几乎所有报告,都逃不开对估值的讨论,包括所有经典价值投资著作都是基于估值层面的讨论。巴菲特曾说过投资就两门课程:一门是估值;另一门是正确面对市场波动(其实也和估值有关)。由此可知,估值有多重要。
分析师常说的,某某股票估值多少,某某股票估值偏高/偏低,到底是什么意思?本期我们就来聊聊。
估值到底代表什么?
估值,就是对一个上市公司的价值评估,也就是对股票的价值估算。 简单来说,估值指的是公司价格,到底值多少钱。就好像我们在市场上买商品一样,每件商品都有它特定的价格。
此外,人们还有一个心理,就是一分价钱一分货,但再好的东西也得有个度,价格一旦超过市场预期太多,也就是说当价格与价值不匹配的时候,自然不会再被市场重视。
比如今年8月份,估值逆天的消费股。尤其是贵州茅台,股价屡创历史新高。当时,面对食品饮料估值上天的走势,银河证券发表了不再为消费股唱赞歌的研报,“近期食品饮料持续走强,白酒、调味品等行业市盈率不断创新高,尽管在过去很长时间强烈推荐白酒调味品等消费股,但不再为创记录的消费股唱赞歌,因为创纪录 估值意味着未来投资回报率下降 。”
由此可见,炒股时,性价比也是也是很重要的参考变量。
估值到底该怎么看?
通常,股票估值相对较为复杂,全球也没有统一的标准。大体看,依据投资者预期回报、企业盈利能力或企业资产价值等不同角度出发,常用的有三种方法,这其中又分为绝对估值法和相对估值法。
第一、绝对估值法
通过对上市公司历史及当前基本面分析和对未来反映公司经营状况的财务数据的预测获得上市公司股票的内在价值。
因为,股票的价格总是围绕着股票的内在价值上下波动,发现价格被低估的股票,并在其价格低于内在价值的时候买入股票,而在股价回归到内在价值甚至高于内在价值时卖出。
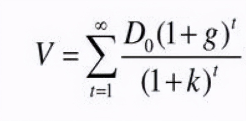
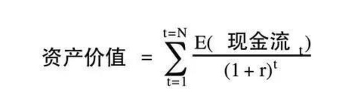
模型: 现金流贴现定价模型使用最多的是DDM(股利贴现模型)和DCF(自由现金流贴现模型)。这两种方法都是通过预测公司未来的股利或者未来的自由现金流,然后将其折现得到公司股票的内在价值。
DDM模型(股利贴现模型):

DCF模型(现金流折现模型):

局限性: 与相对估值法相比,绝对估值法的优点在于能够较为精确地揭示公司股票的内在价值,但是如何正确地选择参数则比较困难。未来股利、现金流的预测偏差、贴现率的选择偏差,都有可能影响到估值的精确性。
第二、相对估值法
相对估值是使用市盈率、市净率、市售率等价格指标与其它多只股票进行对比,如果低于对比系的相应指标值的平均值,股票价格被低估,股价将很有希望上涨。这里我们挑两个使用较为广泛的具体展开。
市盈率(PE): 即价格与每股收益的比值,指的是假定公司利润不变情况下,投资者为该利润支付了多少倍的价格,或者说在每股盈利不变的情况下,当盈利全部用来分红派息,要多少年才能收回投资。
比如20倍的PE,就表示投资者为该利润支付了20倍的价格,需要20年才能够回本。

市净率PB: 指的是每股股价与每股净资产的比率。一般来说市净率较低的股票,投资价值较高,相反,则投资价值较低。

比如:上市公司股价10元,上市的公司每股净资产5元,那么市净率就是10/5,得到的是2倍。
那么,到底是根据什么来判断一个股票的估值是高了还是低?下面我们以PE为例具体来看一下。
在A股市场,估值基本都围绕两个因素,一是行业平均估值水平、二是公司本身的业绩增速。
首先,每个行业的估值水平都是不一样的,比如 银行 ,除开那些小 银行 和次新 银行 之外,大部分 银行 股的估值都在6~7倍PE左右,再比如小盘股中的游戏行业,平均的行业估值就在20倍PE左右。
其次,行业的平均估值也是由个股平均出来的,那么个股是如何定价的呢?
重点就是业绩增速,理论上,一般会以公司净利润未来三年的复合增长率来对应公司的PE,比如说,某公司未来三年净利率增长率在30%,那么目前的估值差不多就是30倍PE。
总结:
本期我们简单介绍了何为估值,以及一些常见的估值指标。下期,我们将结合例子具体阐述如何看你买的股票是高估还是低估?
此内容为第一财经原创,著作权归第一财经所有。未经第一财经书面授权,不得以任何方式加以使用,包括转载、摘编、复制或建立镜像。第一财经保留追究侵权者法律责任的权利。
如需获得授权,请联系:value@dtcj.com
