随着国民经济和社会的发展,城市中需要大量兴建高架桥和立交桥,但由于城市交通功能的要求和地形条件的限制,多采用曲线桥梁和匝道桥。这些桥梁线型变化多端,结构受力比较复杂,特别是小半径曲线梁桥,除承受弯矩、剪力外,还有较大扭矩和翘曲双力矩的作用。因此小半径曲线梁桥的设计越来越引起人们的重视,当务之急是我国现行相关技术规范和设计计算理论有待进一步研究和完善。
一、小半径曲线桥梁的设计要点
1、曲线梁桥的力学特性
(一)梁内外侧受力不均
由于扭矩的作用会造成外梁超载、内梁卸载等问题,致使弯梁桥外边缘弯曲应力大于内边缘,外边缘挠度大于内边缘,内梁和外梁受力不均,反应到箱梁上则是内外腹板受力不均。当活载偏置时,内梁支点甚至可能产生负反力,甚至会出现梁体与支座脱离的问题发生。

(二)挠曲变形
曲线箱梁桥的挠曲变形一般要比相同跨径的直线桥大,弯桥的挠曲变形是弯曲和扭转的迭加。

(三)横向水平力
汽车在曲线梁桥上行驶时会对桥梁产生水平方向的离心力。预应力、混凝土收缩徐变及温度变化等不仅对桥梁会产生纵向水平力,也会产生横向水平力。外荷载对桥梁产生的横向水平力会增大梁体截面扭矩和桥墩弯矩,并有可能造成横向的位移或者是桥梁在平面的转动。
(四)翘曲与畸变
对于弯箱桥梁,由于在弯扭耦合的作用下会出现综合截面应力相对直线桥梁而言较大的问题,特别是在截面扭转以及畸变作用下,这一问题更突出。但其数值往往只占基本弯曲应力和纯扭转剪应力的5%~10%,经过初步的估算,在设计过程中可以采取增设横隔板的设计处理方式,尽可能的控制截面畸变变形。
2、小半径曲线桥梁的设计要点
(一)箱梁的设计
弯梁桥的弯扭刚度比对结构的受力状态和变形状态有着直接的关系:弯扭刚度比越大,由曲率因素而导致的扭转弯形越大,因此,对于弯梁桥而言在满足竖向变形的前提下,应尽可能减小抗弯刚度、增大抗扭刚度。所以在曲线梁桥中,宜选用低高度梁和抗扭惯矩较大的箱形截面。小半径曲线梁桥的梁高大于跨径的1/18时,是比较经济的。在特殊情况下也不应小于跨径的 1/22 。
在曲线梁桥截面设计时,要在桥跨范围内设置一些横隔板,以加强横桥向刚度并保持全桥稳定性。在截面发生较大变化的位置,要设渐变段过渡,减小应力集中效应。
在进行配筋设计时要充分考虑扭矩效应,弯梁应在腹板侧面布置较多受力钢筋,其截面上下缘钢筋也比同等跨径的直桥多,且应配置较多的抗扭箍筋。在预应力混凝土曲线梁桥中,应设置防崩钢筋。
由于混凝土的收缩、徐变涉及的因素较多,每个工程中混凝土的材料、级配不尽相同,要很精确的计算出混凝土收缩、徐变对小半径曲线梁桥的作用较难。故在设计小半径曲线梁桥,最好采用普通钢筋混凝土结构。对于预应力混凝土曲线梁桥,纵向预应力筋采用高强度低松弛钢绞线,但钢束一般不大于12-7ф5,压应力应小于12MPa,拉应力小于1MPa,为预应力A 类构件即可。
(二)支承方式的选择
在曲线桥中,不同的支承方式对上、下部结构内力影响较大,一般支承分为两种类型:抗扭支承和点铰支承。
抗扭支承通常由横向两个以上的板式橡胶支座或盆式橡胶支座组成,而点铰支座只由一个板式或盆式橡胶支座组成,常常配以独柱墩。连续梁端常采用抗扭支座,该支承方式可有效提高主梁的横向抗扭性能,保证其横向稳定性。曲线桥的中间支承可用抗扭支承也可用点铰支承,在实际工程中大多采用盆式或圆板橡胶支座,以适应主梁纵横向的变形要求。但是如果在采用墩高较大的独柱式中墩构造时,更宜采用墩梁固结的构造,充分利用桥的柔性来适应曲线桥的变形要求,从而获得较好的经济效果。
(三)小半径曲线桥梁支座的布置形式
曲线箱梁桥支座的布置型式通常全部采用抗扭支承、两端设置抗扭支承,中间设单支点铰支承、两端设置抗扭支承,中间既有单支点铰支承,又有抗扭支承的混合式支承,下部墩柱应与之相匹配。
在曲线箱梁桥中,两端为抗扭支座(双支座),联内安置几个铰支座的布置已不多见,即使对小跨径小半径的非预应力曲线梁,一般也采用设内、外偏心支座方案。通常预应力钢束引起的扭矩随弯曲半径的减小而加大,总的扭矩随跨长而增大,因此跨中的偏心支座,在与偏心距的设置上要分别考虑以下几方面的影响:
横向恒载不均匀的影响,可通过设置中墩偏心距e来解决;对于弯曲半径大于130m 的曲线梁,这个偏心距不大,一般在0.1m~0.2m 左右;

