Created: Apr 13, 2020 2:49 PM
基础概念
证券(Security)
证券是一种具有货币价值的金融工具,例如股票(stocks)、债券(bonds)、期权(options)
证券分为三大类债务证券、衍生证券、股本证券。

债务证券(Debt Securities)
- - 必须偿还,例如政府或公司债券或存款证明
- - 债务证券也称为固定收益
- - 以利息的形式增加收益
衍生证券(Derivative Securities)
例如期权或期货
- 他们的价值取决于其他资产的价格
期权是一种合同,它赋予买方权利,但没有买卖义务在指定日期以指定价格标
的资产。期权合约的一个例子是雇员股票期权。作为员工激励计划的一部分,雇主经常为员工提供以较低价格选择购买,然后在公开市场上出售以获利。
期货合同规定买方有义务购买或卖方在将来的指定时间以预定的价格出售资产
例如,一个奶农同时以每加仑2美元的价格出售牛奶。下个月,他计划出售200加仑的牛奶,但是他担心牛奶市场价格的波动会侵蚀他的利润。因此,他与投资者签订了期货合约。这样,他有义务在约定的日期出售200加仑的牛奶,但无论当时牛奶的市场价格如何,他都能保证得到$ 400。这种协议将保护他免受以下风险:如果牛奶罐的价格造成灾难性损失,但是如果牛奶价格上涨,也会限制他的获利能力。
股票证券(Equity Securities)
(Equity)权益是指拥有资产的价值减去该资产的所有债务或负债的金额。
股票之所以称为股票证券,是因为它们代表公司的所有权。
(Stocks)股票:代表公司所有权的资产。对公司资产和收益的一部分提出的索赔。有两种主要类型,普通和首选。
(Share)股份:单个股份代表公司相对于现有股份总数的部分所有权。
(Common Stock)普通股:一种主要类型的股票。所有者有权获得股息并在股东大会上投票。
(Preferred Stock)优先股:另一种主要股票;通常没有投票权,但所有者有权对公司的资产和收益提出更高的要求。
(Dividend)股利:公司利润向股东的部分分配。
(Capital Gains)资本收益:以高于购买价的价格出售资产所产生的利润。
(Security)证券:一种可交易的金融资产。
(Debt Security)债务债权:所欠且必须偿还的资金,例如政府或公司债券或存款证明。也称为固定收益证券。
(Derivative Security)衍生证券:一种金融工具,其价值来自其他资产。
(Equity)权益:拥有资产的价值减去该资产的所有债务金额。
(Equity Security)股本证券:代表实体中部分所有权的证券,例如股票。
(Option Contract)期权合约:赋予买方权利,但无义务在指定日期或指定日期以指定价格买卖标的资产的合同
(Futures Contract)期货合约:一种合约,规定买方有义务在将来的指定时间以预定价格购买或出售资产。
市场机制 Market Mechanics
流动性 Liquidity
流动性是指诸如股票之类的金融资产在不引起价格剧烈变化的情况下进行买卖
报价数据 Tick Data
证券交易所发布的每个交易的数据流,报价是衡量股票乃至整个市场状况的直观方法。
OHLC
open 开盘的价格
High Low 一天的股价最高和最低
close关闭的价格

Volume 交易量
一段时间内交易的股票数量

Gaps in Market Data
股市每天在特定时间关闭操作,这些缺口会导致你的数据不连续,有可能会影响你的分析。
Timezones
全球不同交易所在不同的时区,例如香港联合交易所在当地时间上午09:30开放。七个小时后,伦敦证券交易所在当地时间上午09:30开市。五个小时之后,纽约证券交易所开盘
数据处理
市场交易数据包括:交易的时间、股票代码、报价数据、交易数据。报价数据包括竞标和询问的数量和价格。

