
招聘啦!招聘啦!
沈阳公开招聘363人!
涉及和平、大东、皇姑、
沈北、浑南等……

沈阳公开招录 高校毕业生
基层公共岗位服务计划人员363人
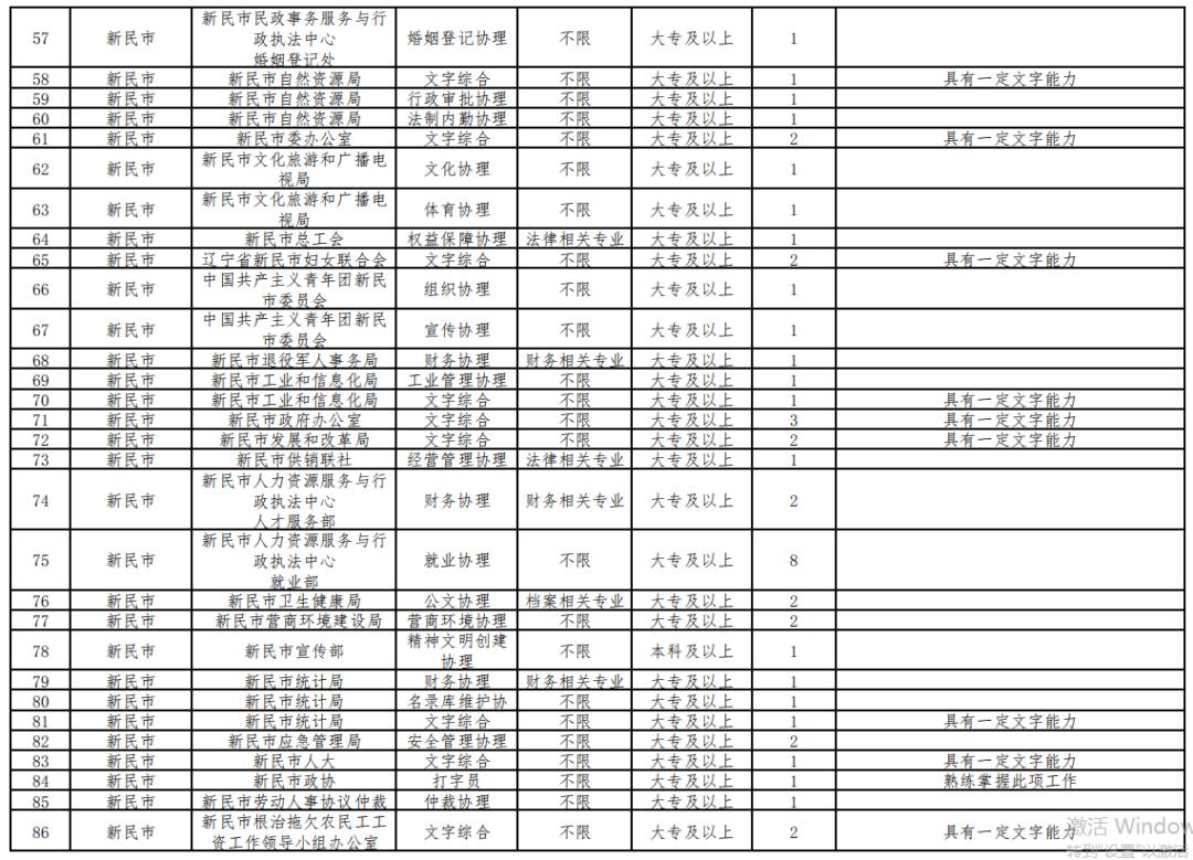
3月19日,记者从市人社局获悉,沈阳市面向社会公开招录高校毕业生基层公共岗位服务计划人员363人。
据了解,此次招录对象须为2016年3月(含)至2021年3月(含)毕业的普通高校毕业生,或2018年第一批参加高校毕业生基层公共岗位服务计划且在岗的服务人员(1986年3月1日以后出生)。招录对象以外其他正在高校毕业生基层公共服务岗位工作的人员不可报考。
招录岗位信息通过沈阳市人力资源和社会保障局(rsj.shenyang.gov.cn)、沈阳市人力资源服务与行政执法中心(www.syhrsa.org.cn)官方网站统一发布。
招录考试由各区县人社部门组织实施。考试分为笔试和面试两个环节:笔试内容为行政职业能力测验,满分100分。笔试结束后依据相关岗位笔试成绩从高分到低分排序,按照1:2比例确定面试人员(成绩并列人员同时参加面试),笔试成绩于笔试结束后在区、县(市)政府网站公示。
面试以结构化面试为主,满分100分,面试结束后按权重成绩(权重成绩=笔试成绩×50%+面试成绩×50%)从高分到低分排序(权重成绩相同,面试成绩高者优先),确定体检人员。面试成绩于面试结束后在区、县(市)政府网站公示。
体检工作由各区县人社部门组织。具体考试和体检时间请关注各区、县(市)官方网站。
各区、县(市)有关责任部门与公示期满人员签订《沈阳市高校毕业生基层公共岗位服务计划协议书》,并于5月1日统一组织培训、上岗。
本次考试不收取报名费用。
基层公共岗位服务计划人员服务期限为3年(含过渡期2个月),主要从事基层人力资源和社会保障管理、文化科技、医疗卫生等服务工作。
基层公共岗位服务计划人员在岗期间享受工作生活补贴为每人每月3000元(含五险一金个人承担部分)。
区、县(市)人力资源和社会保障局为在岗服务人员缴纳社会保险(包含养老险、医疗险、失业险、工伤险、生育险)和住房公积金。
市本级和各区县有关部门不对服务期满人员进行就业安置,需本人自主择业。其缴纳养老保险的服务期限计算为工作年限。对服务期满考核结果为优秀的(占考核人员总数20%),在岗位需要的前提下,各区县人社部门可使用当年招录指标与其续签三年服务协议,同一人员服务期满考核优秀并续签延长服务期限的激励政策仅可享受一次。对服务期满,考核等次为合格及以上人员,在不超过35周岁前,可取消毕业年限的限制,再次报考符合条件的基层公共服务岗位直至被录用,上述激励政策仅可享受一次。已续签延长服务期人员服务期满,不可享受该政策。
本次招录对专业的设置参考学信网专业知识库。
网址:
大专、本科:
https://gaokao.chsi.com.cn/zyk/zybk/
研究生:
https://yz.chsi.com.cn/zyk
岗位在这里!

赶紧转发,让更多人知道!

来源:指尖沈阳、沈报全媒体记者 丁宁
