塔吊能够随着主体结构升高而升高,就是在它每次升高时,旁边都有个小伙伴支撑着它,这就是我们今天再次讨论的东西——附墙
。塔吊的身高超过独立高度后,为了保证塔身钢结构的长细比能稳定塔身的钢结构平衡不至于失稳,所以要给塔身加一个约束,增加长细比的稳定性。这个约束就是附墙。
我们首先看看附着装置的抱箍。抱框的连接应该是这样紧密的

塔吊所有钢结构联接都是磨擦型的预紧力矩联接。接触面必须达到75%以上。框小收不紧,联结处仅靠螺栓的拉力不靠谱,易松动和拉断。

抱框抱紧标准节,应该是通过这种方式(其中一个顶丝缺少。扩大接触面)使用顶撑收紧,而不是两个半幅抱框的连接螺栓

这张看的更清晰,要求顶撑和标准节接触面要如图示扩大,增加抱紧效果

在塔吊定位之初,我们就要考虑到附墙安装,下图这种安装方式尽量要避免。安装在楼板上(贴近剪力墙还好点),顶板受力要验算点

这种设置在阳台等悬挑结构上的做法也要尽量避开

再看看附着杆的做法。标准做法是这样的,

附墙一旦安装完成,日常检查就是确保其安全可靠的有效措施。下面这种划线可视化检查方法可以推广,‘’大图特写(螺栓若松动,划线断开)

安装附墙,混凝土强度一定要达到设计要求。下图为了防止墙体拉伤,增加附墙螺栓受力面积

当那么附墙和说明书不一致时,正确做法是这样的
(检查发现和原厂差距较大时,租赁单位要求厂家出的专项设计方案)

展示几张特殊附墙做法
附墙超长,拉杆没有加粗,产生下挠变形
附着杆上除了可以架设通道外,严禁承载任何重量。

格构附墙,斜撑焊接使用螺纹钢(安装后,第一时间被要求拆除更换),这是因为螺纹钢不易焊接,且材质较脆易崩断。所以用Q235的材质做附着杆较好。

特殊附墙专项设计效果

当然,也可以这么做,加长的同时,必须加粗

还可以做间接附着。


所有的附着都要按塔吊说明书制作安装使用检查坼卸。如不符合说明书的规定就要《专项方案》和专家论证,绝不可以想当然和随意做。
再次提醒,所有的《说明书》都对塔身最上一道附着装置要求有内撑杆,以增加塔身附着处的受力能力。防止塔身在附着处折断。
下图是角钢标准节的内撑杆,四个角用“哈夫”包角,增大了抱箍处的受力面积,还在当中加了一道斜撑。


塔吊附墙计算都要考虑哪些方面?
当工程需要时,塔式起重机必须安装附墙才能满足施工高度的要求。施工方案中有专门的塔吊附墙方案,其中的计算要点和安装措施是什么?一起来看吧。
方案设计首先要搞清楚的两个数据是什么?一个是要设几道附墙能满足要求,一个是每道附墙安装的位置。这两个数据确定后,就可以开始之后的计算了。

支座力计算
塔机按照说明书与建筑物附着时,最上面一道附着装置的负荷最大,因此以此道附着杆的负荷作为设计或校核附着杆截面的依据。附着式塔机的塔身可以简化为一个带悬臂的刚性支撑连续梁,其内力及支座反力计算如下。
风荷载标准值应按照以下公式计算:
Wk=W0×μz×μs×βz
式中:W0为基本风压(kN/m²);μz为 风压高度变化系数;μs为风荷载体型系数;βz为高度Z处的风振系数。
风荷载的水平作用力:
q=Wk×B×Ks
式中:Wk为风荷载水平压力(kN/m²);B为塔吊作用宽度;Ks为迎风面积折减系数。

