编译:飞奔的小马
来源:肿瘤资讯
在霍奇金淋巴瘤(HL)患者中,心包积液的发生率为5%-24%,但对这部分患者的临床特征及治疗预后了解并不充分。近日,研究者回顾了COG AHOD0031Ⅲ期临床试验中度风险HL儿童患者的心包积液发病率、临床特征和预后,为此类患者的治疗提供一定依据。
在大多数情况下,出现心包积液的HL患者并不会进行专门的对症治疗,心包积液的症状也是通过治疗恶性肿瘤来解决,但在少数患者中,心包积液则可能导致心包填塞,此时需要立即进行干预。
基本情况
研究中所有参与者均接受阿霉素、博来霉素、长春新碱、足叶乙甙、强的松和环磷酰胺(ABVE-PC)2个周期的治疗,随后对治疗效果进行评估,并将患者分为快速早期疗效组(RER)与缓慢早期疗效组(SER)。缓慢早期疗效组的患者被随机分为两个治疗组:一组继续接受ABVE-PC方案2个周期的治疗,并同时接受地塞米松、依托泊苷、顺铂和阿糖胞苷(DECA)治疗;另一组仅接受ABVE-PC方案治疗。该组中所有患者均接受21 Gy的受累野放射治疗(IFRT)。快速早期疗效组均接受额外2个周期的ABVE-PC治疗,其中获得完全疗效的患者被随机分为两组:一组接受IFRT,另一组不接受IFRT;未获完全疗效的患者均接受IFRT。

在有足够影像学信息的1423例患者中,288例(20.2%)存在心包积液,其中87例(6.1%)为中度以上,201例(14.1%)心包积液较少。而在实际诊断过程中,仅中度以上心包积液的患者被评估为心包积液。本次报道的心包积液发病率与既往报道的成年患者中发病率相似。与无心包积液的患者相比,出现心包积液的患者年龄较大(P = 0.0075),女性多见(P = 0.023),且更有可能出现纵隔淋巴结肿大(P<0.0001)和组织结节性硬化(P = 0.0076)。

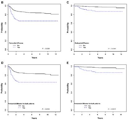
心包积液与预后的关系
心包积液患者的无事件生存(EFS)和总体生存(OS)较无心包积液者更差(P<0.0001)。心包积液阳性组和阴性组的5年EFS率分别为65.2%和84.6%,OS率分别为88.7%和98%。对于存在肿块的患者而言,心包积液会使EFS和OS更差(P<0.0001),5年EFS率分别为63.6%和83.7%,OS率为88%和98.1%。
在心包积液患者中,38例(43.7%)为缓慢早期疗效组,而在无心包积液的1336例患者中,这仅226例(16.9%)为缓慢早期疗效组,两者之间差异显著(P<0.0001)。
总体而言,该研究中快速早期疗效组的患者EFS和OS更高,但对于心包积液的患者而言,快、缓慢早期疗效组之间的EFS(P=0.58)和EFS(P=0.71)无明显差异。对于存在心包积液的患者而言,即使获得了快速的早期完全疗效,也不能从IFRT中获益。在心包积液患者中,治疗的3年内有28例患者复发,1例患者死亡。

研究人员使用儿童国际霍奇金淋巴瘤评分(CHIPS)对心包积液患者的预后情况进行了评估(≥2分为高危)。结果发现,在87例心包积液患者中,9例1分,58例2分,20例3分;1分者比2分以上者预后更好。Cox多因素分析显示,心包积液、年龄、发热、白蛋白和是否出现快速早期疗效是具有统计学意义的预后影响因素。
结语
虽然心包积液在霍奇金淋巴瘤的临床治疗中常不被特别重视,也常在化疗中出现,但是它却是儿童/青少年中等风险霍奇金淋巴瘤的独立不良预后指标。多因素Cox回归分析也表明,当与其他风险因素同时考虑时,心包积液的存在也在无事件生存期方面起到了重要的作用。虽然更多的研究仍有待进一步进行,但心包积液在儿童霍奇金淋巴瘤预后中的作用绝对不容忽视。
参考文献
Marks, L.J., et al., Pericardial Effusion in Hodgkin Lymphoma: A Report from the Children's Oncology Group AHOD0031. Blood, 2018.
责任编辑:肿瘤资讯-Amiee
版权声明
版权属肿瘤资讯所有。欢迎个人转发分享,其他任何媒体、网站如需转载或引用本网版权所有内容,须获得授权,且在醒目位置处注明“转自:良医汇-肿瘤医生APP”。
欲了解更多血液肿瘤相关资讯,与全国各地血液肿瘤医生交流、讨论,请扫描以下二维码,备注“血液肿瘤”,添加肿瘤资讯小助手-娜小编微信!