公司行动也可以影响股票,例如股票拆分和红利。
1998年6月2日,在这一天,亚马逊决定进行两比一的股票分割。每个亚马逊股东的股份都增加了一倍。这并不意味着他们在亚马逊上的所有钱都增加了一倍。将股票分为两部分时,其价格下跌一半。这样可以确保股票的总市值,不会因拆分而改变。为什么您要拆分股票?原因之一可能是使股票更具流动性。较少的股票支出被认为更具流动性。如果您查看当时的股价走势图,您会注意到价格下跌很大股票分割。看这张图,就好像公司的价值缩水了。使用这些价格,计算机将以相同的方式读取数据。但是,事实并非如此。

红利处理

因此,您已针对拆分和股息等公司行为调整了股价。
你是如何使用此信息进行交易?当你买,当你卖,甚至你买卖哪些股票。您可以根据信号做出决定,可以从历史价格数据得出。我们可以计算统计量度。您可以将股票的最开始价格视为最基本的指标。以下是一年内Facebook的股价。最新价格约为115美元。这样好吗 我们应该购买一些Facebook股票吗?好吧,还不清楚。价格似乎跳了很多,我们对应该期待的位置一无所知,如果有的话,那么我们可以检查他们当前的价格是否明显更低于预期价格并据此做出决定。那么,股票的预期价格是多少?是开始交易时的平均价格吗?这似乎太极端了。

这些年来,存量可以增长几个数量级。当前大多数价格将大大高于平均水平。可能相关的是该股票的近期平均价格可能是过去一周或一个月,我们可以将这个想法扩展到整个历史并计算固定长度时间窗口的平均值。就像将窗口移动一个单位时间,并在该窗口内获取平均价格。这被称为简单移动平均值或滚动平均值。

我们可以设计一种寻找与移动平均线有很大的偏差,并据此产生交易信号。举例来说,如果股票跌落至低于平均水平的水平,那我们应该买或者如果它升得太高,那我们应该卖掉。但是,多少就是太多。使用常数或阈值似乎不是一个好主意,不同的股票以不同的价格水平交易。我们需要一种与股票价格挂钩的衡量标准,也许是股价的一小部分。但是再说一次?我们不知道一些股票跳得很多。有些更稳定。

一个更好的主意可能是计算股票的波动性或波动性的阈值标准偏差如何?实际上,我们可以重用窗口化思想并进行计算,跨时间在相同固定长度窗口上的标准偏差。这些线称为**布林带**。所有这些峰都粘在上限带之上表示该股票的交易价格高于正常水平。跌破较低区间的信号表明价格异常低。您可能会注意到的一个问题是,此类问题太多了。我们可以通过增加波段的宽度来减少它们。即,通过将较大范围的变化视为正常。一个共同的阈值是选择上下两个标准偏差。现在,我们的异常值大大减少了。但是问题仍然是,我们如何处理这些偏远点?有时我们会突然出现异常值。那么,我们应该买卖这些积分吗?如果你考虑一下当价格跌落到较低区间时,您真的不知道它会继续下降还是会回升。专注于这些拐点也许是明智的。当价格低于下限并开始向内穿越至均值时,那应该是购买的好时机。价格仍然相当低,并且还在上涨。另一方面,当价格越过上限到达内部时,我们可以卖出。这给了我们一系列的买卖信号。在这一点上,您一定想知道,从这些信号中我能赚多少钱。好吧,这打开了一堆蠕虫。

