虽然在常规摄影主题中属于“少数派”,但鱼眼镜头在安监、国防军事、管道检测、天气预报等场合都有着很重要的作用,事实上鱼眼镜头的历史相对而言不算悠久,1905年美国物理学家罗伯特伍德通过水下对空成像(斯涅耳窗口)拍下了目前已知最早的一张鱼眼照片:

这是因为光线在介质间传播遵从斯涅耳折射定律,当折射率为1..33水体处于平静状态时,水下的成像装置只需要97.2度视场角就能满足全反射条件,实现对水面以上的半球空余的全景观察。如果大家有机会去海里、湖里潜水的话可以试着在水下仰望天空,你就会亲眼见证斯涅耳窗口究竟是什么。
真正应用到摄影领域的鱼眼镜头在1960年代才开始逐渐出现,而对于现代光学应用来说,鱼眼镜头的物方视场角往往需要超过180度,而这又会引入不少新的设计挑战。首先是选择合适的投影方式,普通镜头采用理想的直线投影:

y为像高,可以理解为传感器对角线长,f为焦距,θ为半视场角,不同画幅镜头之间的换算可以用此式来解决。可以看到当半视场角为90度时其正切值为无限大,而超过90度之后像高为负值,所以180度视场角及以上的鱼眼镜头都需要换用非直线投影,引入桶形畸变把半球市场投影到有限的平面靶上,主要有等距、等体、正交、体视等四种投影方式,最常见的是等距投影:

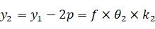
像点到画面中心的距离和物方视场角呈线性关系,而且当视场角固定时,就是一个仅仅与焦距呈比例的关系,这个投影方式的特点很明显:视觉上被压缩的边缘位置,实际与中心部分有着相同甚至更大的像素占比。这里可以做个简单的计算,基本的逻辑就是求边缘的角分辨率分布变化,假设为一颗180度物方视场角鱼眼镜头,也即θ=90度=π/2,像素间距为p,纳入评价畸变k(k=1+fθ畸变)后,传感器边缘y1的等距投影就是:

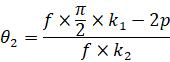
与之相隔2个像素间距的位置y2及其对应的视场角θ2和评价畸变k2有如下关系:

由此可得视场角θ2:

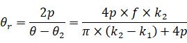
所以,此时的边缘角分辨率θr就是两个像素间距,除以两个视场角θ和θ2的夹角:

然后对f求微分:

由此可见,焦距f减小,边缘角分辨率θr就越小,这意味着边缘区域占据的像素空间越大,而视场中心区域所占据的像素空间就越小。其实其他几种鱼眼投影也有相似的性质,但因为等距投影无论中心还是边缘,每弧度角对应的距离是相同的,所以总体来说等距投影的成像会更加均匀,不会出现中心与边缘失衡的问题,像体视投影会让中心过小而边缘过大,等积投影则是中心偏大边缘偏小,畸变最大的正交投影更是边缘空间严重压缩而中心过大……做了一个f=1,物方视场角2θ=180度圆周鱼眼使用不同投影的分布形态GIF,大家自行观察吧:

而且等距投影的画面中心部分的畸变较小,综合来说对摄影等应用来说比较方便使用,对安监军事应用也可以直接通过图像法提取角坐标,实时性很强。当然,其他投影在既定条件下也有自身优势,也依然有采用这些投影方式的镜头。
顺带一提,不同的投影方式即便视角和像高相同,也会有不同的焦距,所以鱼眼镜头之间的规格对比首先需要建立在投影方式相同的前提下。
在选择好投影方式之后,接下来就是确定成像类型,熟悉鱼眼的朋友应该知道有对角线鱼眼和圆周鱼眼之分:

上为对角线鱼眼,下为圆周鱼眼:

其实两者的差距就是像高y的不同,比如采用等距投影,在传感器尺寸和半视场角相同的情况下想要覆盖对角线,就意味着y要更大,显然此时就需要更大的焦距f,因此对角线鱼眼镜头往往有比较长的焦距,以全画幅为例,对角线鱼眼y=21.63mm时,θ=90度=1.57弧度,可算出焦距为13.78mm,将评价畸变纳入后可取14mm,而如果是圆周鱼眼,也就是指覆盖全画幅的宽边,此时y=12mm,焦距就变成了7.64mm,可取为8mm,采用这一设计的代表产品就是佳能的EF 8-15mm F4。
虽然两者焦距不一样,但视场角却是基本一致,换个角度来说,可以把对角线鱼眼理解成圆周鱼眼取中间3:2区域再放大,得益于利用了更大的传感器面积所以画质会更好,但建立在牺牲上下视角的前提下。
基础知识介绍了不少,接下来就可以看看今天分析的主角:老蛙4mm F2.8了,这颗镜头的视场角达到了210度,采用等距投影设计,这样一来可以算出它的像高为14.67mm,显然这是一颗可完整覆盖M43和部分覆盖APS-C画幅的圆周鱼眼镜头。我手里这颗是索尼E卡口版本,测试机型为A6100,不过,实测有效成像圈大概是以3400像素为直径,总计约910万像素(在6400万像素全画幅A7R4上约1020万,在2000万像素M43机型上有1187万左右)。这意味着它的像高其实只有13.26mm,刚好等于M43传感器的高,实际焦距在3.6mm左右,因存在评价畸变所以标定为4mm。
看看长啥样吧先:


第一感觉是很小巧,而且从完全包裹式的镜头盖到镜身均采用金属材料,耐用性理论上会相对较好。 操控自然是光圈、对焦全手动,不过考虑到它的景深非常深,即便是F2.8全开,超焦距起点也仅仅只有不到30cm(对焦到30cm时从15cm到无限远均在景深内),收到F5.6时就更进一步来到15cm左右……我一般就把对焦放在0.2m位置并选择F5.6或更小的光圈上,所以老蛙4mm F2.8的使用方式其实跟理光GR系列等街拍相机差不多。
当然它也能小小的微距一下,最近对焦距离仅8cm左右,前景组几乎要贴到被摄物,再加上F2.8的作用下,效果还是挺不错:

210度的视场角在拍摄时会遇到一个比较尴尬的问题,那就是非常容易把握持相机手柄的手指给拍下来:

从超过180度的侧面能清晰的看到入瞳:

也很容易一不小心就看到摄影师的脚,拍摄时需仔细注意(但也并不一定是缺点,比如想*拍偷**旁边妹子的时候,这就成优势了,嘿嘿)。
所以我在使用时会把相机放在手持自拍架上:

这样一来基本上就可以避免手脚入镜了,拍视频的时候也相对比较方便。总体来说老蛙4mm F2.8的成像以视觉新颖性取胜,可以拍出一些比较有趣的效果:





以上图片均有不同程度的后期处理,但至少对于社交媒体、生活纪实等主题来说老蛙4mm F2.8结合索尼APS-C机身是完全够用,甚至还挺有趣的。不过,虽然它的价格确实不贵(1280块),但并不意味着设计起来很容易,主要有如下几个难点。
第一个难点是像面照度均匀性,可以理解为暗角。越是广角镜头,越容易出现暗角,主要原因就是轴外像点照度受余弦四次方定律影响(从轴外像点来看,光程增大、出瞳减小、光照散布面增大,总计为像方视场角的余弦四次方倍)。
解决方法主要有2个,其一是物方远心,其二是利用像差。物方远心设计对于短焦距的圆周鱼眼来说比较容易实现,简单来说就是把光圈放在前镜组的后焦点位置,此时入瞳就位于无限远,主光线与光轴平行入射。因为焦距短,所以在比较短的轴向距离上就能做到,不至于让前列的负镜组尺寸过大,体型可以有效控制。

利用像差校正边缘照度首先是依靠鱼眼反望远设计的前组负镜产生大量桶形畸变,从而降低像方视场角,减小余弦四次方的影响。其次是利用彗差,使光圈的放大倍率随轴外点增大,也就是越偏轴外,越能获得更大的通光孔径,进而增大边缘照度,但增大彗差往往意味着增大镜后距,特别对无反系统来说这一点在设计时需要仔细平衡。

事实上看老蛙4mm F2.8的RAW原图,暗角控制得还不错,后期稍微拉一下就OK,这说明它比较好地利用了上述两种校正手段。
而鱼眼镜头的第二个挑战是轴外倍率色差,原因与我前一篇Qoocam 8K全景相机文章分析的一样,主要的限制在前组负镜的材料上,既要高折射率以满足系统所需的畸变和缩小像方视场角,又要高阿贝数来校正色差,这样的材料目前还比较少,常规镧系玻璃可以做到d线折射率1.74,阿贝数45就很不错了,而且又会因为异常分散性较低而难以校正轴上二级光谱,考虑到老蛙4mm F2.8本身价格定位就不高,所以这方面的也几乎就是“量力而行”,轴外倍率色差还是比较明显:

如果要问解决方案,当然最简单的就是使用新材料,比如蓝宝石单晶,d线折射率超过1.76,阿贝数则可以达到72以上,对轴外倍率色差的校正有相当大的意义,不过难点是蓝宝石的硬度很高(仅次于金刚石),加工与抛光所面临的难度和成本也相对较高。
除此之外,面型精度也很重要,往往超广角镜头的前组负镜都会采用双面非球面工艺,目的自然是校正各类像差,但遗憾的是老蛙4mm F2.8没有采用非球面设计,其实通过采用低熔点材料做压膜成形也并非难事,未采用这样的设计应该也还是与成本相关。
当然,如果再放开一点,采用折衍混合设计,在后组加入衍射元件并利用其对波面任意相位调制的特性,不仅可以校正像差,还能让结构更简单,体型更小,但这都属于偏向理论的设计,未来能否见到这样的产品尚属未知。
鱼眼设计的第三个难点是眩光,但这个目前几乎没有办法可解决,老蛙也不例外,只能忍忍了(其实有时候眩光还是主观加分项):

总结一下,老蛙4mm F2.8圆周鱼眼从目前来看成像区域仅覆盖1000万像素左右,再加上日常拍摄的情况下放大倍率低,因此并没有在分辨率上做太大的突破,光学设计基于鱼眼镜头的基础而上限截止于“够用就好”。但它的成像是比较均匀的,没有出现边缘分辨率剧烈下降的问题,主要的看点还是独特的视角和较高的性价比,买来玩玩,拍拍视频也很有趣,也是新冠肺炎疫情期间我宅在家主要的把玩对象。