
文 |绯娱罐头
编辑 | 绯娱罐头
●○引言○●
大型油浸式电力变压器是电网的核心装备,是变电运维的工作重点,当变压器出现内部故障时,往往需要人工内检,才能明确认定故障类型,进而制定合理的检修方案。
但是,变压器内检工作较为复杂,耗时、费力、环境适应性较差,且有一定的人员风险及变压器受潮风险。

而采用潜游机器人代替人开展变压器内部检测,能够避免放油作业,也能避免绝缘受潮风险,缩短作业时间,大大提升现场工作效率,提高工作质量,降低工作风险及检修成本。
近些年随着机器代人理念及技术得到广泛重视,随着工业技术的迅速发展,潜游机器人技术已应用于变压器内检场景中。

而油浸式变压器机器人一般采用螺旋桨、仿生结构和射流式3种推进方式,变压器潜游机器人的推进器不论利用哪种推进方式,都将与变压器绝缘油产生相互作用。
而这一过程可能会产生气泡,气泡是变压器在投产及运行过程中极力避免的。

但是当变压器油中含有气泡可能导致介电强度显著降低,从而降低变压器油绝缘强度危害,使变压器安全稳定运行,因此明确潜游机器人推进器在变压器油中的空化机理,及给出推进器设计和控制建议是十分必要的。
通过实验和仿真,基于水中螺旋桨空化理论,将水中的空化判据推广到变压器油中,重点对油温、转速及潜游深度3个影响因素进行研究。

那么通过实验,测量了不同运行年份变压器绝缘油样的起泡气压值,建立了同现有潜游机器人螺旋桨尺寸一致的二维仿真模型。
通过仿真计算桨叶背部的最大流速,从而得出不同工况下的减压系数与空泡数曲线及其交点,定性分析了空泡产生情况,并得出不引发气泡的理论转速限值,为潜游机器人的推进器设计及操作规范提供了重要的依据。

在实验前,使用工业超声清洗机(F-100S)对玻璃油杯进行超声清洗,使用真空干燥箱(DZF-6020)对烧杯干燥处理,实验取用运行年限为5、10、15年产自克拉玛依的25号变压器绝缘油,如下图所示。

而随着运行年限的增加,变压器绝缘油的颜色也随之变深,为测得在不同温度下的变压器绝缘油起泡压力,油样起泡实验在真空干燥箱中进行,变压器潜游机器人设计工作温度区间为0~60℃。
为控制变量,取9组相同的5、10、15年变压器绝缘油,从最高温度60℃开始实验,将一组装有5、10、15年油样的油杯置于真空干燥箱中,升温至真空干燥箱预设温度,保持温度恒定1.5h使油温与箱内温度一致。

首先使用配套的真空泵抽取真空干燥箱内空气降压,从一个标准大气压开始降压。
每次降压后保持10min,直至观察到油杯中出现第一个气泡为止,记下此时真空干燥箱内气压。

然后将变压器潜游机器人置于实验变压器,实验变压器为一简易单相变压器,其尺寸为(1×1×1)m3,内置围屏尺寸ϕ600mm×60mm,如上图所示,变压器潜游机器人在油箱内壁与围屏之间工作。
而在实验变压器运行后,开盖放入潜游机器人进行实验,实验时记下当前变压器油温,通过外部摄像机和潜游机器人内置监视摄像,观察潜游机器人在变压器油中的起泡情况。

那么为更清楚的观察变压器潜游机器人螺旋桨,在油中工作时的产生气泡情况,设计制作了专用设备进行观察实验,实验设备见下图。

实验装置由上下两个结构组成,上部为集成固定了电机调速器的树脂盖,采用12V直流550电动机。
通过同轴器驱动螺旋桨,使用PWM直流调速器控制电动机转速,可实现电机的理论调速范围为0~15000n/min。

且下部是定制的玻璃容器尺寸为ϕ200mm×300mm,而*拟机模**器人在变压器内狭小空间中工作,其螺旋桨潜游深度(h)可调,且可更换螺旋桨。
实验采用课题组研制的变压器潜游机器人螺旋桨作为研究对象,螺旋桨直径38mm、桨毂直径22mm、桨叶弦长17.2mm、桨叶攻角ak=35.53°、桨叶数为3。

实验时,首先记录当前实验温度,调节螺旋桨潜入深度h,通过调速器控制螺旋桨转速,观察油中起泡情况。

在实验变压器中放置变压器潜游机器人,当变压器油温为61.5℃时,有以下几种情况观察到产生气泡。
情况1:潜游机器人浸入绝缘油液面以下前启动机器人螺旋桨,将导致机器人螺旋桨在空气—油液面交汇处“搅拌”两者从而产生大量气泡。

情况2:浸入油液面以下前未启动潜游机器人,但由于机器人本体结构导致空气被携带至油中,当机器人螺旋桨启动时空气溢出产生气泡,此时产生的气泡与情况1相比较少,见下图。

情况3:不启动机器人,且当潜游机器人完全浸入液面以下,充分翻转潜游机器人并使其螺旋桨运转一段时间以排除情况2产生气泡的条件。
当潜游机器人开始加速移动时,通过潜游机器人摄像头监视画面发现周围有气泡产生。

1、2两种情况可通过简单操作方法从而避免气泡产生,对于情况3则是实验研究的对象。
那么在上述情况工况下,变压器潜游机器人在油中产生气泡后,气泡上升缓慢,且当油道中存在遮挡物时气泡难以消散。

而由潜游机器人产生的气泡驻留在实验变压器垫块下,且经24h静置后观察同一位置气泡仍旧存在。
由以上实验可证明,变压器潜游机器人在情况3工况下在作业时产生了气泡,且气泡不易消散。

为验证机器人螺旋桨在运作时产生的瞬时负压,即螺旋桨在变压器油中的空化作用,导致变压器绝缘油产生了气泡这一猜想,实验中设计了变压器油在一定温度和负压条件下产生气泡实验。
那么调节螺旋桨潜游深度为150mm,与变压器机器人恰好浸没在油中时,机器人螺旋桨距油液面的高度保持一致,实验温度为25.3℃,在这个过程中未观察到桨叶周围有气泡产生。

且当转速过高并保持一段时间后会卷起漩涡,将对绝缘油造成大的扰动,空气与油混合产生大量气泡。
而油样在真空干燥箱中产生气泡现象,气泡直径约为0.2mm,观察到气泡上升缓慢且当气泡到达液面处时不易破裂消散。

经实验测得5、10、15年变压器油的起泡实验结果见表1。
从表1可以看出随着运行年份的增加,起泡气压逐渐降低,且随着温度的升高起泡气压也降低,考虑随着变压器油运行年限的增加,变压器绝缘油中存在大量空化核(水分、气核和其他杂质等)。

这些空化核的含量并会随着运行年限逐渐升高,如新变压器绝缘中水分含量质量分数一般为0.4%~0.8%,且会随着运行年限逐年增加,增速为每年0.1%~0.2%。
而老旧变压器水分含量一般为3%~5%,而这些空化核的存在导致了长年份变压器油样的气泡气压降低。

实验发现,当油温降为30℃时,即便降低箱内气压接近真空时3个油样也均未见有气泡产生。
因此在30℃时,利用变压器潜游机器人进行变压器内检工作时,基本不会引发气泡影响变压器油绝缘性能。

而由变压器油气泡产生实验,验证了当变压器油处于一定的温度和压力条件下会产生气泡,为进一步明确变压器潜游机器人在油中引发气泡机理从理论角度进一步分析。
那么根据船舶理论,螺旋桨在水中工作时,桨叶的叶背压力降低形成吸力面,若某处的压力降至临界值以下时,导致爆发式的汽化,水汽通过界面,进入气核并使之膨胀,形成气泡。

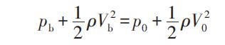
一般认为,压力的临界值即为该温度时水的汽化压力即饱和蒸汽压力pv,以桨叶最外半径处切面的运动说明产生空泡的情况。
首先设水为理想流体并在远处以流速V0攻角ak流向叶切面,叶背上的水流速度大于V0,压力则小于p0形成“吸力”,而叶面上的水流速度小于V0,压力大于p0,形成“压力”。

其中在叶背上取一点B,设该处的压力为pb、流速为Vb,并与切面远前方的A点位于同一流线上,由于运动是定常的,故可用伯努利方程确定A、B两点处压力及速度之间的关系式见下图。

