悬挑式扣件钢管脚手架计算书
钢管脚手架的计算参照《建筑施工扣件式钢管脚手架安全技术规范》(JGJ130-2001)。
计算的脚手架为双排脚手架,搭设高度为12.6米;
搭设尺寸为:立杆的纵距1.50米,立杆的横距1.05米,立杆的步距1.80米。
采用的钢管类型为48×3.0,
连墙件采用2步3跨,竖向间距3.60米,水平间距4.50米。
施工均布荷载为3.0kN/m2,同时施工2层,脚手板共铺设2层。
悬挑水平钢梁采用16号工字钢,其中建筑物外悬挑段长度1.95米,建筑物内锚固段长度2.35米。
悬挑水平钢梁采用钢丝绳与建筑物拉结,最外面钢丝绳距离建筑物1.40m。
一、大横杆的计算:
大横杆按照三跨连续梁进行强度和挠度计算,大横杆在小横杆的上面。
按照大横杆上面的脚手板和活荷载作为均布荷载计算大横杆的最大弯矩和变形。
1.均布荷载值计算
大横杆的自重标准值 P1=0.038kN/m
脚手板的荷载标准值 P2=0.150×1.050/3=0.052kN/m
活荷载标准值 Q=3.000×1.050/3=1.050kN/m
静荷载的计算值 q1=1.2×0.038+1.2×0.052=0.109kN/m
活荷载的计算值 q2=1.4×1.050=1.470kN/m

大横杆计算荷载组合简图(跨中最大弯矩和跨中最大挠度)

大横杆计算荷载组合简图(支座最大弯矩)
2.抗弯强度计算
最大弯矩考虑为三跨连续梁均布荷载作用下的弯矩
跨中最大弯矩计算公式如下:

跨中最大弯矩为
M1=(0.08×0.109+0.10×1.470)×1.5002=0.350kN.m
支座最大弯矩计算公式如下:

支座最大弯矩为
M2=-(0.10×0.109+0.117×1.470)×1.5002=-0.412kN.m
我们选择支座弯矩和跨中弯矩的最大值进行强度验算:

大横杆的计算强度小于205.0N/mm2,满足要求!
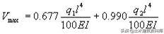
3.挠度计算
最大挠度考虑为三跨连续梁均布荷载作用下的挠度
计算公式如下:

静荷载标准值q1=0.038+0.052=0.091kN/m
活荷载标准值q2=1.050kN/m
三跨连续梁均布荷载作用下的最大挠度
V=(0.677×0.091+0.990×1.050)×1500.04/(100×2.06×105×107780.0)=2.511mm
大横杆的最大挠度小于1500.0/150与10mm,满足要求!
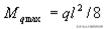
二、小横杆的计算:
小横杆按照简支梁进行强度和挠度计算,大横杆在小横杆的上面。
用大横杆支座的最大反力计算值,在最不利荷载布置下计算小横杆的最大弯矩和变形。
1.荷载值计算
大横杆的自重标准值 P1=0.038×1.500=0.058kN
脚手板的荷载标准值 P2=0.150×1.050×1.500/3=0.079kN
活荷载标准值 Q=3.000×1.050×1.500/3=1.575kN
荷载的计算值 P=1.2×0.058+1.2×0.079+1.4×1.575=2.369kN

小横杆计算简图
2.抗弯强度计算
最大弯矩考虑为小横杆自重均布荷载与荷载的计算值最不利分配的弯矩和
均布荷载最大弯矩计算公式如下:

集中荷载最大弯矩计算公式如下:

M=(1.2×0.038)×1.0502/8+2.369×1.050/3=0.835kN.m

小横杆的计算强度小于205.0N/mm2,满足要求!
3.挠度计算
最大挠度考虑为小横杆自重均布荷载与荷载的计算值最不利分配的挠度和
均布荷载最大挠度计算公式如下:

集中荷载最大挠度计算公式如下:

