来了来了!零代码生信文章套路推荐来了!
每年一到3、4月份,大家对SCI的需求都极为旺盛,硕博毕业,基金前期,拿奖学金,晋升职称等需求,统统都需要SCI才行。再加上各个老板们刚刚交完标书,确实也需要再给自己的履历上添几篇新文章了!

话说生信已经成为医生性价比最高的发文章方式! 但是生信文章的学习门槛很高,R语言代码和临床统计,没有600小时以上的投入,是学不会的。各种R语言培训班参加了多少个轮回,每次学R都从安装R包开始,一遍遍跟自己死磕。仿佛学不会R就发不了生信文章似的,我只想说:
可以
但没必要

因为 零代码又高效出图的仙桃生信工具 太!香!了!今天特意本桃准备了1篇典型的零代码生信套路文章,基本上仙桃生信工具就能搞定。何必为了学R语言舍本逐末白白浪费时间和精力呢

这篇文章于2020年3月份发表于Translational Andrology and Urology,影响因子2.437,中科院三区。疾病为肾透明细胞癌,研究的主变量为PRAS40(别名AKT1S1),分子类型为mRNA。全文一共5图4表。











可以上下滚动的图片
这篇范例文章是非常经典的肿瘤单基因套路文章,包括 基因差异表达,生物学功能富集分析,临床意义分析 三大部分。

原文作者主要用R语言进行的分析,今天小仙桃只想说一句 零代码又好上手的生信美图复现神器/仙桃学术 了解一下?
继续下拉查看复现操作
﹀
﹀
﹀



要说单基因生信研究套路有哪个分析必备,我首推 癌症与癌旁的差异表达分析 !表达有差异,是分子有意义的前提。无论在基础实验中,还是生信分析里,但凡聚焦到单个基因,此步分析都是要先做的。
滑动查看实操步骤



在仙桃学术的左侧选择 表达差异(挑) — 表达差异 ,再分别选择 非配对样本 和 配对样本 进行分析,就可以得到文章中的两张图啦!

TCGA中33个肿瘤,包括mRNA, lncRNA, miRNA这三种分子类型,TPM, FPKM, RPM这三种格式,本桃都已经为大家整理好了,可以直接调用哦~
在每个分析的 数据 部分,都会有一个 教程文档 ,点击之后会弹出一个超超超超级详细的pdf教程!想知道一个生信分析有多少种多样的变化嘛?想了解我们工具开发的小哥哥们有多变态的细致嘛?欢迎Pick,你就知道!

选择目标疾病,格式,直接在右侧的分子框内输入目标分子,点击确认,即可得到 癌、癌旁的差异表达分析的图,方法和结果的超级详细的统计学解释。
接下来在右侧的参数栏调整分析细节。在类型里选择— 箱图/柱状图 ,在标题文本—大标题里输入标题名称,在显著性显示类型处选择p=科学计数,在风格里选择显示外框。其他默认不变。
如果在拿不准选哪种统计方法该肿么办?不要担心, 系统会默认自动选择最优统计学方法哦~
选择好分析细节之后,点击确认,即可出现分析的可视化图。点击 保存结果 ,在弹出框内命名,即可将本次分析的内容保存到云端。高级版终身会员,最多可以在后台保存50条分析记录。
滑动查看实操步骤



有的小伙伴要问了,保存历史记录来干啥? 一方面方便把你之前分析的数据再重新*载下**,避免再二次调参数分析,便于数据回溯;另一方面,当然是 拼图 啦!

保存在历史记录里的图会自动显示在拼图工具里,可以通过拖拉图片到画板直接进行拼图哦!还提供了 横纵标尺,横向、竖向参考线 ,提供 tiff和pdf 两种*载下**方式,也可以自动标记小图的标号。
同时,也可以将自己数据结果图上传,在仙桃工具上直接完成拼图工作。比起之前发文章之前,PS和AI动辄要花一天以上才能拼好图的经历,仙桃的拼图功能简直不要太香!


