可能很多人都知道PE估值,但是每家公司具体给多少倍市盈率,每个人有每个人的看法。很多人用行业平均值稍加调整作为一家公司的合理市盈率,说实话,当年我也是用这种方法计算公司市盈率的,但是并不知道其中的缘由。近几年学习了多种估值方法,方才知晓其中缘由。
今天我就通过DCF的估值逻辑,教大家估值原理和怎样快速给出一个合理的行业平均PE。

一、达到天花板后的市盈率
众所周知,市盈率就是股价与每股收益的比值,也是投资一家公司的回本年数。那么如果一家行业达到天花板,行业内的某公司以后的净利润(或自由现金流)永远固定(不计算通胀),市场会给这个公司多少市盈率呢?
8-12倍。
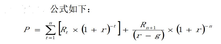
这个数是怎么算出来的呢?我们先用自由现金流折现的方法算出这家达到公司的价值。

其中:
Rt:明确预测期的第t期的自由现金流,自由现金流=EBITDA-营运资金增加额-资本性支出
t:明确预测期期数1,2,3··· ,n;
r:折现率
Rn+1:永续期自由现金流;
g:永续期的增长率;
n:明确预测期第末年。
由于前文已表明,该公司已经达到天花板,且无增长,上面的公式简化最终结果是P=Rt/(r-g),g=0,最终结果只和折现率r有关了。
我们采用资本资产定价模型(CAPM)计算折现率,计算公式如下:

其中:
r:折现率;
Rf:无风险回报率;
β :风险系数;
Rm:风险收益率;
Rc:公司特有风险超额收益率。
接下来我们只要把公式中未知的数字找出来,就可以了。
Rf无风险回报率我们一般采用十年期国债利率,这里取3.33%。

风险系数β其是目标股票与大盘的相关性,可以通过EXCEL的correl函数算出来,一般在0.8-1.2之间。
风险收益率Rm我们一般用5年沪深300平均收益率来计算,根据wind数据此数值为8.49%。其实也可以根据自己的风险偏好来决定,比如我风险偏好稍微大一点,我想跑赢通胀2%-3%之后再赚8.5%,这样我自己的风险收益率就在10%-11%左右。中国平安和中国太平在2018年年报中都采用的风险贴现率为11%。
将上面几个数值带入公式,最终算出r在8.5%—12.5%之间。
最后把折现率带入上面的公式P=Rt/r,算出来总市值等于8-11.76倍的净利润。也就是说,在公司收入无增长的情况下,市场一般会给一家公司8-12倍的市盈率,也就是说投资这样的企业大概要8-12年回本。(下文为方便表达,全部取平均数10倍)
顺便提一句,如果一家公司的PE低于8倍,一方面是公司可能存在风险资产,在算出估值后减去了风险资产的期望损失,比如银行的坏账;另一方面是公司的产品有价格降低风险,或者销量下滑风险,比如目前市场上担心的水泥价格下跌。
二、确定行业天花板
1)为什么要确定行业天花板?
因为当一家企业的现有业务达到天花板时,企业所在的行业竞争格局基本处于稳定状态,因此企业无法通过自身的扩张来获得更高的增长,只能通过行业整体规模的缓慢增大,从而得到些许的增长。因此,我们只需要看现在行业竞争格局和未来达到天花板之后的竞争格局的差距,就可以判断行业平均市盈率与10倍市盈率的差距,从而轻松判断合理的市盈率。
同时,上文公式中也可以看到,当公司达到天花板时,是需要折现的,所以我们还需要确定达到天花板的时间。

2)如果行业有增长或者下滑呢?
根据以上公式,公式最终化简结果是P=Rt/(r-g)。如果行业出现增长,g>0,所以r-g<r,那么P将增大,这也意味着市盈率将大于10倍;反之,如果行业出现下滑,g>0,所以r-g>r,市盈率将小于10倍。
三、举个栗子:连锁药店行业
药店行业长期的利好因素是处方药外流,在“4+7”带量采购之后,不少未中标药企选择了和药店合作。“互联网+医疗”新规之后,“互联网+医疗”平台发展也比较迅猛,可能将加速处方药外流。近期莆田也开出了第一张电子处方单,凭电子处方单即可去药店提药,进一步利好药店。