小横杆自重均布荷载引起的最大挠度
V1=5.0×0.038×1050.004/(384×2.060×105×107780.000)=0.03mm
集中荷载标准值P=0.058+0.079+1.575=1.711kN
集中荷载标准值最不利分配引起的最大挠度
V2=1711.350×1050.0×(3×1050.02-4×1050.02/9)/(72×2.06×105×107780.0)=3.167mm
最大挠度和
V=V1+V2=3.194mm
小横杆的最大挠度小于1050.0/150与10mm,满足要求!
三、扣件抗滑力的计算:
纵向或横向水平杆与立杆连接时,扣件的抗滑承载力按照下式计算(规范5.2.5):
R ≤ Rc
其中 Rc —— 扣件抗滑承载力设计值,取8.0kN;
R —— 纵向或横向水平杆传给立杆的竖向作用力设计值;
1.荷载值计算
横杆的自重标准值 P1=0.038×1.050=0.040kN
脚手板的荷载标准值 P2=0.150×1.050×1.500/2=0.118kN
活荷载标准值 Q=3.000×1.050×1.500/2=2.362kN
荷载的计算值 R=1.2×0.040+1.2×0.118+1.4×2.362=3.498kN
单扣件抗滑承载力的设计计算满足要求!
当直角扣件的拧紧力矩达40--65N.m时,试验表明:单扣件在12kN的荷载下会滑动,其抗滑承载力可取8.0kN;
双扣件在20kN的荷载下会滑动,其抗滑承载力可取12.0kN;
四、脚手架荷载标准值:
作用于脚手架的荷载包括静荷载、活荷载和风荷载。
静荷载标准值包括以下内容:
(1)每米立杆承受的结构自重标准值(kN/m);本例为0.1248
NG1 = 0.125×20.800=2.596kN
(2)脚手板的自重标准值(kN/m2);本例采用竹笆片脚手板,标准值为0.15
NG2 = 0.150×2×1.500×(1.050+0.350)/2=0.315kN
(3)栏杆与挡脚手板自重标准值(kN/m);本例采用栏杆、木脚手板标挡板,准值为0.14
NG3 = 0.140×1.500×2/2=0.210kN
(4)吊挂的安全设施荷载,包括安全网(kN/m2);0.005
NG4 = 0.005×1.500×12.600=0.0945kN
经计算得到,静荷载标准值 NG = NG1+NG2+NG3+NG4 = 3.2155kN。
活荷载为施工荷载标准值
产生的轴向力总和,内、外立杆按一纵距内施工荷载总和的1/2取值。
经计算得到,活荷载标准值 NQ = 3.000×2×1.500×1.050/2=4.725kN
风荷载标准值应按照以下公式计算

其中 W0 —— 基本风压(kN/m2),按照《建筑结构荷载规范》(GB50009-2001)的规定采用:W0 = 0.350
Uz —— 风荷载高度变化系数,按照《建筑结构荷载规范》(GB50009-2001)的规定采用:Uz = 1.250
Us —— 风荷载体型系数:Us = 1.200
经计算得到,风荷载标准值Wk = 0.7×0.350×1.250×1.200 = 0.368kN/m2。
考虑风荷载时,立杆的轴向压力设计值计算公式
N = 1.2NG + 0.85×1.4NQ
=1.2×3.2155+0.85×1.4×4.725=9.481KN
风荷载设计值产生的立杆段弯矩 MW计算公式
MW = 0.85×1.4Wklah2/10
=0.85×1.4×0.368×1.500×1.802/10=0.2128KN·M
其中 Wk —— 风荷载基本风压标准值(kN/m2);
la —— 立杆的纵距 (m);
h —— 立杆的步距 (m)。
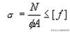
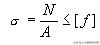
五、立杆的稳定性计算:
1.不考虑风荷载时,立杆的稳定性计算