我们必须决定您要投资多少钱经纪费和其他一些事情。现在,考虑一下我们刚刚计算的指标简单移动平均线和标准偏差和我们从中得出的交易信号。这是一个相当简单的方法。看看是否可以计算其他指标来自价格和数量数据的更好信号。
基本面分析
对公司的基本分析涉及查看公司的资产负债表和现金流量表,通常每季度更新一次,也就是公司报告收益时每三个月更新一次。请务必记住,查看一个季度的指标只是公司的概况,并且有多个指标可以尝试捕获公司的健康状况,但方式略有不同。
在某种程度上,分析公司的基本面就像进行一次野生动物园拍摄羚羊的照片一样。从一个角度拍摄一张静态照片可能会告诉您有关羚羊的一些信息,但是从不同角度拍摄多张照片将为您提供更好的视野。另外,随着时间的推移拍摄多张照片,您会感觉到羚羊的去向。因此,在介绍一些常用指标之前,请记住,为了更好地了解您要分析的公司,你需要随着时间的推移查看一系列不同的指标。
每股销售额
公司的收入基于该季度的销售额,因此我们可以将销售额和收入视为同一事物。这是一种快速了解公司运作方式的快速方法,因为我们不必减去销售成本,而销售成本在一定程度上取决于某些会计决策。例如,如果一家公司在过去3个月中以每台100美元的价格销售100万部智能手机,那么其收入就是100美元乘以100万就是1亿美元。如果公司发行了1000万股,则其每股销售额为1亿美元除以1000万股,即每股10美元。
您可能想知道为什么我们要麻烦除以销售数量。这有助于股东了解销售数字可能会对单个股价的变化产生多大影响。您可以想象,如果公司仅发行10股,那么销售报告高于预期的报告对每股的影响将比公司发行1000万股的影响更大。
另外,请注意,每股10美元的销售额可能并不意味着股东将获得其所拥有的每股10美元,或者其股价将增加10美元。公司生产每部智能手机都要花钱。接下来,我们来看一个说明销售成本的指标。
每股收益
收入是公司的收入减去销售费用。销售成本是指手机的制造成本,员工工资,办公室空间租金以及设备的成本,例如制造手机的机器。收益使投资者对公司的股权在过去三个月中发生了多少变化有所了解。回想一下,股票代表公司股权的部分所有权。
继续以智能手机公司为例,假设我们可以估算每部手机的销售成本为80美元。如果每部手机的销售额为$ 100,则每部手机的收入为$ 100-$ 80等于每部手机$ 20。如果销售一百万部手机,那么收益将是一百万部手机的20倍,即2000万美元。
拥有1000万股,这就是2000万美元的收益除以1000万股,即每股收益2美元。
再次注意,每股2美元并不意味着投资者会从自己的口袋中自动获得每股2美元的额外收益。让我们看一下股利,让投资者获得其中一部分收益的一种方式。
每股股息
公司取得正收益后,他们可能会决定将现金再投资以发展公司的业务。通常期望公司高管根据股东价值最大化做出支出决策。这种做法在实践中是否总是有争议的,但是在理想情况下,如果高管们决定对企业进行再投资所产生的回报低于投资者以相同风险水平投资于类似企业所能获得的回报,那么他们将提供一些股东的现金收入。这笔现金称为股息。
举例来说,假设智能手机公司决定将其收益中的1000万美元返还给股东。则每股股息为1000万美元除以1000万美元,即每股1美元。
市盈率
您经常会看到的一个术语是市盈率,或简称市盈率。这是该股票的当前市场价格除以其最近报告的每股收益(EPS)。您可以将市盈率解释为公司的价值与其所赚钱的价值之比。请特别注意我们如何解释较高或较低的市盈率,因为我们不能单独查看市盈率是好是坏。首先让我们看一下价格的来源。股份的市场价格是根据投资者对公司当前股权加上其未来收益的集体估计得出的。未来收益基于对未来现金流量的估计,然后将其调整为当日价值或现值(PV)。但我们要记住的一点是,股票的市场价格既基于其流动资产减去负债,也基于公司的未来表现。
现在回到市盈率。 PE比率高意味着什么?公司的收益可能较低或为负,但股价较高。你为什么这么认为呢?您可能已经听说过某些估值数十亿美元但收益较低的创业公司。这是因为投资者期望根据过去的收入增长轨迹来实现高收入增长的潜力。这也意味着投资者估计,相对于收益而言,高股价将由未来的高收益来证明。另一方面,投资者对公司未来的乐观情绪也可能永远不会实现,在这种情况下,股票可能会被高估。
还要注意,较低的PE比率也可能是由于不同的潜在原因所致。市盈率低的公司的一个例子可能是收益高且稳定的公司,但对未来增长的期望却较低。由于公司可能会决定其投资者最好接受收益作为股息,而不是将收益重新投资到业务中,因此收益将作为现金分配给股东。这也意味着,股票价格本身代表了公司的价值,不包括已经分配给这些股东的现金。同样,请记住,低PE比率也可能表示其他情况。如果期望一家公司面临来自竞争对手或政府法规的压力,这些压力会降低他们对未来收益的期望,那么投资者可能会为每股支付较低的价格,这也可能导致较低的市盈率。
在实践中,您需要查看公司的市盈率与同行业和相同地理区域的其他类似公司的比较。
股票回报
比如你买1050块钱的股票,一个月后,你以1000的价格卖了,那么你的收益就是(1050-1000)/1000=50/1000=5%,就是百分之五的收益。


