新学期即将开始,为方便新初中高一高二同学科学规划选科,新高三同学择定目标专业,自主选拔在线汇总整理了 2023大学本科专业目录及就业方向, 帮助家长和考生提前了解大学里有哪些专业,以及这些专业未来就业方向。选对专业入对行,不走弯路更能事半功倍!
2023年4月,教育部发布 《关于公布2022年度普通高等学校本科专业备案和审批结果的通知》 , 2023本科专业目录新增21个,由去年的771个专业变为792个 。
自主选拔在线为大家整理了 12大学科门类792个专业汇总及就业去向 ,高考选专业必备,赶快收藏查看!
01哲学类
哲学类下设哲学、逻辑学、宗教学、伦理学等4个专业。

哲学是一门研究人生终极意义和宇宙万物本源的学科,强调批判性思维和理性思考能力的培养。哲学是公认的就业困难的专业,造成这一现象的根本原因在于哲学的本科教育与行业体系难以衔接,没有直接对口的就业岗位。
毕业生的就业方向主要有以下几个:
(1)教育科研单位: 如到高校、研究所、政策研究机构做研究,一般需要继续深造;或者到中小学、培训机构当老师,在校期间最好能考下教师资格证。
(2)政府机关: 哲学专业毕业生思考问题的独特性和深刻性还是很受相关政府机关欢迎的,通过考公务员可以进入各级政府机关(如*党**校、宣传部、组织部、政府办等)工作。
(3)新闻出版单位: 新闻出版需要有广博的知识储备、优良的文笔和口才,哲学专业的学生常常能够从独特的思考角度切入事件进行写作,所以也很受新闻出版单位的欢迎。
(4)企业: 可以在大中型企业从事行政、*党**建、企划、文案、人力资源、秘书、管理等工作。
02经济学类
经济学门类下有经济学类、财政学类、金融学类、经济与贸易类等4类业。热门专业包括:经济学、金融学、金融工程、国际经济与贸易等。
本次高校本科专业目录增加了: 金融审计专业 。


经济学专业的就业方向 主要是政府经济管理部门、政策研究部门、金融机构和大中型企业的经济分析和规划部门。
金融学和金融工程专业毕业生主要就业去向 是各金融监管部门(中国人民银行、银监会、保监会、证监会)和银行、证券、保险、基金等金融机构。
金融工程 相关岗位更侧重利用计算机工具建模来做金融产品的量化分析,需要毕业生有较好的数学基础。
国际经济与贸易专业 的学生毕业后可在涉外经济贸易部门及外贸企业的经营与管理岗位就业,如从事跟单员、国际货物运输代理、报关员,及其他相关业务或管理工作。
03法学类
法学门类下有法学、政治学、社会学、民族学、马克思主义理论、公安学等几类。
本次高校本科专业目录增加了: 国际法、司法鉴定学、工会学 。


法学专业毕业生的就业途径包括:
(1)近年来公务员招录人数较多,因为执法、法务岗位需求较多,也可通过公务员考试进入公安、检察院、法院工作;
(2)进入律师事务所当律师;
(3)进入大中型企业做法律顾问。
以上岗位都需要通过司法考试取得相关从业资格。
政治学和社会学专业毕业生 可以到*党**政机关、社会团体、新闻出版机构、教育及其他企事业单位从事相关业务或管理工作。
民族学专业毕业生 可以到*党**政部门特别是民族宗教事务管理机构及相关教育科研部门工作,也可以到企事业单位、新闻出版机构从事行政、编辑、文秘、文化交流、文教宣传等工作。
马克思主义理论专业 培养具有马克思主义理论素养,具有科学社会主义和国际共产主义运动知识的专门人才,学生毕业后可以在*党**政机关、外事部门、高等院校从事理论宣传、教学研究等工作。
公安学专业毕业生 的就业方向比较明确,他们毕业后可以进入公安机关、检察院、法院、司法局工作。
04教育学类
教育学门类下设教育学类、体育学类2大类。
本次高校本科专业目录增加了: 家庭教育、孤独症儿童教育 。

