
►微积分
一、函数、极限、连续
考试内容
函数的概念及表示法函数的有界性、单调性、周期性和奇偶性复合函数、反函数、分段函数和隐函数基本初等函数的性质及其图形初等函数函数关系的建立
数列极限与函数极限的定义及其性质函数的左极限和右极限无穷小量和无穷大量的概念及其关系无穷小量的性质及无穷小量的比较极限的四则运算极限存在的两个准则:单调有界准则和夹逼准则两个重要极限:


函数连续的概念函数间断点的类型初等函数的连续性闭区间上连续函数的性质
考试要求
1.理解函数的概念,掌握函数的表示法,会建立应用问题的函数关系.
2.了解函数的有界性、单调性、周期性和奇偶性.
3.理解复合函数及分段函数的概念,了解反函数及隐函数的概念.
4.掌握基本初等函数的性质及其图形,了解初等函数的概念.
5.了解数列极限和函数极限(包括左极限与右极限)的概念.
6.了解极限的性质与极限存在的两个准则,掌握极限的四则运算法则,掌握利用两个重要极限求极限的方法.
7.理解无穷小量的概念和基本性质,掌握无穷小量的比较方法.了解无穷大量的概念及其与无穷小量的关系.
8.理解函数连续性的概念(含左连续与右连续),会判别函数间断点的类型.
9.了解连续函数的性质和初等函数的连续性,理解闭区间上连续函数的性质(有界性、最大值和最小值定理、介值定理),并会应用这些性质.
二、一元函数微分学
考试内容
导数和微分的概念导数的几何意义和经济意义函数的可导性与连续性之间的关系平面曲线的切线与法线导数和微分的四则运算基本初等函数的导数复合函数、反函数和隐函数的微分法高阶导数一阶微分形式的不变性微分中值定理洛必达(L'Hospital)法则函数单调性的判别函数的极值函数图形的凹凸性、拐点及渐近线函数图形的描绘函数的最大值与最小值
考试要求
1.理解导数的概念及可导性与连续性之间的关系,了解导数的几何意义与经济意义(含边际与弹性的概念),会求平面曲线的切线方程和法线方程.
2.掌握基本初等函数的导数公式、导数的四则运算法则及复合函数的求导法则,会求分段函数的导数,会求反函数与隐函数的导数.
3.了解高阶导数的概念,会求简单函数的高阶导数.
4.了解微分的概念、导数与微分之间的关系以及一阶微分形式的不变性,会求函数的微分.
5.理解罗尔(Rolle)定理、拉格朗日(Lagrange)中值定理,了解泰勒(Taylor)定理、柯西(Cauchy)中值定理,掌握这四个定理的简单应用.
6.会用洛必达法则求极限.
7.掌握函数单调性的判别方法,了解函数极值的概念,掌握函数极值、最大值和最小值的求法及其应用.
8.会用导数判断函数图形的凹凸性(注:在区间内,设函数具有二阶导数.当时,的图形是凹的;当时,的图形是凸的),会求函数图形的拐点和渐近线.
9.会描述简单函数的图形.
三、一元函数积分学
考试内容
原函数和不定积分的概念不定积分的基本性质基本积分公式定积分的概念和基本性质定积分中值定理积分上限的函数及其导数牛顿-莱布尼茨(Newton-Leibniz)公式不定积分和定积分的换元积分法与分部积分法反常(广义)积分定积分的应用
考试要求
1.理解原函数与不定积分的概念,掌握不定积分的基本性质和基本积分公式,掌握不定积分的换元积分法与分部积分法.
2.了解定积分的概念和基本性质,了解定积分中值定理,理解积分上限的函数并会求它的导数,掌握牛顿-莱布尼茨公式以及定积分的换元积分法和分部积分法.
3.会利用定积分计算平面图形的面积、旋转体的体积和函数的平均值,会利用定积分求解简单的经济应用问题.
4.了解反常积分的概念,会计算反常积分.
四、多元函数微积分学
考试内容
多元函数的概念二元函数的几何意义二元函数的极限与连续的概念有界闭区域上二元连续函数的性质多元函数偏导数的概念与计算多元复合函数的求导法与隐函数求导法二阶偏导数全微分多元函数的极值和条件极值、最大值和最小值二重积分的概念、基本性质和计算*界无**区域上简单的反常二重积分
考试要求
1.了解多元函数的概念,了解二元函数的几何意义.
2.了解二元函数的极限与连续的概念,了解有界闭区域上二元连续函数的性质.
3.了解多元函数偏导数与全微分的概念,会求多元复合函数一阶、二阶偏导数,会求全微分,会求多元隐函数的偏导数.
4.了解多元函数极值和条件极值的概念,掌握多元函数极值存在的必要条件,了解二元函数极值存在的充分条件,会求二元函数的极值,会用拉格朗日乘数法求条件极值,会求简单多元函数的最大值和最小值,并会解决简单的应用问题.
5.了解二重积分的概念与基本性质,掌握二重积分的计算方法(直角坐标、极坐标),了解*界无**区域上较简单的反常二重积分并会计算.
五、无穷级数
考试内容
常数项级数的收敛与发散的概念收敛级数的和的概念级数的基本性质与收敛的必要条件几何级数与级数及其收敛性正项级数收敛性的判别法任意项级数的绝对收敛与条件收敛交错级数与莱布尼茨定理幂级数及其收敛半径、收敛区间(指开区间)和收敛域幂级数的和函数幂级数在其收敛区间内的基本性质简单幂级数的和函数的求法初等函数的幂级数展开式
考试要求
1.了解级数的收敛与发散、收敛级数的和的概念.
2.了解级数的基本性质及级数收敛的必要条件,掌握几何级数及级数的收敛与发散的条件,掌握正项级数收敛性的比较判别法和比值判别法.
3.了解任意项级数绝对收敛与条件收敛的概念以及绝对收敛与收敛的关系,了解交错级数的莱布尼茨判别法.
4.会求幂级数的收敛半径、收敛区间及收敛域.
5.了解幂级数在其收敛区间内的基本性质(和函数的连续性、逐项求导和逐项积分),会求简单幂级数在其收敛区间内的和函数.

六、常微分方程与差分方程
考试内容
常微分方程的基本概念变量可分离的微分方程齐次微分方程一阶线性微分方程线性微分方程解的性质及解的结构定理二阶常系数齐次线性微分方程及简单的非齐次线性微分方程差分与差分方程的概念差分方程的通解与特解一阶常系数线性差分方程微分方程的简单应用
考试要求
1.了解微分方程及其阶、解、通解、初始条件和特解等概念.
2.掌握变量可分离的微分方程、齐次微分方程和一阶线性微分方程的求解方法.
3.会解二阶常系数齐次线性微分方程.
4.了解线性微分方程解的性质及解的结构定理,会解自由项为多项式、指数函数、正弦函数、余弦函数的二阶常系数非齐次线性微分方程.
5.了解差分与差分方程及其通解与特解等概念.
6.了解一阶常系数线性差分方程的求解方法.
7.会用微分方程求解简单的经济应用问题.
►线性代数
一、行列式
考试内容
行列式的概念和基本性质行列式按行(列)展开定理
考试要求
1.了解行列式的概念,掌握行列式的性质.
2.会应用行列式的性质和行列式按行(列)展开定理计算行列式.
二、矩阵
考试内容
矩阵的概念矩阵的线性运算矩阵的乘法方阵的幂方阵乘积的行列式矩阵的转置逆矩阵的概念和性质矩阵可逆的充分必要条件伴随矩阵矩阵的初等变换初等矩阵矩阵的秩矩阵的等价分块矩阵及其运算
考试要求
1.理解矩阵的概念,了解单位矩阵、数量矩阵、对角矩阵、三角矩阵的定义及性质,了解对称矩阵、反对称矩阵及正交矩阵等的定义和性质.