预应力束形成的这部分扭矩的影响相当大,有时在半径为130m、联跨长140m 的四跨曲线箱梁中可达20000KN·m 以上,若用增加跨中支座偏心距的办法,则跨中支座的总偏心距为e = e + e',式中,e'为抵抗预应力所产生的扭矩;若跨中支座按设内、外偏心支座的方案布置,偏心距的加大可使端部抗扭的双支座中的反力大致相等(或外侧支座反力稍大些);
曲线梁从施工完成到使用后的相当一段时间内均受到徐变、温度以及不均匀扭矩的影响,支座总有滑移,因此每联曲线梁必须设有一个固定支座,固定支座一般设在跨中,有时也可特意在跨中设固结墩;
若梁的线刚度较低,则在内侧边缘行驶车辆的活载作用下会使内侧受拉区产生较大的应力及挠度(或转角),此时可采用设内、外偏心支座的布置方案;
对于设内、外偏心支座的支座布置,梁内的扭距使梁产生扭转转动,与直线箱梁不同,曲线梁中这种扭转属于约束扭转,因此梁体内既有剪力滞效应,又有翘曲与畸变应力,当半径R足够大时这种影响不明显,从而使扭转有些类似于自由扭转,截面内只有剪力流;
对曲线箱梁而言,在曲线箱梁中布设一抗扭支座(可以是双支座, 也可以是固结墩)的方案是既合理又保险的方案,但这样的桥墩会发生由于外支座反力过大导致墩顶横梁开裂的事故,为防止这类事故的发生,可通过在墩顶横梁内布设预应力钢束或者加大墩顶的布筋密度来避免。
3、小半径曲线桥梁设计中应注意的问题
(一)计算分析
加强结构计算分析,除正常的荷载计入外,还应计入扭转产生的剪应力和翘曲正应力。优化预应力束线形,以减小扭矩。
(二)加强构造设计
1、合理布跨,可以适当控制边跨跨径,使边跨跨径与中跨比较接近。当受实际条件限制,边跨跨径与中跨差距较大时,也可考虑采取其他一些措施,比如调整边跨与中跨的自重等。有条件时尽量采用小跨径。
2、尽量布设抗扭支座,以减小扭矩,控制支座的最小压力,也可调整墩柱偏心以消除主梁扭转引起支座负反力。若仍不能消除主梁扭转引起支座负反力时,可根据扭转方向采取在主梁内侧加配重砼的方法予以解决,也可采用拉力支座。
3、在曲线梁桥截面设计时,要在桥跨范围内设置一些横隔板,以加强横桥向刚度并保持全桥稳定性。在截面发生较大变化的位置,要设渐变段过渡,减小应力集中效应。
4、在进行配筋设计时要充分考虑扭矩效应,弯梁应在腹板侧面布置较多受力钢筋,其截面上下缘钢筋也比同等跨径的直线桥多,且应配置较多的抗扭箍筋。加强防崩钢筋设计,以防预应力束过大造成径向腹板崩裂。



二、小半径曲线箱梁设计实例
为适应铁路部门“全封闭、全立交”的要求,拆除原平交道口并在原道口位置西侧新建一座上跨立交桥,由于受平面线形的限制,上跨主桥采用25m+36m+36m+25m预应力混凝土连续弯箱梁。
设计标准:
(1)设计荷载:公路-Ⅱ级;(2)温度荷载:结构体系温差±22℃,温度梯度参照10cm沥青铺装参数;(3)桥面净宽:8.0m;(4)设计车速:40km/h。
箱梁构造:
桥梁上部结构为四跨一联预应力混凝土连续曲线箱梁,位于在圆曲线和缓和曲线上,曲线半径最小为80m。分跨布置为:25m+36m+36m+25m=122m。主梁为单箱单室箱梁,梁高在第一跨由1.4m渐变为2.0m,在第三跨又由2.0m渐变为1.4m;梁高为跨径的1/17。顶板宽8.0m,底板宽4.0m,箱梁翼板悬臂2.0m,腹板厚50cm,顶.底板厚20cm。支点处设横隔梁,中横隔梁宽2.0m,端横隔梁宽1.0m。箱梁跨中横断面见图1。