教育学类专业包括: 教育学、科学教育、人文教育、教育技术学、艺术教育、学前教育、小学教育、特殊教育、华文教育等。其毕业生可以到学校及教育部门从事教学和管理工作。
体育学类专业包括: 体育教育、运动训练、社会体育指导与管理、武术与民族传统体育、运动人体科学、运动康复、休闲体育等。其毕业生可以到各级体委、体育研究机构及学校从事运动训练、裁判、教学、科研和管理等工作。
05文学类
文学门类下有中国语言文学、外国语言文学、新闻传播学等几类。
本次高校本科专业目录增加了: 数字人文 。




中国语言文学类专业包括: 汉语言文学、汉语言、汉语国际教育、中国少数民族语言文学、古典文献学、应用语言学、秘书学等。毕业生可以到国家机关、企事业单位、大中学校和宣传出版机构从事文秘、宣传和编辑等工作。
外国语言文学类专业 包括多个小语种专业及翻译、商务英语等专业,学生毕业后可以到外企、企事业单位、教育、文化、对外贸易等部门从事翻译、管理和经营等工作。
新闻传播学类 有新闻学、广播电视学、广告学、传播学、编辑出版学、网络与新媒体、数字出版等专业,其毕业生可以到新闻、宣传出版单位(如报社、杂志社、电台、电视台、网络新媒体等)从事新闻报道、编辑策划、教学科研等工作。
近年来,公务员岗位需求也较多。
06历史学类
历史学类下设历史学、世界史、考古学、*物文**与博物馆学、*物文**保护技术、外国语言与外国历史等几个专业。

历史学 是一门基础学科,与专业直接对口的岗位相对较少,其毕业生可以选择进入高等院校和科研机构从事教学和研究,也可以进入各级*党**政机关、教育单位、新闻出版和文化事业等部门从事管理和专业工作。
世界史专业 毕业生可以选择从事外文翻译、中小学教学和研究、政府部门外事办等工作。
考古学、*物文**与博物馆学、*物文**保护技术 可以从事考古勘探,*物文**鉴定,博物馆管理等工作。
总的来说,历史学类专业属于就业冷门专业,社会能提供的对口就业岗位相对较少,工资待遇也相对较低。
07理学类
理学是研究自然物质运动基本规律的科学,理学专业注重理论研究,其培养目标是科学家。
理学门类下设数学、物理学、化学、天文学、地理科学、大气科学、海洋科学、地球物理学、地质学、生物科学、心理学、统计学等几类。
本次高校本科专业目录增加了: 资源化学、地球系统科学、数据科学、生物统计学 。


理学专业毕业生的去向主要有以下几个:
(1)科研机构: 进入专业对口的研究机构、高等学校从事基础理论及应用研究,继续深造后更有优势。
(2)学校和教育机构: 考取教师资格证,进入中小学或培训机构当老师。
(3)政府机关: 通过公务员考试,进入专业相关的政府部门从事研究、管理等工作。
(4)考研: 可以跨专业考研,学习另外实用性更强的专业,为将来就业开辟新路。理科学生理论基础扎实,很受其他专业的欢迎,跨专业考研比较容易。
08工学类
工学专业的培养目标是培养能在相应的工程领域从事规划、勘探、设计、施工和管理等方面工作的高级工程技术人才。工学注重实际应用,强调将理论转化为实践,更加需要动手能力。
本次高校本科专业目录增加了: 生物材料、电动载运工程、飞行器运维工程、安全生产监管、未来机器人 。







工学类专业是12个学科门类中最大的一个专业类,涉及到国民经济建设的各个领域。工学类专业种类繁多,各类专业都有对口的就业行业。
总体来说工科专业是相对好就业的专业,其毕业生可以到对口行业的企事业单位、研究机构从事专业相关的研究、设计、技术开发、生产、制造等工作。
09农学类
农学门类下有植物生产、自然保护与环境生态、动物生产、动物医学、林学、水产、草学等几类。
本次高校本科专业目录增加了: 国家公园建设与管理 。