2.掌握矩阵的线性运算、乘法、转置以及它们的运算规律,了解方阵的幂与方阵乘积的行列式的性质.
3.理解逆矩阵的概念,掌握逆矩阵的性质以及矩阵可逆的充分必要条件,理解伴随矩阵的概念,会用伴随矩阵求逆矩阵.
4.了解矩阵的初等变换和初等矩阵及矩阵等价的概念,理解矩阵的秩的概念,掌握用初等变换求矩阵的逆矩阵和秩的方法.
5.了解分块矩阵的概念,掌握分块矩阵的运算法则.
三、向量
考试内容
向量的概念向量的线性组合与线性表示向量组的线性相关与线性无关向量组的极大线性无关组等价向量组向量组的秩向量组的秩与矩阵的秩之间的关系向量的内积线性无关向量组的正交规范化方法
考试要求
1.了解向量的概念,掌握向量的加法和数乘运算法则.
2.理解向量的线性组合与线性表示、向量组线性相关、线性无关等概念,掌握向量组线性相关、线性无关的有关性质及判别法.
3.理解向量组的极大线性无关组的概念,会求向量组的极大线性无关组及秩.
4.理解向量组等价的概念,理解矩阵的秩与其行(列)向量组的秩之间的关系.
5.了解内积的概念.掌握线性无关向量组正交规范化的施密特(Schmidt)方法.
四、线性方程组
考试内容
线性方程组的克拉默(Cramer)法则线性方程组有解和无解的判定齐次线性方程组的基础解系和通解非齐次线性方程组的解与相应的齐次线性方程组(导出组)的解之间的关系非齐次线性方程组的通解
考试要求
1.会用克拉默法则解线性方程组.
2.掌握非齐次线性方程组有解和无解的判定方法.
3.理解齐次线性方程组的基础解系的概念,掌握齐次线性方程组的基础解系和通解的求法.
4.理解非齐次线性方程组解的结构及通解的概念.
5.掌握用初等行变换求解线性方程组的方法.
五、矩阵的特征值和特征向量
考试内容
矩阵的特征值和特征向量的概念、性质相似矩阵的概念及性质矩阵可相似对角化的充分必要条件及相似对角矩阵实对称矩阵的特征值和特征向量及相似对角矩阵
考试要求
1.理解矩阵的特征值、特征向量的概念,掌握矩阵特征值的性质,掌握求矩阵特征值和特征向量的方法.
2.理解矩阵相似的概念,掌握相似矩阵的性质,了解矩阵可相似对角化的充分必要条件,掌握将矩阵化为相似对角矩阵的方法.
3.掌握实对称矩阵的特征值和特征向量的性质.
六、二次型
考试内容
二次型及其矩阵表示合同变换与合同矩阵二次型的秩惯性定理二次型的标准形和规范形用正交变换和配方法化二次型为标准形二次型及其矩阵的正定性
考试要求
1.了解二次型的概念,会用矩阵形式表示二次型,了解合同变换与合同矩阵的概念.
2.了解二次型的秩的概念,了解二次型的标准形、规范形等概念,了解惯性定理,会用正交变换和配方法化二次型为标准形.
3.理解正定二次型、正定矩阵的概念,并掌握其判别法.
►概率论与数理统计
一、随机事件和概率
考试内容
随机事件与样本空间事件的关系与运算完备事件组概率的概念概率的基本性质古典型概率几何型概率条件概率概率的基本公式事件的独立性独立重复试验
考试要求
1.了解样本空间(基本事件空间)的概念,理解随机事件的概念,掌握事件的关系及运算.
2.理解概率、条件概率的概念,掌握概率的基本性质,会计算古典型概率和几何型概率,掌握概率的加法公式、减法公式、乘法公式、全概率公式以及贝叶斯(Bayes)公式等.