其中 N —— 立杆的轴心压力设计值,N=10.55kN;

i —— 计算立杆的截面回转半径,i=1.60cm;
l0 —— 计算长度 (m),由公式 l0 = kuh 确定,l0=3.12m;
k —— 计算长度附加系数,取1.155;
u —— 计算长度系数,由脚手架的高度确定,u=1.50;
A —— 立杆净截面面积,A=4.24cm2;
W —— 立杆净截面模量(抵抗矩),W=4.49cm3;

[f] —— 钢管立杆抗压强度设计值,[f] = 205.00N/mm2;
不考虑风荷载时,立杆的稳定性计算

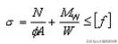
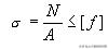
2.考虑风荷载时,立杆的稳定性计算

其中 N —— 立杆的轴心压力设计值,N=9.56kN;

i —— 计算立杆的截面回转半径,i=1.60cm;
l0 —— 计算长度 (m),由公式 l0 = kuh 确定,l0=3.12m;
k —— 计算长度附加系数,取1.155;
u —— 计算长度系数,由脚手架的高度确定;u = 1.50
A —— 立杆净截面面积,A=4.24cm2;
W —— 立杆净截面模量(抵抗矩),W=4.49cm3;
MW —— 计算立杆段由风荷载设计值产生的弯矩,MW = 0.213kN.m;

[f] —— 钢管立杆抗压强度设计值,[f] = 205.00N/mm2;
考虑风荷载时,立杆的稳定性计算

六、连墙件的计算:
连墙件的轴向力计算值应按照下式计算:
Nl = Nlw + No
其中 Nlw —— 风荷载产生的连墙件轴向力设计值(kN),应按照下式计算:
Nlw = 1.4 × wk × Aw
wk —— 风荷载基本风压标准值,wk = 0.368kN/m2;
Aw —— 每个连墙件的覆盖面积内脚手架外侧的迎风面积,Aw = 3.60×4.50 = 16.200m2;
No —— 连墙件约束脚手架平面外变形所产生的轴向力(kN);No = 5.000
经计算得到 Nlw = 8.335kN,连墙件轴向力计算值 Nl = 13.335kN
连墙件轴向力设计值


A = 4.24cm2;[f] = 205.00N/mm2。
经过计算得到 Nf = 82.043kN
Nf>Nl,连墙件的设计计算满足要求!
连墙件采用扣件与墙体连接。
经过计算得到 Nl = 13.335kN大于扣件的抗滑力8.0kN,不满足要求!

七、悬挑梁的受力计算:
悬挑脚手架的水平钢梁按照带悬臂的连续梁计算。
悬臂部分脚手架荷载N的作用,里端B为与楼板的锚固点,A为墙支点。
本工程中,脚手架排距为1050mm,内侧脚手架距离墙体350mm,支拉斜杆的支点距离墙体 = 1400mm,
水平支撑梁的截面惯性矩I = 1130.00cm4,截面抵抗矩W = 141.00cm3,截面积A = 26.10cm2。
受脚手架集中荷载 P=1.2×3.28+1.4×4.73=10.55kN
水平钢梁自重荷载 q=1.2×26.10×0.0001×7.85×10=0.25kN/m

悬挑脚手架示意图

悬挑脚手架计算简图
经过连续梁的计算得到

悬挑脚手架支撑梁剪力图(kN)

悬挑脚手架支撑梁弯矩图(kN.m)

悬挑脚手架支撑梁变形图(mm)
各支座对支撑梁的支撑反力由左至右分别为
R1=12.514kN,R2=9.969kN,R3=-0.638kN
最大弯矩 Mmax=1.888kN.m
抗弯计算强度 f=M/1.05W+N/A=1.888×106/(1.05×141000.0)+3.504×1000/2610.0=14.094N/mm2
水平支撑梁的抗弯计算强度小于205.0N/mm2,满足要求!
八、悬挑梁的整体稳定性计算:
水平钢梁采用16号工字钢,计算公式如下

