相信大部分卖家朋友都知道要优化淘宝标题,而且很重要!网上各种关于标题,淘宝SEO的教程到处都是,甚至还有很多收费上千的培训,讲的十分高大上,但是大部分情况是当你按照教程写好了你的标题却发现还是没有流量。你说你感到万分沮丧,甚至开始怀疑人生。今天我们就来聊聊写好标题到底能不能带来流量。

首先介绍一下什么是SEO(search engine optimization)即搜索引擎优化,指通过合理的优化提高你的网站在搜索引擎中的排名。百度SEO是指提高在百度中的排名,淘宝SEO当然就是指提高产品在淘宝搜索中的排名从而获得更多流量将你的产品卖出去。
我们先思考一个问题:搜索引擎的角色到底是什么?其实搜索引擎是一个反馈系统,他的使命是将买家认可的产品推荐给更多买家,衡量产品是否受到买家认可有很多因素,销量可谓是其中最重要和直接的一个指标,从而意味着你的销量越高就代表你的产品越受买家欢迎,搜索引擎也会给到你的产品更多搜索流量。从这个角度你就会理解,为什么这么多人想要打爆款,因为一旦你成为了销量第一的产品,一般你会拿到最多的搜索流量,你的产品就可以自给自足成为你赚钱的机器了。

反过来思考,一个没有销量的产品,搜索引擎无法通过数据判断你的产品是否受到买家认可,你的淘宝SEO做地再好标题写地再牛,也不会排到前面(除非你所有的竞争对手也都没销量)。这就是新手往往容易走进的误区,以为写好了标题就可以坐等流量了。那么写好标题到底对我们拿到搜索流量有什么帮助呢?
当我们在搜索一个关键词的时候,搜索引擎往往是从产品标题中抓取,如果你的产品标题里面有这些热搜的关键词,你的产品就有机会展现(如何写标题的方法可以参考小亨的这篇文章:简单快速获得淘宝流量,学好这一招!),所以标题在淘宝SEO中的重要性举足轻重,也是为什么这么多教程会围绕标题来做文章。简单来说就是你的标题写的越好,你的有效关键词(能够带来流量的关键词)会越多,也意味着你的搜索入口会越多。
其实在淘宝SEO中还有其他几个因素也十分重要,后续的文章我们会写到,想要了解请微信关注公众号“小亨电商”。
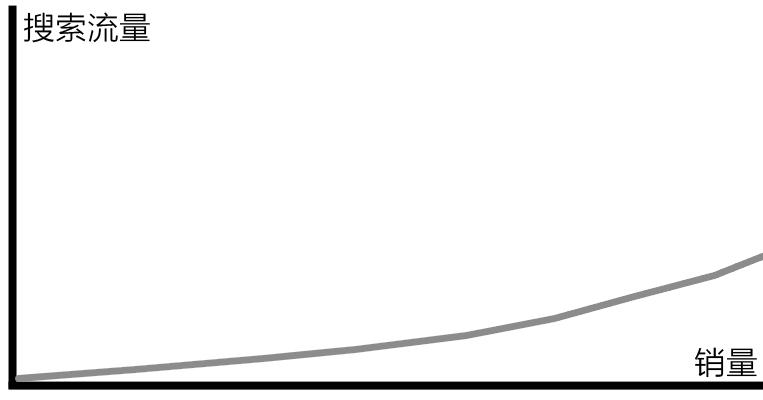
好的标题能够有效提高你的淘宝SEO,带来更多的搜索流量入口,下面通过一张图让大家来理解淘宝SEO和搜索流量的关系:

我们可以看到,无论你做不做淘宝SEO优化,随着销量上涨都会得到更多的搜索流量。在销量较小的初期拿到的流量差别不会很大,但是在后期随着销量的增长,搜索流量的获取会呈现几何级的放大。我们可以理解为销量越高的产品淘宝SEO越重要,写好产品标题越有用,可以获得的流量越多!如果你的产品够优质转化率高,前期尽管搜索流量很小但是也会刺激你的销量,销量上去了获得的搜索流量就更多了,然后不断形成一个良性循环,你的产品就真正盘活了。
现在你应该理解了为什么往往你写好了标题却没有流量了吧,他不是一个直接获取流量的捷径,而是像催化剂一样,在有销量的基础上帮助你的产品更高效地获取更多搜索流量。所以每当你有新品时,赶紧去做基础销量,通过数据来证明你产品的“认可度”,才能激活你的产品!
如果你需要基础销量可以关注微信公众号“小亨电商”在后台回复“销量”获得更多信息。
欢迎订阅小亨电商头条号或者微信关注公众号“小亨电商”,如果有任何问题或者需要帮助可以在后台回复我们。另外我们正在筹备从零做电商系列免费教程,你可以回复你感兴趣或者想要学习的话题帮助我们更好地搭建我们的教程。
本文由小亨电商原创首发,未经许可禁止转载(欢迎大家转发朋友圈)