肿瘤的分析优势在于临床变量的数据分析。而目标基因在不同临床变量分组中的表达情况,堪称最简单又最常用的分析方式。关键还图多!显得工作量巨大无比,有木有!
滑动查看实操步骤


设置参数(以图 A 的 age 为例);
1)癌种选择【TCGA-KIRC】, 格式选为【FPKM】;
2)分子输入【AKT1S1】;
3)在左边第一个方框方框中点击,选择【临床- Age】;
4)在右边第一行方框中选择【亚组<=60】,在右边第二行方框中选择【亚组>60】;
5)点击确认,保存结果,用同样的步骤,把B、C、D、E、F作图。


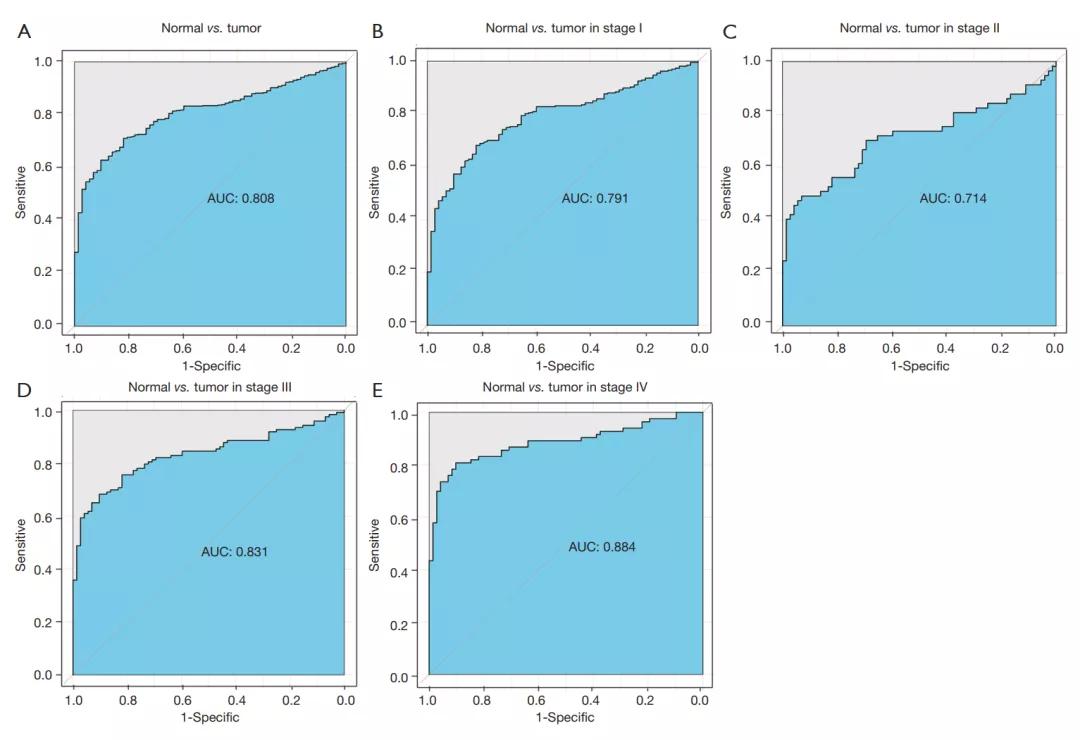
ROC曲线也叫做受试者工作曲线,广泛应用于医学统计中,主要应用于是否死亡、疾病诊断、肿瘤复发等二分类结局事件。单基因的ROC分析可以预测目标基因表达对疾病的诊断价值,包括诊断性ROC独立指标、诊断性ROC联合指标、时间依赖ROC-独立指标等分析类型。
滑动查看实操步骤