植物生产类专业 毕业生可以到农业、园林及植物研究所等单位从事科研、生产及管理等工作。
自然保护与环境生态专业 毕业生大多从事水土保持、沙漠治理、野生动物及自然保护区等方面的工作。
动物生产类专业 学生可以在与动物科学相关领域和部门从事技术与设计、推广与开发、经营与管理、教学与科研等工作。
动物医学类专业 毕业生可以选择到各级兽医防治、科研、生产和管理部门及动物检疫站、商品检验局、生物药品制造及动物食品加工单位工作。
林学专业 毕业生主要面向林业基层单位,如国家森林公园、自然保护区等,从事育苗、造林、森林管护、病虫害综合治理、森林资源调查与管理、城乡绿化、林区多种经营、林业技术推广等工作。
草学专业 毕业生可在园林、水土保持、环保、人工草场、体育场等部门从事各种类型草坪的建植与管理工作。
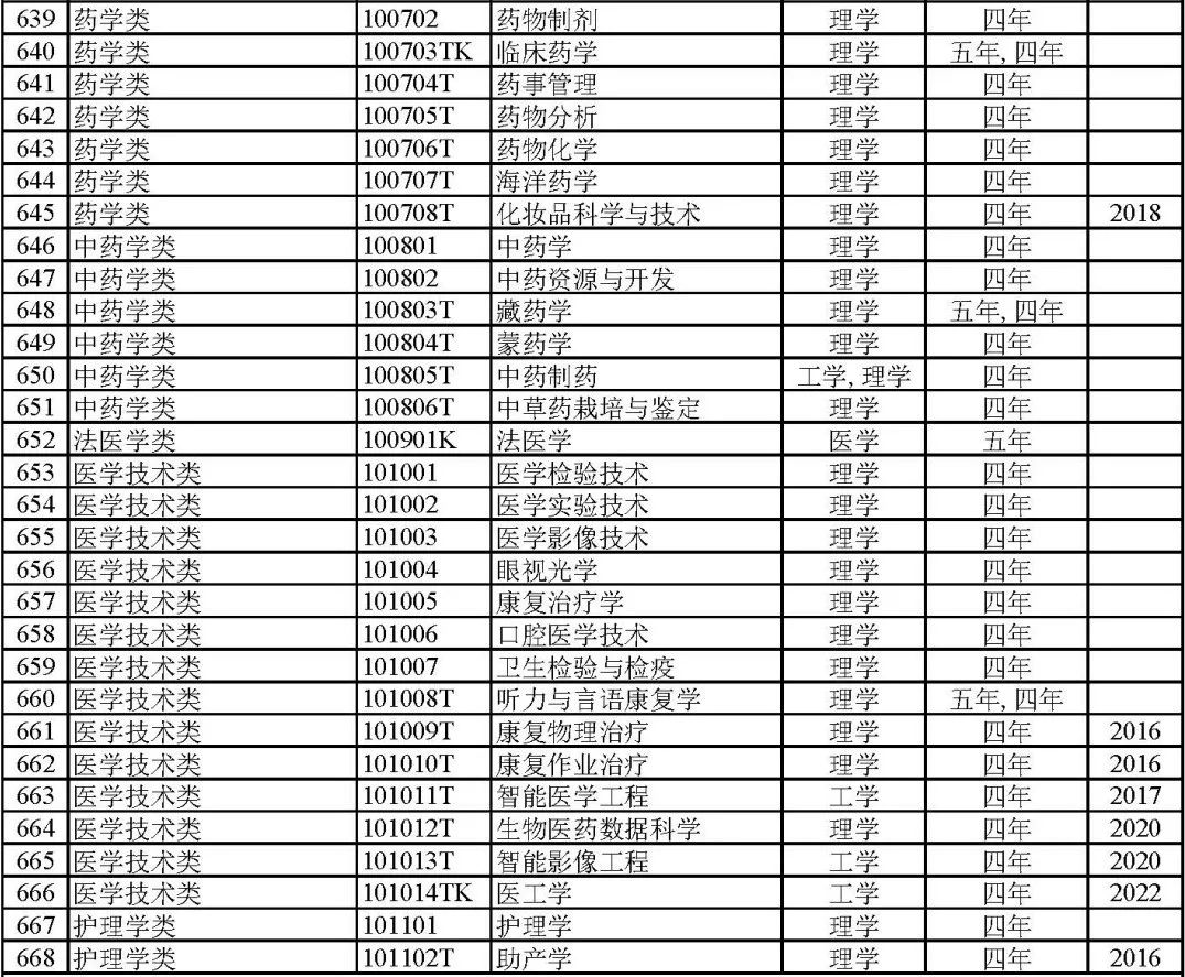
10医学类
医学门类下有基础医学、临床医学、口腔医学、公共卫生与预防医学、中医学、中西医结合、药学、中药学、法医学、医学技术、护理学等十几类专业。
本次高校本科专业目录增加了: 医工学 。


