第一篇
从定义上来说,Ppk反应的是过程的实际表现,Cpk反应的是过程的能力。我们可以通过一个生活中的类比来解释一下这两者的区别:小明同学智商高、记性好、学习认真,如果正常的话,在班级里他能考到前三名,但这学期的期末考试中,小明因为失恋了心情不好没有考好,只考了第十。在这个故事里,考前三名是小明的能力,即小明的Cpk,而考了第十名是小明的实际表现,即小明的Ppk。从这个类比可以引出一个很重要的结论,Cpk是制造过程能拿出的最佳表现,所以Cpk一定是大于等于Ppk的。
接下来我们从数学上来讨论一下这两个参数的区别。为方便讨论,这里假设过程的平均值与目标值一致,即Ppk=Pp,Cpk=Cp。其计算公式分别如下

公式1

公式2
这两个公式比较的都是规格限的宽度(公式中的分子)与过程的离散程度(公式中的分母)。这两个值越高,规格限宽度相对于过程的离散程度就越大,所以出现不合格的几率就越小。但两个公式中计算过程离散程度方法不一样。
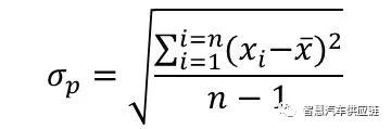
公式1中,分母SigmaP的计算公式如下:

公式3
其中n是用于过程监控所采集的所有样品的数量(如果采集了25个子组,每个子组有5个样品,则n=125),xi是每个样品的值,xbar是这些样品的平均值。因为这个公式用到了所有采集的样品来计算标准差,所以SigmaP可以体现整个过程实际的离散程度,因此由公式1计算的Ppk值反映的是过程的实际表现。
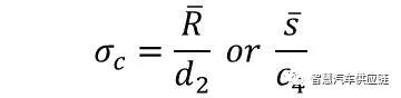
公式2中,分母SigmaC的计算公式如下

公式4
这个公式用子组内样品的离散程度R或s来计算整个过程的离散程度(R是子组的极值,s是子组内样品的标准差,d2或c4是子组内样品的离散程度与整个过程离散程度之间的系数)。这个关系只有在过程处于稳定受控状态下是正确的 (这个下文再做讨论)。处于稳定受控状态的过程,只存在普通原因,不存在特殊原因,此时过程展现的是它的最佳状态(除非通过系统性措施改善普通原因,过程的离散程度不能再缩小了),所以用公式2计算的Cpk值体现的是过程的最佳状态,即过程的能力。
对上述讨论做个小结:SigmaC是由子组的离散程度来计算的,它只能表征过程处于稳定受控状态条件下的离散程度,所以Cpk反应的是过程的最佳状态,体现的是过程的能力。SigmaP是由采集的所有样品来计算的,它可以反应过程在任何状态下的离散程度,所以Ppk体现的是过程实际表现出来的状态。
现在再来讨论一下为什么为什么公式4只能用于计算稳定受控状态下过程的离散程度。
下图中,每个正态分布的曲线代表某个制造过程在一天内生产的产品性能的分布。假设每天各抽检5个样品来对该过程进行SPC监控,根据统计学的理论,任何一天内生产的产品的离散程度可以用样品的平均极值 来计算,即

如果该制造过程是稳定受控的,每天生产的产品都将会保持一样的分布,该过程生产的所有产品的分布也将与任何一天的分布一样,即稳定受控状态的过程生产的所有产品的离散程度与任意一天内生产的产品的离散程度一样。所以公式5也即是过程所生产的所有产品的离散程度。


图1
但当过程不处于稳定受控状态的时候,过程在某一天生产的产品的离散程度将不再等于过程所生产的所有产品的离散程度,如下图所示。在这个图中,使用的原材料批次的性能在第5天出现下降,该天生产的产品性能的中间值与之前4天因此发生了偏移。在这种情况下,过程所生产的所有产品的离散程度要大于其中任何一天的产品的离散程度。


