八年级分式混合运算题 (八年级下册数学分式混合运算)

灵活运用同分母、异分母加减法法则,会进行分式的混合运算

八年级下册数学《分式的加减法与混合运算》

法则

八年级分式加减运算讲解和答案,八年级下册分式的加减

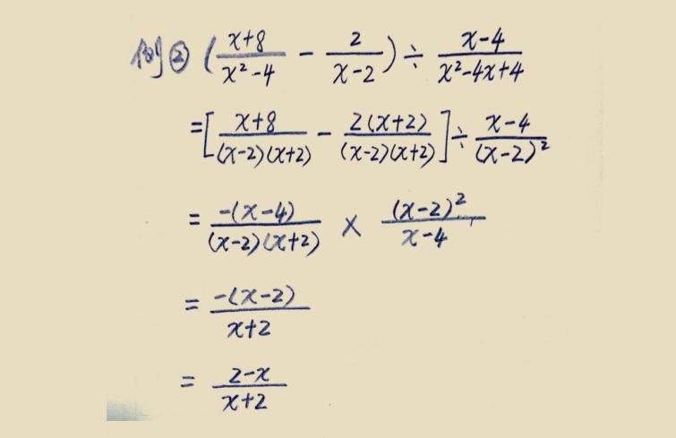
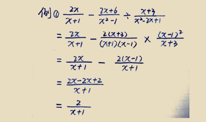
例题

八年级分式加减运算讲解和答案,八年级下册分式的加减

八年级分式加减运算讲解和答案,八年级下册分式的加减

这是重、难点

八年级分式加减运算讲解和答案,八年级下册分式的加减

关键是通分,运算综合性强

混合运算

八年级分式加减运算讲解和答案,八年级下册分式的加减

八年级分式加减运算讲解和答案,八年级下册分式的加减

八年级分式加减运算讲解和答案,八年级下册分式的加减

八年级分式加减运算讲解和答案,八年级下册分式的加减

注重动手体验、着重理解、规范解题