选择临床意义(靠) - ROC 曲线(图 A) /ROC 曲线-自选变量(图 B-E)
点击进入
1)设置图A参数
a. 选择【TCGA-KIRC】, 【FPKM】b. 分子输入【AKT1S1】c. 选择【显示曲线下面积】,不透明度度【0.5】d. 显示外框,其他保持默认。
2)设置图 B 分析参数
a. 选择【TCGA-KIRC】, 【FPKM】b. 在左侧框里选择【临床变量】,在右侧框可里选择【亚组变量】。这里临床变量选择【临床-Pathologic-stage】,右侧框选择【Stage Ⅰ, Stage Ⅱ】c. 分子输入【AKT1S1】d. 曲线下面积:选择显示,不透明度【0.5】e. 风格:显示外框,其他保持默认。f. 点击确认。g. 保存结果h. 同样步骤作图 C-E


生存分析指的是研究临床变量与生存时间和结局关系的方法。单基因的预后分析,是判断目标基因是否能作为潜在预后指标的必备分析。本文中分别做了单基因在患者整体中的预后分析,以及亚组预后分析。
在个别情况下,总体预后分析结果不够好,通过对亚组变量再细化分析,有可能让课题发挥“起死回生”的作用。
滑动查看实操步骤




选择临床意义(靠)- KM曲线图/亚组KM图,点击进入
1)设置KM曲线图参数
a. 依次选择【疾病名,格式,输入分子名称】,风格选择【有外框】
b. 点击确认,保存结果
2)设置亚组KM图参数
a. 依次选择【疾病名,格式】,输入【分子名称】
c. 左边第一个方框方框中点击,选择【临床- Age】;在右边第一行方框中选择【亚组<=65】,以及【 >65两个亚组变量】。风格选择【有外框】
d. 预后类型选择默认的【OS(Overall survival)】
e. 点击确认,保存结果,相同步骤依次分析C-H


GeneSet Enrichment Analysis(基因基因富集分析,GSEA)用来评估一个预先定义的基因集的基因在与表型相关度排序的基因表中的分布趋势,从而判断其对表型的贡献。GSEA不局限于差异基因,从基因集的富集角度出发,更容易囊括细微但协调性的变化对生物通路的影响。
滑动查看实操步骤








1)单基因的差异表达分析
a. 选择【表达差异(挑)-差异分析-单基因差异分析】,点击进入
b. 设置参数
c. 选择【TCGA-KIRC】, 【FPKM】, 分子输入【AKT1S1】,点击确定。
d. 历史记录会显示该分析任务的状态(执行中)
e. 保存结果,历史记录提示任务已经完成后,*载下**Excel表格
f. 制作GSEA表格
g. 将表格中基因名和差异倍数提炼到一个新的excel表格中
2)单基因的GSEA富集分析
选择【功能聚类(圈)】-【GSEA富集】-【GSEA分析】,点击进入
点击选择做好的GSEA表格,上传到云端;其他参数保持默认;点击确认
GSEA分析
a. 历史记录中会显示该分析任务的状态(执行中)
b. 提示任务已完成后,即可进行后续的富集分析
GSEA可视化
a. 选择【功能聚类(圈)】-【GSEA富集】-【GSEA可视化】,点击进入
b. 选择【富集分析结果文件】
c. 在【基本参数-基因集ID】里会自动展现前两条富集分析到的通路
d. 这里根据原文选择第1条信号通路,点击确认
e. 可以再依次多做几条信号通路的GSEA可视化分析
f. 保存结果

好了,篇幅有限仙桃就简单演示一下,想要看更详细的复现操作可以扫描下方二维码加入 实操复现训练营 ,跟着老师手把手操作!还有仙桃准备的文章复现教程大礼包哦!
单基因生信研究套路是最适合生信小白上手学习的研究套路 ,只要有合适的基因,就能 短时间内 在自己研究的肿瘤里再复现一篇,甚至做的更好。试问谁不想谁不想get省时省力省钱发文章的技巧呢?

什么?!还没有工具的使用权限?
仙桃免费送你!
回复训练营即可领取
同时领取
零代码复现教程+复现训练营
手把手教你零代码复现文章!
︾