图2
此时,要表征过程的离散程度的话,就不能只用其中某一天生产的样品的离散程度来表征了,而是需要考虑所有抽样的样品,用公式3来计算了。
将上面的讨论总结一下:当过程处于稳定受控状态(只存在普通原因而不存在特殊原因)情况下,过程的离散程度可以用子组的离散程度R或s来计算,如图1中的例子所示。此时过程的离散程度由子组内的离散程度来决定,所以过程的变差只包括了子组内变差。而当过程不处于稳定受控状态(存在普通原因,同时也存在特殊原因)时,其离散程度不只包括了子组内变差,也包括了由特殊原因引起的子组间变差(如图2中第5个子组相对于其它4个子组的偏离)。子组间变差的存在是引起Ppk和Cpk不一样的原因。
如何利用Ppk和Cpk的区别来监控过程
在实施SPC的过程中,经常出现的一个错误是只关注Cpk和Ppk的绝对值,而不关注它们的差异。只要两者都达到了客户或内部的要求,即认为过程是OK的。
但通过上文的讨论,可以看出Cpk和Ppk的差值有很重要的意义。Cpk是由普通原因引起的子组内变差决定的,而Ppk是由子组内变差加特殊原因引起的子组间变差共同决定的。所以在实施SPC的时候,除了Ppk和Cpk的绝对值,还需要关注两者的差值。当Ppk比Cpk小很多时,代表子组间变差比较大,有特殊原因存在。在这种情况下,即使Ppk和Cpk都达到了客户的要求(例如客户要求Cpk和Ppk>1.33,而过程的Cpk=2,Ppk=1.5),也应采取措施消除存在的特殊原因。
第二篇
CPK是过程能力指数。PPK是性能指数。CMK是设备能力指数。CPK和PPK是根据安排好的间隔进行抽样的,每次抽样要连续抽取(其实要只要求算PPK在最后的所有产品里随即抽样也是可以的,当然顾客死拧就别根他争这个了)。CPK与PPK计算公式一样,只是sigma的计算不一样而已,这也就是他们的区别,CPK使用Rbar/d2计算组内变差,PPK用传统的那个公式计算总变差。
CMK是连续抽样的,既然没分组当然计算sigma时就不会用到CPK的公式了,是的也用哪个传统公式计算sigma。
总结:CPK与PPK区别在sigma的计算;CMK与PPK区别在于抽样方法。
CPK是间隔取样但PPK不一定要求间隔取样CPK是研究组内变差而PPK是研究组间变差CPK是能力指数而PPK是性能指数.CMK是设备能力
Ppk、Cpk,还有Cmk三者的区别及计算
1、首先我们先说明Pp、Cp两者的定义及公式
Cp(Capability Indies of Process):稳定过程的能力指数,定义为容差宽度除以过程能力,不考虑过程有无偏移,一般表达式为:
Pp(Performance Indies of Process):过程性能指数,定义为不考虑过程有无偏移时,容差范围除以过程性能,一般表达式为:
(该指数仅用来与Cp及Cpk对比,或/和Cp、Cpk一起去度量和确认一段时间内改进的优先次序)
CPU:稳定过程的上限能力指数,定义为容差范围上限除以实际过程分布宽度上限,一般表达式为:
CPL:稳定过程的下限能力指数,定义为容差范围下限除以实际过程分布宽度下限,一般表达式为:
2、现在我们来阐述Cpk、Ppk的含义
Cpk:这是考虑到过程中心的能力(修正)指数,定义为CPU与CPL的最小值。它等于过程均值与最近的规范界限之间的差除以过程总分布宽度的一半。即:
Ppk:这是考虑到过程中心的性能(修正)指数,定义为:或 的最小值。即:
其实,公式中的K是定义分布中心μ与公差中心M的偏离度,μ与M的偏离为ε=| M-μ| ,则:
于是, ,
3、公式中标准差的不同含义
①在Cp、Cpk中,计算的是稳定过程的能力,稳定过程中过程变差仅由普通原因引起,公式中的标准差可以通过控制图中的样本平均极差 估计得出:
因此,Cp、Cpk一般与控制图一起使用,首先利用控制图判断过程是否受控,如果过程不受控,要采取措施改善过程,使过程处于受控状态。确*过保**程受控后,再计算Cp、Cpk。
②由于普通和特殊两种原因所造成的变差,可以用样本标准差S来估计,过程性能指数的计算使用该标准差。即:
4、几个指数的比较与说明
① 无偏离的Cp表示过程加工的均匀性(稳定性),即“质量能力”,Cp越大,这质量特性的分布越“苗条”,质量能力越强;而有偏离的Cpk表示过程中心μ与公差中心M的偏离情况,Cpk越大,二者的偏离越小,也即过程中心对公差中心越“瞄准”。使过程的“质量能力”与“管理能力”二者综合的结果。Cp与Cpk的着重点不同,需要同时加以考虑。
② Pp和Ppk的关系参照上面。
③ 关于Cpk与Ppk的关系,这里引用QS9000中PPAP手册中的一句话:“当可能得到历史的数据或有足够的初始数据来绘制控制图时(至少100个个体样本),可以在过程稳定时计算Cpk。对于输出满足规格要求且呈可预测图形的长期不稳定过程,应该使用Ppk。”
④ 另外,我曾经看到一位网友的帖子,在这里也一起提供给大家(没有征得原作者本人同意,在这里向原作者表示歉意和感谢),上面是这样写的:
“所谓PPK,是进入大批量生产前,对小批生产的能力评价,一般要求≥1.67;而CPK,是进入大批量生产后,为保证批量生产下的产品的品质状况不至于下降,且为保证与小批生产具有同样的控制能力,所进行的生产能力的评价,一般要求≥1.33;一般来说,CPK需要借助PPK的控制界限来作控制。…
Cpk Ppk Cmk的用法:Cpk: 大批量生产的长期的过程能力控制,要求>1.33;Ppk: 小批量生产或订单量不大,不连续,要求>1.67;Cmk: 新设备、检修后的设备或新产品试产,对设备能力的评估,至少50件样品,要求>2.0;PPK 人机料法环测不变最好是一个批次的全部取样或部分抽样测出的值按照PPK的计算方法计算出来的值由于是在一个批次内取样变差较小看的是组内差异一般用于试做阶段所以汽车行业要求PPK>1.67一般所计算出来的控制线也作为以后量产时的控制线CPK则是在人机料法环测有变化的情况每班或每天抽样计算的是组间差异由于组间差异毕竟是大于组内差异的所以要求CPK>1.33,CMK算的是机器能力指数。
IATF16949-2016版汽车行业质量管理体系程序文件标准培训全套资料