函数(方法)
1.函数定义
函数:定义在类中实现特定功能或任务的一段代码。
Java是面向对象的语言,函数也被叫做方法。
之前我们用过主函数main,主函数中可以调用其他函数。
利用函数的好处:
- 避免冗余代码
- 提高代码的可维护性
- 提高代码的重用性
- 提高代码的灵活性
2.函数的声明
修饰符 返回类型 函数名(参数类型 形式参数1,参数类型 形式参数2,...){实现代码}

修饰符我们后续再说,这里先忽略。从返回类型开始说:
返回类型:
- 表示函数执行以后返回的结果的数据类型
- 可以是Java中的任何数据类型
- 如果没有结果则为void
函数名:
- 函数名字,调用时表示调用哪个函数
- 命名时需按照标识符的命名规则
- 主函数的函数名必须为main
参数类型:
- 定义形式参数的类型
形式参数:
- 是一个变量,用于存储调用函数时传递给函数的数据
- 可以没有形参,但是圆括号不能省略
3.函数注意事项
- 形参相当于函数内部有效的局部变量
- 形参可以有选择的使用,也可以不用
- 函数的实现代码结束前要使用return语句返回声明中规定类 型的数据
- 如果声明中返回值类型为void,则不用返回任何数据
- 函数调用时圆括号中传递的参数叫实参
- 调用时,实参的个数、类型、顺序必须和函数定义时相同
举例说明:

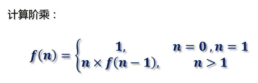
递归
1.递归
- 一个函数直接或间接的调用了自己,叫做递归。
- 递归不是循环。在使用递归的时候,一定要有一个终止条件,否则会产生无 穷递归。
02.示例:阶乘递归

如果遇到阶乘的计算,我们就可以使用递归来解决,代码如下:

