
一、Cpk的定义
Cpk (Process Capability Index )的定义:制程能力指数;
Cpk的意义:是制程水平的量化反映,用来表达制程的水平。
制程能力指数:是一种表示制程水平高低的方便方法,其实质作用是反映制程
合格率的高低。
Cpk计算公式: CPk=Cp×[1-ABS(Ca))
Ca(Capability of Accuracy):制程准确度;
Cp(Capability of Precision) :制程精密度;
注意:计算Cpk时,取样数据至少应有20组数据,方具有一定代表性。
二、Cpk等级评定及处理原则:

三、Cpk相关的几个重要概念
3.1单边规格:只有规格上限和规格中心或只有下限或规格中心的规格;如考试成绩不得低于80分,或浮高不得超过0.5mm等;此时数据越接近上限或下限越好﹔
3.2双边规格:有上下限与中心值,而上下限与中心值对称的规格;此时数据越接近中心值越好;如D854前加工脚长规格2.8±0.2mm;
USL (Upper Specification Limit):即规格上限;
LSL (Low Specification Limit):即规格下限;
C (Center Line):规格中心;
X=(X1+X2+… …+Xn)/n平均值;
(n为样本数)
T=USL-LSL:即规格公差;
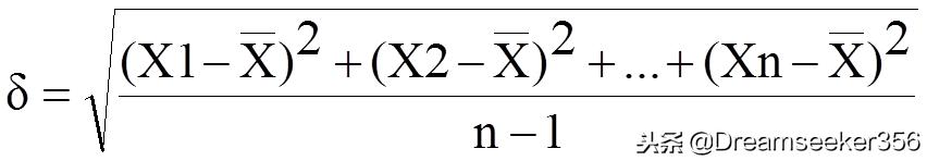
δ(sigma)为数据的标准差
(Excel中的“STDEV”函数自动计算所取样数据的标准差(σ) )

3.3 Ca等级评定及处理原则

3.4 Cp(Capability of Precision) :制程精密度
Cp衡量的是“规格公差宽度”与“制程变异宽度”之比例;
1.对于只有规格上限和规格中心的规格:

2.对于只有规格下限和规格中心的规格:

3.对于双边规格:

3.5 Cp等级评定及处理原则:

四、CPK计算知识总结:
