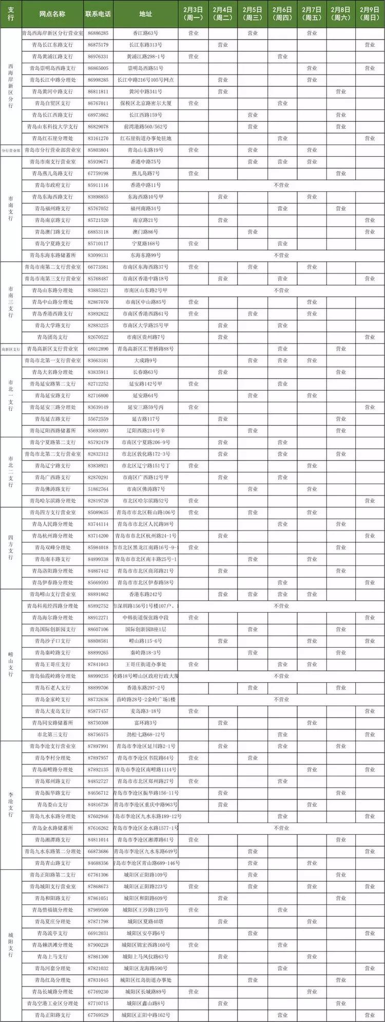
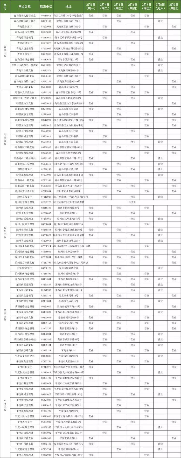
根据《国务院办公厅关于延长2020年春节假期的通知》《中国人民银行 银保监会 证监会 外汇局关于做好春节假期后金融服务工作的通知》,为加强新型冠状病毒感染肺炎疫情防控工作,保障基础金融服务,维护公众身体健康和生命安全,青岛辖区多家银行业金融机构对春节期间营业时间做了相应调整,具体如下(点击可查看大图)
1.工商银行青岛市分行



2.农业银行青岛市分行


3.中国银行青岛市分行



4.建设银行青岛市分行

5.交通银行青岛分行

6.邮储银行青岛分行





7.中信银行青岛分行

8.招商银行青岛分行

9.浦发银行青岛分行

10.光大银行青岛分行

11.华夏银行青岛分行

12.民生银行青岛分行

13.平安银行青岛分行

14.兴业银行青岛分行

15.恒丰银行青岛分行

16.渤海银行青岛分行
渤海银行青岛分行2月3-9日营业部正常上班,营业时间9:
30-16:00,提供对公对私各类服务。
17.浙商银行青岛分行

18.青岛农商银行




































19.潍坊银行青岛分行

20.日照银行青岛分行

21.北京银行青岛分行

22.威海银行青岛分行

23.新韩银行青岛分行

24.渣打银行青岛分行

25.城阳珠江村镇银行

26.平度惠民村镇银行

27.西海岸海汇村镇银行

28.崂山交银村镇银行


根据《国务院办公厅关于延长2020年春节假期的通知》精神,各类金融机构及金融基础设施相关机构,自2020年2月3日起正常上班。
《通知》要求,各单位可结合当地地方政府防控疫情要求,实行弹性工作制,灵活调整作息时间,采取轮换上班、错时上班,也可利用网络办公方式在家上班,尽可能减少人员聚集。同时,要切实做好员工疫情防控,加强员工体温检测和防护,做到全体员工健康保护全覆盖。
此外,各单位员工因出差、探亲访友、回乡等正在湖北地区的,要严格遵守湖北地区当地政府就疫情防控采取的措施,不得违反规定擅自离开。凡近期已经从湖北地区返回工作地的,或有过湖北地区人员接触史的员工,应当按照国家疫情防控要求,居家留观达到14天,并严格落实监督性医学观察等措施。
同时,对湖北地区金融管理部门和金融机构,可按照地方省级政府统一要求,延长假期,但延长期间,应当按照国家金融管理部门要求,采取应急值班、网络办公等方式,切实做好支持疫情防控所必需的金融服务,以及人民群众生活必需的金融需求。
在此我们呼吁,返岗的银行员工请保护好自己,有条件的银行请给员工配发口罩等防护用品,可采取弹性工作制,减少办公室聚集。呼吁银行客户尽量采用手机银行或网银办理业务,如非必要请不要去银行网点,进网点务必佩戴口罩。
我已到岗,在线上班疫情当前,工作不断国家有难,咱不添乱业务咨询,不用见面电话微信,联系方便周到服务,一样全面
扩散!周知!
分享给身边有需要的朋友!
(内容来源:青岛财富圈)