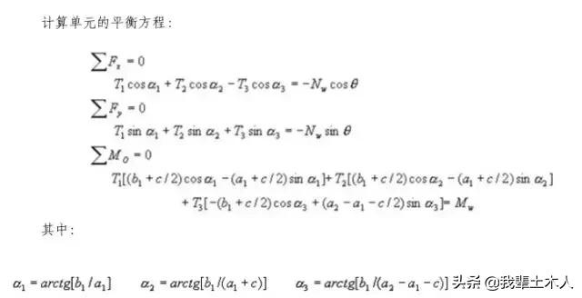
附着杆内力计算
第一步:画计算简图。
第二步:根据计算单元的平衡方程对各工况进行计算。


附着杆强度验算
(1)杆件轴心受拉强度验算
验算公式:σ=N/An≤f
式中:σ为杆件的受拉应力;N为杆件的最大轴向拉力(kN);An为杆件的截面面积(mm²)。
(2)杆件轴心受压强度验算
验算公式:σ=N/φAn≤f
式中:σ为杆件的受压应力;N为杆件的轴向压力(kN);An为杆件的截面面积(mm²);λ为杆件长细比;φ为杆件的受压稳定系数,可根据λ查表计算。

附着支座与建筑物构件连接的计算
附着支座与建筑物的连接采用与预埋件在建筑物构件上的连接采用钢筋拉钩与构件上的主筋连接。预埋件钢筋的规格和施工要求如果说明书没有规定,应该按照下面要求确定:
(1)预埋件钢筋拉钩必须用Q235钢制作;
(2)附着的建筑物构件混凝土强度等级不应低于C20;
(3)预埋螺栓的直径大于24mm;
(4)预埋螺栓的埋入长度和数量满足相关要求;
(5)预埋钢筋数量,单耳支座不少于4只,双耳支座不少于8只,预埋钢筋埋入长度不少于15d,钢筋埋入端应作弯钩并加横向锚固钢筋。
以上就是塔吊附墙方案的计算方法。那么在附墙安装过程中需要注意那些要点呢?
附墙安装
(1)工作前应检查的内容包括:工作前应检查电气的完好性,液压系统是否正常,液压油是否能满足要求,液压油管的完好性,液压工作压力是否正常,顶升机构的钢结构的焊缝、连接螺栓、轴销的完好性,检查钢丝绳及导架、导轮的机械性能。检查发现的隐患必须经过处理合格后方能进行顶升。
(2)顶升前应将变幅小车开至平衡处,锁定旋转机构。顶升前应检查顶升横梁完全进入顶升踏步内,旋转机构与标准节的连接螺栓拆除后方能开动液压顶升系统将塔吊上部与标准节脱离。顶升过程中应注意液压系统的状况及工作压力。加节时应将新进入的标准节与原标准节完全连接牢固后,方能继续进行下一步的工作。顶升或降塔工作结束前应检查各种安全限位和保险。顶升后应检测塔吊的垂直度。同一道附着装置上的各拉杆安装在同一水平面内。塔机的对着高度及附着的距离必须在规定的范围内。附着后,在无风状态下,塔身轴心对支撑面的侧垂直度应在2‰以内。
(3)塔式起重机的附墙、顶升加节必须由取得专业队队伍进行,并应有技术和安全人员在场进行监督和监护。参加作业人员必须戴好安全帽、系好安全带、穿软底鞋,工具装入工具袋内。使用前必须进行检查,不合格必须更换。禁止向下抛掷材料及工具。准备好灭火器,以应对初期火灾,工作时应设立警戒区派出转人监护,并设立安全告示。
附墙拆除
拆卸塔吊附墙杆时一些要注意的问题,自升式塔吊拆卸时,应首先应用液压顶升装置降节,拆卸标准节。当塔吊高度下降至附着装置邻近时,方可拆除附墙安装。
拆卸塔吊附墙杆时,应先拆附墙杆,再拆附墙框。须要注意的是,因为装置时塔身垂直度由附墙杆调节,造成塔身与附墙杆存在必定内力。当拆除附墙杆与建筑物的衔接时,塔身的束缚开释,会产生回弹,因而功课职员必需注意抉择保险的操作地位,防止发生意外。
来源:建筑技术杂志社
版权归原作者所有,如有侵权请联系删除