中的科学内容并不严谨。麦克斯韦方程组确实将大量的电磁现象总结在了一起,甚至可以从中推导出电荷守恒定律;但要想完整地描述电磁学,仅靠麦克斯韦方程组是不够的。麦克斯韦方程组是电磁场的动力学方程和约束条件,它仅描述了电荷 (电流) 与电磁场以及电磁场之间的局域关系。在麦克斯韦方程组中,电荷和电流是作为外部参量存在的。完备的电磁学理论一定还需要将电荷的动力学规律纳入进来——如果携带电荷的物质可以用经典力学来描述,对应的动力学规律就是洛伦兹力方程 F = q ( E + v × B )与牛顿第二定律,如果是量子体系则是以矢势 A 耦合到相应的薛定谔方程。在有电磁介质存在的情况下,我们通常使用麦克斯韦方程组和介质的本构关系来解决电磁学问题。实际上,介质的本构关系描述的是介质中的电荷和分子电流对于电磁场的响应,从根本上来讲是由上述携带电荷的物质场的动力学规律导出的。这一根本逻辑即使是到了用量子理论描述物质的今天也没有改变。麦克斯韦方程组加上物质的动力学规律 (对于经典系统即洛伦兹力定律) 就是完备的电磁动力学定律 (如果这个世界上只有电磁这一种相互作用,则联立麦克斯韦方程组和描述物质的动力学方程即从原则上可求解一切物理问题) 。在没有新的实验现象发现之前,这就是电动力学物理规律的“最终版本”。本文作者之一戴希教授前段时间也在知乎上表示:“任何其他版本的电磁学方程或者理论要么跟麦克斯韦方程加洛伦兹力定律在数学上严格等价,要么就是错的,没有第三种可能性。”除非有新的实验现象 (例如磁单极子) 被观察到,否则试图随意修改麦克斯韦场方程的一切尝试 (严格的数学恒等变换除外) 都将走向谬误。
附录
附录1:金属导电的经典模型
从经典的观点来看,导体中电子任何宏观上的定向运动都会由于晶格和晶体中的杂质对电子的散射而快速消失,从而转化为无规则的热运动。因此,想要使电子进行宏观定向运动形成电流,则一定需要外力来维持。这就是物理学中很常见的一种运动——漂移运动(drift)。有关漂移过程的物理细节我们不去过多赘述,读者只要明白基本的物理图像:在某一确定温度下,导体中的电子在无规热运动的同时,以一个确定的平均速率漂移;在室温下这个热运动速率其实很大,例如在300 K时,这一速率约为1.16×105 m/s,而在弱电场下,导线中自由电子形成电流的定向移动平均速率要低多个数量级;这样,电子连续两次被散射的平均时间间隔 τ 约为其平均自由程除以热运动速率。电子在外力 F 的作用下加速,但不会一直加速下去,因为平均 τ 时间之后,电子就会由于被散射而损失掉定向移动的速度,然后再重新开始加速;综上所述,如果我们忽略这一次一次的加速—撞击—加速—撞击的细节,电子在恒定的外力F的作用下会达到一个稳定的平均漂移速度 vd = τF / m ,其中 m 是电子的质量(见《费曼物理学讲义》第一卷43-3)。根据电流密度的微观表达式我们知道 J = nevd ,其中 n 是电子数密度, e 是电子电荷量,因此,电流的大小与一个电子所受的稳定合外力(不包括撞击晶格时受到的反冲)成正比。虽然对于金属材料导电性的准确描述还是应该使用量子理论,但上述的经典模型已经能够成功地给出与实验测量结果相符的定性图像。
附录2:通量法则的证明
首先,我们需要给磁通量一个准确的定义。在数学上,一个矢量场 B ( r , t )对某个有向曲面Σ的通量是一个标量,定义为该矢量场在该曲面上的“第二类曲面积分”:

在我们所研究的问题中,矢量场 B 是磁场,Σ是以电路回路为边界的开放曲面,其正方向与沿电路回路右手螺旋旋进的正方向相一致, ê n 是曲面上一点处法线方向的单位向量。细心的读者会发现,我们定义曲面Σ时仅要求其以电路回路为边界,而这样的曲面是有无限多个的。不过,由于磁场无源的特性,其在任何闭合曲面上的通量为0,因此通过以电路回路为边界的任意曲面的磁通量均相等,不必指明具体使用哪一个曲面。这里我们看到: 为了能够准确定义“通过电路的磁通量”,电路中的元件必须足够细,以至于在研究尺度上可以近似地用数学上的“闭合空间曲线”来描述 。下面,我们让电路的形状和磁场随时间发生变化,求磁通量在某一时刻 t 0的变化率:

右侧的积分随时间的变化率是两部分贡献的线性叠加:磁场(被积函数)的变化以及回路形状(积分区间)的变化:

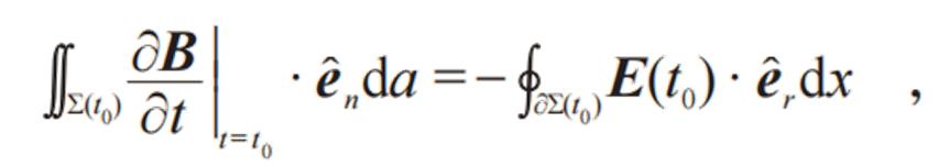
根据上一节介绍的变化的磁场产生感生电场的物理规律,立刻可以认出等式右侧第一项可以表示为电场绕 t 0时刻的电路回路(也就是曲面的边界,记为∂Σ( t 0 ))的线积分的相反数:

其中 ê r 与前文一样,是沿着电路的单位方向向量。 这里的 E 既可以理解为包含了纵向电场和感生电场的总电场,也可以理解为单独的感生电场(因为纵向电场绕闭合回路积分为0),为避免产生问题我们取后一种理解 。

计算回路形状变化导致的磁通量变化
接下来是磁通量变化率右侧的第二项。如上图,考察一小段(有向)导线d l = ê r d x ,其运动速度记为 u ,不难看出在经过一小段时间d t 后,该小段导线的运动使得回路增加了一个(有向)面积元( u d t )×d l ,进而导致增加的磁通量为 B ( t 0)∙[( u d t )×d l ]。通过三矢量混合积的公式可以将其整理为-d t d l ∙( u × B )。将整个回路的每一小段导线的贡献都加起来再除以d t ,就得到磁通量变化率右侧第二项为

将两项合并,得到:

这样一来,我们发现右侧被积函数括号内正是单位电荷受到的非静电力 f ,根据电动势的定义立刻得到:

这正是“通量法则”。

谨以此文向上世纪后半叶对相关问题进行深入细致讨论,并为传递准确的科学知识而辛勤工作的中外老一辈教育工作者致以崇高的敬意。
参考文献
[1] 戴希,沙威,陈昊. 物理,2022,51(3):145
[2] Chen H,Sha W E I,Dai X et al. Progress In ElectromagneticsResearch,2022,174:1
[3] 格里菲斯 大卫·J 著,贾瑜 注释. 电动力学导论(英文注释版·原书第4版). 北京:机械工业出版社,2021
[4] 杰克逊 J D 著. 经典电动力学(第3版影印版). 北京:高等教育出版社,2004
[5] 爱因斯坦 著,杨润殷 译,胡刚复 校. 狭义与广义相对论浅说.北京:北京大学出版社,2018
[6] 泡利 W 著,洪铭熙,苑之方 译,留润州 校. 泡利物理学讲义(第 一、二、三卷). 北京:高等教育出版社,2014
[7] 赵凯华,陈熙谋. 新概念物理学教程:电磁学. 北京:高等教育出版社,2003
[8] 普通高中教科书:物理(必修 第三册). 人民教育出版社
[9] 普通高中教科书:物理(选择性必修 第二册). 人民教育出版社
[10] 电磁场与电磁波(第二版)(原始版). 高等教育出版社,1987
[11] 电磁场与电磁波(第四版)(修订版). 高等教育出版社,2006
本文经授权转载自微信公众号“中国物理学会期刊网”。
知领,中国工程院中国工程科技知识中心官方订阅号。关注科技动态,普及科技知识,弘扬院士精神,传播科学思想。 学术社群已经组建,添加微信:xpcztym邀请您进群