预应力布置:
箱梁采用单向预应力体系。纵向预应力筋采用高强度低松弛钢绞线(12-7ф5及7-7ф5),钢束均为一端张拉。箱梁跨中预应力钢束布置见图1
支座布置:
由于本桥曲线半径较小,结构在荷载作用下,弯扭偶合作用明显,结构扭矩较大。为减小扭矩,在各墩均设置双支座。支座布置示意见图2。

防崩钢筋设置:
小半径曲线梁桥的纵向预应力钢束沿箱梁腹板平面曲线线型变化而布置成水平曲线,预应力钢束对混凝土产生较大的径向力,它除对相邻两预应力束之间的混凝土产生局部承压作用外,还对预力束与箱梁内弧侧之间的混凝土产生崩弹作用,故这种径向力对箱梁腹板的受力是很不利的。为了解决这个问题,在钢束布置时,相邻两预应力钢束之间留有14cm的混凝土厚度,箱梁腹板留有18cm的混凝土厚度保护层来抵抗这种侧向崩弹力,同时在腹板内设置防崩钢筋。防崩钢筋示意见图3。

设计要点:
(1)小半径曲线梁桥的构造形式与直线梁桥有不少相似之处,但由于它是曲线梁桥,其结构受力的特点不同,在构造处理上也相应有其较多特点。
(2)由于曲线梁桥比直线梁桥的受力复杂,对结构的抗弯、抗扭性能要求高于同跨径的直线梁桥,故采用整体性好、抗扭刚度大就地浇注的连续箱形梁桥比较好。
(3)弯桥异以直线桥梁受力的主要因素为:圆心角(反映主梁的弯曲程度)、桥梁宽度与曲率半径之比、弯扭刚度比、扇形惯性矩EIω。设计时对于以上因素综合分析,以确保计算的精度。
(4)小半径曲线梁桥的梁高大于跨径的1/18时,是比较经济的。在特殊情况下也不应小于跨径的1/22。
(5)由于混凝土的收缩、徐变涉及的因素较多,每个工程中混凝土的材料、级配不尽相同,要很精确的计算出混凝土收缩、徐变对小半径曲线梁桥的作用较难。故在设计小半径曲线梁桥,最好采用普通钢筋混凝土结构。对于预应力混凝土曲线梁桥,纵向预应力筋采用高强度低松弛钢绞线,但钢束一般不大于12-7ф5,压应力应小于12MPa,拉应力小于1MPa,为预应力A类构件即可。
(6)与一般的直线桥相比,曲线箱梁桥顶板、底板和腹板中的纵向受力钢筋、横向钢筋、箍筋、水平分布钢筋都要考虑到全桥计算和构造上的需要,并适当加强。
(7)在预应力混凝土曲线梁桥中设置防崩钢筋。
(8)在支承形式上,小半径曲线梁桥通常三种布置形式:a.全部采用抗扭支承。b.两端设置抗扭支承,中间设单支点铰支承。c.两端设置抗扭支承,中间既有单支点铰支承,又有抗扭支承的混合式支承,下部墩柱当与之相匹配。
对于多跨小半径曲线连续梁桥,全部为抗扭支承与中间为点铰支承的,两者在荷载作用下的弯矩和剪力值差别甚小,而且曲率的变化对弯矩值的影响也只有1%~2%;,但对扭矩的影响,则随曲率的增大而加大。当各跨圆心角大于30°时,中间设单支点铰支承的扭矩控制值比全部为抗扭支承的扭矩控制值要大15%左右。在中间设独柱式单支点曲线连续梁内,上部结构的扭矩不能通过中间单支点支承传至基础,而只能由曲线桥两端设置的抗扭支承来传递。在此情况下连续梁的全长成为受扭跨度,这也是我们常常所说的扭矩的传递作用。必然造成曲线桥两端抗扭支承处产生过大的扭矩,造成曲线梁端部内侧支座脱空,所以在必要时,须对多跨桥梁中间墩设置两支点的抗扭支承。
如果在中间墩点支承向曲线外侧方向预设一定偏心值,就可以调整曲线梁桥的梁体恒载扭矩分布,有效地降低两端抗扭支承的恒载扭矩值。但这一措施对减少活载扭矩的影响较小,这是由于活载引起的扭矩中车辆偏载占了很大一部分。
(9)必要时可在墩顶设置限位挡块或采用墩梁固接的办法来限制曲线梁桥的梁体径向位移。
三、小半径连续弯桥设计实例
一枢纽互通B、D匝道桥,因需跨越地面辅道系统和高架主线桥,由于受到周边地块的限制,该联跨径组合需为33m+55m+33m、平曲线半径R=100m,桥宽10.9m。因匝道桥位于第3层(B匝道)、第4层(D匝道),主墩墩高约14m(B匝道)和23m(D匝道)。考虑到墩高较高,本桥推荐采用预应力连续刚构体系,B、D匝道桥平面图见图1所示。
设计荷载:单向双车道、公路-Ⅰ级。