3.理解事件的独立性的概念,掌握用事件独立性进行概率计算;理解独立重复试验的概念,掌握计算有关事件概率的方法.
二、随机变量及其分布
考试内容
随机变量随机变量分布函数的概念及其性质离散型随机变量的概率分布连续型随机变量的概率密度常见随机变量的分布随机变量函数的分布
考试要求
1.理解随机变量的概念,理解分布函数


的概念及性质,会计算与随机变量相联系的事件的概率.
2.理解离散型随机变量及其概率分布的概念,掌握0-1分布、二项分布、几何分布、超几何分布、泊松(Poisson)分布及其应用.
3.掌握泊松定理的结论和应用条件,会用泊松分布近似表示二项分布.
4.理解连续型随机变量及其概率密度的概念,掌握均匀分布、正态分布、指数分布及其应用,其中参数为的指数分布的概率密度为

5.会求随机变量函数的分布.
三、多维随机变量的分布
考试内容
多维随机变量及其分布函数二维离散型随机变量的概率分布、边缘分布和条件分布二维连续型随机变量的概率密度、边缘概率密度和条件密度随机变量的独立性和不相关性常见二维随机变量的分布两个及两个以上随机变量简单函数的分布
考试要求
1.理解多维随机变量的分布函数的概念和基本性质.
2.理解二维离散型随机变量的概率分布和二维连续型随机变量的概率密度,掌握二维随机变量的边缘分布和条件分布.
3.理解随机变量的独立性和不相关性的概念,掌握随机变量相互独立的条件,理解随机变量的不相关性与独立性的关系.
4.掌握二维均匀分布和二维正态分布

,理解其中参数的概率意义.
5.会根据两个随机变量的联合分布求其函数的分布,会根据多个相互独立随机变量的联合分布求其简单函数的分布.
四、随机变量的数字特征
考试内容
随机变量的数学期望(均值)、方差、标准差及其性质随机变量函数的数学期望切比雪夫(Chebyshev)不等式矩、协方差、相关系数及其性质
考试要求
1.理解随机变量数字特征(数学期望、方差、标准差、矩、协方差、相关系数)的概念,会运用数字特征的基本性质,并掌握常用分布的数字特征.
2.会求随机变量函数的数学期望.
3.了解切比雪夫不等式.
五、大数定律和中心极限定理
考试内容
切比雪夫大数定律伯努利(Bernoulli)大数定律辛钦(Khinchine)大数定律棣莫弗—拉普拉斯(DeMoivre-Laplace)定理列维—林德伯格(Levy-Lindberg)定理
考试要求
1.了解切比雪夫大数定律、伯努利大数定律和辛钦大数定律(独立同分布随机变量序列的大数定律).
2.了解棣莫弗—拉普拉斯中心极限定理(二项分布以正态分布为极限分布)、列维—林德伯格中心极限定理(独立同分布随机变量序列的中心极限定理),并会用相关定理近似计算有关随机事件的概率.
六、数理统计的基本概念
考试内容
总体个体简单随机样本统计量经验分布函数样本均值样本方差和样本矩分布分布分布分位数正态总体的常用抽样分布
考试要求
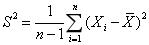
1.了解总体、简单随机样本、统计量、样本均值、样本方差及样本矩的概念,其中样本方差定义为

2.了解产生变量、变量和变量的典型模式;了解标准正态分布、分布、分布和分布的上侧分位数,会查相应的数值表.
3.掌握正态总体的样本均值、样本方差、样本矩的抽样分布.
4.了解经验分布函数的概念和性质.
七、参数估计
考试内容
点估计的概念估计量和估计值矩估计法最大似然估计法
考试要求
1.了解参数的点估计、估计量与估计值的概念.
2.掌握矩估计法(一阶矩、二阶矩)和最大似然估计法.