再利用以上变压器潜游机器人油中空化影响因素,对机器人螺旋桨模型进一步仿真,可以得出变压器潜游机器人操作建议。

实验通过有限元软件,进行螺旋桨桨叶二维切片简化模型的流场仿真,通过控制油流自左向右的入流速度,来模拟螺旋桨转速变化。
然后更改各个温度下变压器油粘度来模拟温度变化,从而计算桨叶背部最大流速,得出减压系数与空泡数定性分析空泡产生情况及界限。

变压器潜游机器人潜游深度归于对空泡数的修正,实现潜游机器人螺旋桨转速、变压器绝缘油温度及潜游深度3个因素,对潜游机器人螺旋桨空化的影响分析,最后根据仿真结果给出变压器机器人操作意见。
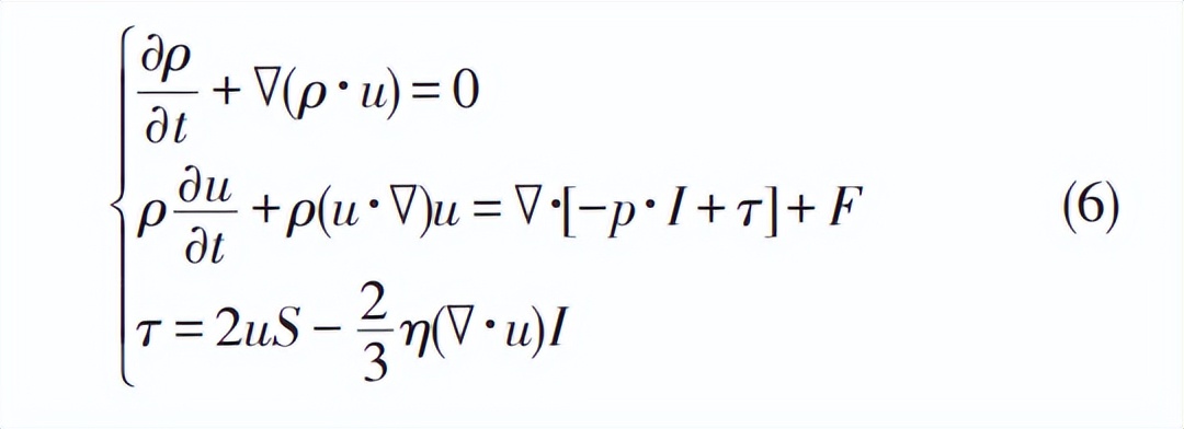
而二维流体仿真遵循纳维—斯托克斯方程(Navier⁃Stokesequation),式(6)为描述粘性不可压缩流体动量守恒的运动方程。

那么由仿真结果可知,在叶背上方出现油流速度最大区域,取该区域中的最大速度用以计算减压系数ε,计算得出变压器油温度分别为40℃、50℃、60℃,深度为150mm时的减压系数ε与空泡数σ曲线见下图,曲线交点即该温度下的转速限值。

由式(2)可知,只与叶切面的参数有关(形状、入射角、及B点的位置等),与流场的参数无关,由仿真结果可知,减压系数ε在不同温度下基本不变,而空泡数σ随着温度的升高而减小,而空泡数越低越易产生空泡,仿真结果满足理论分析。

●○结论○●
在理论及实验分析变压器油空化机理的基础上,研究人员利用软件对变压器潜游机器人螺旋桨在变压器油中流体力学进行分析,得到的结论:
变压器潜游机器人推进器,在变压器绝缘油中工作时当转速过高的情况下,将会产生气泡。

但是随着绝缘油温度的增加,越易于产生气泡,在油表层易产生气泡应当极力避免,随着潜游深度增加,转速限值将有所提高,可根据最浅情况推算。
故可以通过控制螺旋桨转速在理论限值之下,从而抑制气泡产生或减少气泡产生的量。
通过研究,对于不同运行年限的大型油浸式电力变压器,空化与油品纯净度关联,在利用变压器潜游机器人对其进行检修作业之前。

应先取出变压器油样,对其进行预实验,从而得到油品产泡性能估计值,对潜游机器人螺旋桨工作转速限值予以修正。
综上所述,在设计制造变压器潜游机器人时,需充分考虑潜游机器人油中的空化现象及风险,优化潜游机器人推进器设计,确保检修安全及变压器绝缘不受影响。