人生就像弓箭,如果没有靶子,那么每天的拉弓练习就失去了意义。对数函数作为高考的重难点,同学们一定要熟练掌握呦!小本本记起来~~快和包学习APP*倒打**这个“大魔王”吧!

对数函数图象及其性质
01
对数函数的图象与性质
一般地,对数函数

的图象和性质如下表:

02
对数函数图象的特征点

图象的特征点:

,

,

,利用特征点可以快速作出对数函数的简图.如

图象的特征点:

,

,

.
03
底数对对数函数图象的影响
在同一直角坐标系中作出对数函数

,

,

,

的图象:

当

时,动图展示如下:

当

时,动图展示如下:

结论:
(1)函数

与函数


的图象关于

轴对称.
(2)底数

决定函数单调性:

,函数在(0,+

)上为 增函数 ,函数图象 上升 ;

,函数在(0,+

)上为 减函数 ,函数图象 下降 .
(3)底数

决定函数图象相对位置的高低:
①上下比较:在直线

的右侧,

时,

越 大 ,图象越靠近

轴;

时,

越 小 ,图象越靠近

轴.
②左右比较:比较图象与直线

的交点,交点的横坐标越 大 ,对应的对数函数的底数越 大 .
拓展:函数图象的对称性

(1)


的图象可以看作将函数

以

代替

,

不变,因而两函数图象关于

轴对称
(2)

(3)

【示范例题】
例题1.(填空题)函数

(

)的图象恒过点( ).
【答案】

【解析】当x=2时,恒有y=-1.
点拨
恒过定点问题:恒过定点的含义是函数值与

无关,由

=0知,令真数为1,可求解.
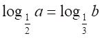
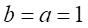
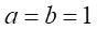
例题2.(填空题) 已知实数

满足

,则给出下面的五种关系,其中可能成立的序号为( ).
①

;
②

;
③

;
④

;
⑤

【答案】②④⑤
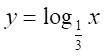
【解析】在同一坐标系中作函数

与函数

的图象如图,

若

,则

;
若

,则

;
若

,则

.
故②④⑤成立.
内容摘自:包学习APP_动态教辅《对数函数( 必修一人教B版3.2.2 +3.2.3)》,欢迎*载下**学习更多知识
本文转载自包学习网站。
坚其志 苦其心 劳其力 事无大小,必有所成!
也许你感觉自己的努力总是徒劳无功 但包学习APP相信 你每天都离顶点更进一步
今天的你离顶点还遥遥无期 但你通过今天的努力
积蓄了明天勇攀高峰的力量