基础医学类专业 毕业生可以选择到高等院校和医学科研机构从事教学、医学实验研究等工作。
临床医学和医学技术类专业 学生毕业后可以到各级医院从事诊疗和研究等工作。
公共卫生与预防医学类专业 毕业生可以到疾病预防部门和卫生检验部门从事疾病预防、食品卫生检验等工作。
口腔医学专业毕业生 可以到各级医院或口腔诊所从事牙齿及口腔疾病的诊疗工作。
中医学专业 可以到各级医院和康复医院从事中医诊治和科研工作。
药学与中药学专业 可以到制药厂和医药研究所从事各类药物研究、开发和生产等工作。
法医学专业 毕业生可以到各级公安、检察机关从事法医学鉴定等工作。
护理学专业 的毕业生主要是到各级医院从事护理(护士)工作。
可以说医学类专业是“对口率”最高的专业,但转行和跳槽却不容易。
11管理学类
管理学门类下有管理科学与工程、工商管理、农业经济管理、公共管理、图书情报与档案管理、物流管理与工程、工业工程、电子商务、旅游管理等9类。
本次高校本科专业目录增加了: 乡村治理、航空安防管理、无障碍管理 。



管理学类专业 毕业生主要是在事业单位、政府部门从事各类管理、经营、咨询服务等工作。
管理学类专业也是12个学科门类中较大的一个专业类,有很多分支,每个分支专业的就业领域差异较大。
其中有些专业的就业情况比较理想,如工商管理里面的会计学、财务管理、审计学、人力资源管理等专业。有些专业的就业情况就不是很理想,比如信息管理与信息系统、农林经济管理、档案学等。
管理是一门实践性学科,只有在经历长期的基层历练、积累一定的经验之后才能真正走上管理岗位。
管理学类专业毕业生进入工作单位后切记不能“好高骛远”,而是要脚踏实地、扎根基层,不断提升自己的软实力,只有这样才有可能成为出色的管理人才。
12艺术学类
艺术学门类下有艺术学理论、音乐与舞蹈学、戏剧与影视学、美术学、设计学等几类。


艺术学理论专业 毕业生可在学校、各级文化部门、美术馆、博物院、网络媒体、出版社、影视等企事业单位从事与艺术教育、艺术研究等相关的工作。还可以从事文化挖掘、活动策划、文化娱乐、旅游体育等相关的工作。
音乐与舞蹈学、戏剧与影视学 专业性很强,学生毕业后可以到各种文化、电视、电影、广播、宣传、文艺团体和部门从事专业相关的工作。
美术学与设计学专业 的学生毕业后可以承担普通中学、中等专业学校以及高校的美术教学工作,也可以进入企事业单位从事视觉设计、产品设计、平面设计、网页设计、UI设计等工作。
以上就是各专业的就业方向。当然,现实中不仅仅以上提到的就业/职业方向,还有更多的岗位可供选择,同学们要深思熟虑,谨慎选择!
写在最后
近年来,我国的本科专业目录持续增加, 2020年增加37个,2021年增加31个,2022年增加21个 ,截至目前,本科专业目录共计 792个 。当然这792个本科专业并不是都有招生,尤其是新开设的专业, 只有少部分大学在招生 。
作为高考新选择, “这些新增专业好不好?发展前景如何?要报这些新专业吗? ”可能是很多家长的疑问。
从实际来看,报考新增专业确实存在一些顾虑 ,一方面,没有往年报考数据作为参考;另一方面,往往缺乏对专业培养方式、未来深造、就业等方面的了解,报考参考性较少。
自主选拔在线建议各位同学家长在报考新增专业时:
① 从个人兴趣和定位出发 ,充分考虑自身的学科能力、兴趣、特长等因素;
② 可以参考院校的优势学科 ,如果新增专业与院校的办学特色相符合,那么新增专业也具有一定的优势;
③ 考生还可以参考整体专业的平均值 ,如已开设此类专业院校学生的发展情况等多方面综合考虑、慎重选择。