那么我们如何确定药店行业的平均市盈率呢?
首先判断药店行业现状。2018年5月商务部市场秩序司发布了一份2017版《药品流通行业统计分析报告》。报告里提到,2017年全国7大类医药商品销售总额20016亿元,其中零售市场4003亿元(约20%)。
然后,分析连锁药店在药店行业中的情况。《药品流通行业统计分析报告》显示,截至2017年11月,全国共有药品连锁企业5409家,下辖门店229224家,药品零售连锁率已达到 50.5%,也就是说连锁药店目前销售额近2022亿元。

接着,分析行业到达天花板时的情况。根据申万研报数据来看,在降药价政策的推行下,日本医药分家的效率和处方外流率也不断提升(处方外流率=药店处方药量/门诊处方总量),从1989年的11.3%提升至2017年的 72.4%,也就是说,如果中国处方药外流空间还很大。

如果中国处方药外流达到60%,那么上文提到的非零售市场的总销售额(20016-4003=)160012亿(约80%)的一半将外流。也就意味着8000亿的处方药将进入零售市场。考虑到4+7带量采购使仿制药平均降价了52%,我们进一步保守一些平均降价60%,则有3200亿元的处方药将进入零售市场。届时,零售市场规模将达到7203亿元。
另一方面,连锁化率也会继续提升。可比的美国药店连锁化率在62%,日本药妆药店的连锁化率在90%。

也就是说,如果中国药店连锁化率达到60%,则有7203×0.6=4322亿药品在连锁药店销售。
再看一下连锁药店集中度的变化。据《中国药店》数据显示,2016年中国零售药店行业top5连锁药店收入整个行业的比重约10.7%; top10连锁药店收入占比整个行业的比重约16.8%; top100连锁药店收入占比整个行业的比重约29.1%。也就意味着339.7亿元的销售额在top10的连锁药店销售。

而美国前三大连锁药店(CVS、WBA、 RAD)市占率超过77%,远高于目前国内连锁药店的市场集中度。假如中国top10的连锁药店的集中度达到60%,在处方药外流的基础上,连锁药店的销售额将达到4322×0.6=2593亿元。
连锁药店的销售额从339.7亿元增长至2593亿元,后者是前者的7.63倍,所以连锁药店的平均市盈率应该在76.3倍。考虑到数据陈旧等因素,所以按当前情况,达到天花板行业平均市盈率在65倍比较合理。
最后再将其折现。由于我认定“互联网+医疗”将加速处方药外流,而且在资本的推动下top10的集中度也将加速提升,所以我认为7年内能达到日本1989年至2004年15年的效果,连锁化率从11%增长到60%。所以将65倍市盈率折现7年,按10%折现率计算,目前合理的连锁药店行业平均值在33.35倍左右。
根据wind的行业分类及数据来看,行业平均市盈率基本符合判断,因此这种计算方式是合理的。

资料来源:wind
小结:首先要判断当下行业的发展情况;然后再用行业达到天花板时的市场规模与当前市场规模进行比较,计算两者之间的差距;最后再将达到天花板时的市盈率折现,即可得到当前合理的市盈率。
四、总结
如果在没有增长的情况下,一般我们会给一家公司或行业8-12倍的市盈率。如果通胀率、国债收益率或风险收益率降低,折现率就会降低,市盈率就略微高一点;如果通胀率、国债收益率或风险收益率增加,折现率就会增加,市盈率就会降低一点。
由于数据陈旧等因素,所以我们在计算出行业市盈率后,应当适当降低市盈率。如果行业有什么事件突破现有天花板,我们可以适当增大市盈率。
谨记,一定要记得折现。
以上仅为个人观点,不构成投资建议