

食用胶体 已经与我们的生活已经密不可分,肉制品,丸子、蛋糕、奶制品甚至是面制品中都有胶体的身影,但是随着大众对食品安全越来越关注,出问题的生产厂家频频出现在大众眼前,使大家现在对食品添加剂望而生畏。
食用胶体≠胶水 ,大家经常看到的视频中提到的将肉粘合在一起的“胶水”,一般是指TG酶(谷氨酰胺转氨酶), 可以通过添加一定量的TG酶来将不同种类的肉粘连起来,一般用于制作牛排、肥牛、肥羊等肉制品,之前的文章也有介绍过。

食品行业中的胶体一般是指卡拉胶、魔芋胶、黄原胶、瓜尔豆胶、琼脂、明胶、果胶等,他们大体可分为两类,一种是 蛋白类 胶体,一种是 多糖类 胶体。

多糖类胶体根据提取物的不同,又基本分为4类,海藻提取物(卡拉胶、琼脂)、植物提取物(魔芋胶、瓜尔豆胶、果胶)、发酵提取物(黄原胶)以及合成胶体(HPMC、CMC)。
食用胶体的种类如此之多,食品中添加了胶体,起到的作用是什么?

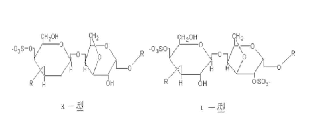
不同的胶体作用不同,就单单是卡拉胶也细分为7个种类,我们平时常用的分别为κ-型、ι-型、λ-型这三种。其物理性质类似,但是κ-型卡拉胶对钾离子敏感,形成脆性凝胶,有泌水性;ι-型卡拉胶对钙离子敏感,形成柔性凝胶,不泌水;根据其特性不同,他们的作用也有所区别。
魔芋胶 是粘度很高的食用胶体,冷水溶胀,1%溶液粘度最高能达到50,000 m.Pas;有胶体中最高的膨胀率,可达体积100~200倍和卡拉胶有良好的协同作用,提高强度。在高温和碱作用下,脱乙酰化,形成不可逆凝胶。魔芋胶主要用于丸子类产品的制作,因其吸水性强,还可以降低丸子的生产成本,搭配卡拉胶等复配使用,还可以让丸子增弹增脆,丰富口感。
如此多种类的胶体,他们的作用各不相同,但作用上大致上可以分为 增稠、凝胶、乳化稳定、油脂替代、包裹、粘附。

食用胶体可以用于改善肉制品的结构,丸子增弹增脆,肉制品蔬菜锁水。甚至现在的太空食品上也运用了胶体,像一些容易掉渣的食物,将食物做成一口可以吃掉的大小,外部使用胶体进行包裹,防止食物残渣飞出,这样也使太空食品的种类大大丰富。
所以胶体≠胶水,胶体的胶是指一种状态;而胶水的胶更多的是一种粘合的动作。
可以说食用胶体的使用,大大的改善丰富了我们的生活,无论是我们日常所吃到的食品,还是农业、医学、航天等等方面都有胶体的身影,食品中添加食用胶体也并非豺狼虎豹,我们合理应用胶体的特性及性质,适当的使用添加,不仅仅可以 提高肉的保水性,提高出品率,而且还能改善组织结构,增强保水性,降低生产成本,还可防止渗油渗水现象的出现。