其中
øb —— 均匀弯曲的受弯构件整体稳定系数,查表《钢结构设计规范》(GB50017-2003)附录B得到:
øb=2.00
由于øb大于0.6,按照《钢结构设计规范》(GB50017-2003)附录B其值用
b'查表得到其值为0.918
经过计算得到强度
ø=1.89×106/(0.918×141000.00)=14.59N/mm2;
水平钢梁的稳定性计算 ø< [f],满足要求!
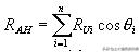
九、拉杆的受力计算:
水平钢梁的轴力RAH和拉钢绳的轴力RUi按照下面计算

其中RUicos
i为钢绳的拉力对水平杆产生的轴压力。
各支点的支撑力 :

按照以上公式计算得到由左至右各钢绳拉力分别为
RU1=12.995kN
十、拉杆的强度计算:
拉绳或拉杆的轴力RU我们均取最大值进行计算,为RU=12.995kN
拉绳的强度计算:
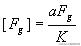
如果上面采用钢丝绳,钢丝绳的容许拉力按照下式计算:

其中[Fg] —— 钢丝绳的容许拉力(kN);
Fg —— 钢丝绳的钢丝破断拉力总和(kN);

K —— 钢丝绳使用安全系数,取8.0。
选择拉钢丝绳的破断拉力要大于8.000×12.995/0.850=122.306kN。
选择6×19+1钢丝绳,钢丝绳公称抗拉强度1400MPa,直径15.5mm。
钢丝拉绳的吊环强度计算:
钢丝拉绳的轴力RU我们均取最大值进行计算作为吊环的拉力N,为
N=RU=12.995kN
钢丝拉绳的吊环强度计算公式为

其中 [f] 为吊环抗拉强度,取[f] = 50N/mm2,每个吊环按照两个截面计算;
所需要的钢丝拉绳的吊环最小直径 D=[12995×4/(3.1416×50×2)]1/2=13mm
十一、锚固段与楼板连接的计算:
1.水平钢梁与楼板压点如果采用钢筋拉环,拉环强度计算如下:
水平钢梁与楼板压点的拉环受力R=9.969kN
水平钢梁与楼板压点的拉环强度计算公式为

其中[f]为拉环钢筋抗拉强度,每个拉环按照两个截面计算,按照《混凝土结构设计规范》10.9.8[f] = 50N/mm2;
所需要的水平钢梁与楼板压点的拉环最小直径 D=[9969×4/(3.1416×50×2)]1/2=12mm
水平钢梁与楼板压点的拉环一定要压在楼板下层钢筋下面,并要保证两侧30cm以上搭接长度。
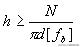
2.水平钢梁与楼板压点如果采用螺栓,螺栓粘结力锚固强度计算如下:
锚固深度计算公式

其中 N —— 锚固力,即作用于楼板螺栓的轴向拉力,N = 9.97kN;
d —— 楼板螺栓的直径,d = 20mm;
[fb] —— 楼板螺栓与混凝土的容许粘接强度,计算中取1.5N/mm2;
h —— 楼板螺栓在混凝土楼板内的锚固深度,经过计算得到 h 要大于9968.60/(3.1416×20×1.5)=105.8mm。
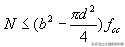
3.水平钢梁与楼板压点如果采用螺栓,混凝土局部承压计算如下:
混凝土局部承压的螺栓拉力要满足公式

其中 N —— 锚固力,即作用于楼板螺栓的轴向拉力,N = 9.97kN;
d —— 楼板螺栓的直径,d = 20mm;
b —— 楼板内的螺栓锚板边长,b=5d=100mm;
fcc —— 混凝土的局部挤压强度设计值,计算中取0.95fc=13.59N/mm2;
经过计算得到公式右边等于131.6kN
楼板混凝土局部承压计算满足要求!