复利率
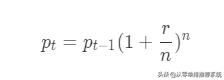
一家银行声明,一年期存款的利率为每年4%,听起来很简单。实际上,其确切含义取决于利率的计量方式。为了使利率表述清晰,必须明确说明利率的幅度和时间依赖性以及复利频率。
如果以每年复利计算利率,则银行声明利率为4%意味着一年后结束$ 100会增长到$ 100×(1 + .04)= $ 104 ,
如果按半年复利计算利率,则意味着每6个月赚取2%的利息,然后将利息重新投资。在这种情况下,$ 100会增长为$ 100×(1 + .04 / 2)×(1 + .04 / 2)= $ 100×(1 + .04 / 2)^2 = $ 104.04
如果按季度复利计算利率,该银行的报表表示每3个月赚取1%,并将利息重新投资。然后$ 100会增长到$ 100×(1 + .04 / 4)^4 = $ 104.06

复利公式:

让我们总结一下我们刚刚学到的东西。以下是定量分析人员使用对数回报的一些公认原因:
- 对数收益可以解释为连续复合收益。
- 日志返回是时间累加的。多周期日志返回只是单周期日志返回的总和。
- 使用对数收益表可以防止证券价格在证券模型中变为负数返回。
- 对于许多目的,可以将证券的日志返回合理地建模为根据正态分布进行分布。 当收益和对数收益很小(其绝对值远小于1)时,它们的值近似相等。
- 对数有助于使算法在数值上更稳定。
动量交易
投资组合是由投资公司,对冲基金,金融机构或个人持有和/或管理的投资的集合。

多头(long)是指在资产价格将上涨的预期下购买资产。
空头(short)是指在资产价格会下跌的预期前出售资产。 实际上,投资者通过从经纪公司借入股票(同意支付一定的利率作为费用)从空头头寸中获利,在公开市场上出售股票,然后以较低的价格在公开市场上买回股票, 将它们退还给经纪公司。
alpha
您会在整个程序中听到“ alpha”一词,因此我们想让您早一点知道“ alpha”一词在投资行业中的含义是多种多样。
在数学中,您会看到alpha表示假设检验的显着性水平。在回归中,您会看到alpha是指直线的y截距。
在金融领域,阿尔法是指多个不同但有些相关的想法。这些定义之间的共同点是,alpha是投资专业人员可以为投资绩效增加的额外价值。
alpha的一个特定定义是积极管理的基金可以提供的额外回报,超过了被动投资(购买和持有)股票投资组合的表现。在本课程中,我们将主要关注的另一个alpha定义是alpha向量。
alpha向量是数字列表,一个投资组合中的每个股票都有一个数字,它向我们发出了有关这些股票的相对未来表现的信号。您将在第1学期中了解有关alpha向量的更多信息。
需要明确的是,学术界和工业界的金融界都使用alpha来表示多种想法。
您可能已经注意到,在谈到假设检验时,我们在统计意义上使用“ alpha”。在说我们可以“找到战略”时也用过。第二种用法是指财务专业人员可以为投资增加的超大型性能,或优于被动的性能。稍后,我们将在alpha向量的意义上使用它,alpha向量是一个数字列表,可向我们提供有关每种股票相对表现的信号。