上部结构采用变截面斜腹板预应力箱梁,单箱单室断面,箱梁截面尺寸见图2所示。中支点处梁高3.5m、跨中梁高为2.5m;腹部除支点附近加厚至70cm外,其余为50cm;顶底板厚度为25cm。

小半径弯桥结构特点
内外侧梁受力不同: 由于主梁的“弯、扭”耦合效应,即便在对称荷载作用下,弯梁截面内也会产生较大的扭矩,则在内外侧腹部上弯矩剪应力与扭矩剪应力组合时,会出现外梁超载、内梁卸载现象;由于平曲线原因,恒载会产生向外侧翻转的扭矩、内外梁的跨径也会不同。这些均使得内外梁受力不均。
内外侧支座受力不同于直梁: 当梁端配设有抗扭支座时,因扭矩作用,一般外侧支座反力大于内侧支座。曲率半径越小越显著,严重时会出现内侧支座脱空现象。
梁体变位不同于直梁: 由于弯扭作用,弯梁产生较大的扭转变形,主梁外侧竖向挠度大于内侧;梁体在端部截面上可能会出现翘曲现象;在温度等作用下,易出现向曲线外侧“爬移”现象。
分析模型探讨:
根据国内外预应力连续弯桥设计经验,同时借鉴美国及日本相关设计规范,目前在预应力连续弯桥设计上,业内达成如下共识:
(1)当扭跨所对应的圆心角<5°时,可作为以曲线长为跨径的直线桥进行分析。
(2)当5°<≤30°时,弯矩及剪力可按直线桥进行分析,反力及扭矩需按空间程序进行分析,并且应考虑由于预应力、混凝土收缩、徐变及温度作用所产生的效应。
(3)当30°<≤45°时,所有截面内力均应按空间程序进行分析。
(4)当>45°时,除按空间程序分析外,还应考虑翘曲约束扭转的影响。
(5)当采用具有相当抗扭刚度的闭口截面曲线梁桥,其扭转跨径所对应的(曲跨梁段)圆心角<12°时,可以按直线桥进行分析。
工程实例:
对于预应力连续弯梁桥(或刚构),箱梁抗弯、抗裂、支座脱空验算等,相关文献论述的较多,限于篇幅,这里就不一一阐述。本节主要结合背景工程(图4),介绍下箱梁剪扭组合时箱梁配筋验算、防崩钢筋的设计。

箱梁剪扭组合验算:本桥的设计扭矩主要由恒载、活载、预应力次效应、体系温差、梯度温差等产生,中恒载扭矩、活载扭矩为平衡扭转、其他可视为协调扭转或附加扭转。本节主要针对本桥截面构造无法满足现行规范抗扭验算相关条文这一情况,根据文献对本桥结构的剪扭组合效应安全进行验算。根据空间梁计算模型,承载能力极限状态下箱梁截面剪力和扭矩包络图见图5和图6。

从图5和图6中可以看出,箱梁截面最大剪力和扭矩基本位于中墩附近区域,因此选取该区域内控制截面,按文献[9]对其剪力和扭矩分别配置箍筋,最大处剪力需配置箍筋约60cm2/m(图7)、扭矩需配置箍筋约9.0cm2/m(图8),因此考虑剪扭组合,控制截面至少需配置箍筋面积为69cm2/m。

箱梁腹部防侧崩验算:
对于小半径预应力弯桥,因纵向预应力钢束具有水平曲率,在张拉过程中会对腹部产生径向力。若设计不当,易使预应力钢束从腹部中崩出(国内外已有此类工程事故发生)。因此,小半径弯桥预应力钢束的防崩问题(图9)应引起设计人员的重视,在设计时应验算腹部局部抗弯强度。

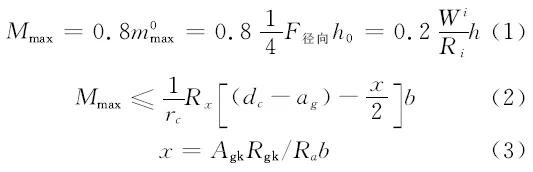
忽略腹板在预应力张拉后“拱效应”的有利影响,将腹板视为两端嵌固板,其跨中截面弯矩为:

根据(1)式,计算出验算截面弯矩为112kN·m,代入(2)式和(3)式,得出本桥1m范围内腹板箍筋面积Agk≥1.13×10-3 m2,即在满足抗剪、抗扭需要外另需增设的箍筋φ16@15cm,方可满足防崩要求。
文章内容来自网络,如有侵权,请联系删除。
关注“广州君和”微信公众号,免费获得BIM软件7天免费试用和13个BIM软件系列教程,还有精彩案例,BIM解决方案,定期发送!