
#我在头条做科普##健康科普大赛##芽孢杆菌##金黄葡萄球菌##益生菌#
本文精华导读
- 为啥泰国的一项人体菌群研究,让所有科学家都兴奋不已?
- 耸人听闻致人于死地的菌株,原来是因为能产生某种“孢子”?
- 有盾又有矛,为何说芽孢杆菌是最强“治愈”益生菌?
- 不走弯路,推荐有功效和临床的前沿菌株和产品。
杀敌于无形的杆菌
益生菌对人体的作用有非常多,但最常提及和被我们所熟知的还是抑制或杀灭致病菌,修复肠道屏障和平衡免疫系统这三种,一定要牢记。
1.修复肠道屏障
2.平衡免疫系统
3.抑制致病细菌
这三种作用里的前两种我们都讲过,虽然直接理解起来有难度,但通过城墙和护城河的这个比方,其实也可以很容易get到精髓。
1.修复肠道屏障
肠道屏障最外面可以分为两层,分别是机械屏障和生物屏障。
肠道上皮细胞外面有一层黏液层,这就是生物屏障。致病菌要想到达上皮细胞这道城墙,就必须先趟过这条护城河。一旦黏液层被破坏,护城河干涸了,致病菌就会直达上皮细胞从而导致结肠炎等。

而补充益生菌,就可以通过刺激上皮细胞重新促进黏液分泌,让黏液层重新恢复得更厚更深。这样致病菌一旦踏入这条黏液构成的“护城河”里,就直接“淹死”了。
肠道上皮细胞是肠道内壁的那层“机械屏障”。所有上皮细胞排列紧密地站在一起,构成了一道“城墙”,阻挡住了致病菌的侵袭。
而在肠炎患者等体内,上皮细胞连接出现漏缝,不再紧密,因此在“城墙”的不少部位就出现了松动和缺口,这个时候致病菌就会趁虚而入。

益生菌的作用就体现出来了,它们通过增强肠道上皮细胞间的紧密连接,从而降低通透性,避免致病菌穿透进入肠道内部。【1】【2】
人话版小结:
城墙处砖块儿松动了,就赶快用新的砖石和水泥重新砌好,这就是修复物理屏障。刺激上皮细胞多放一些黏液,来加宽加深黏液层这条护城河,这就是修复生物屏障。两者结合起来,就是非常好的修复肠道屏障的方法。
2.抑制炎症和增强免疫
益生菌能对一些有害成分进行“修饰”,这样就能降低它们的致病性。另外还能提高先天免疫系统中巨噬细胞的吞噬病毒的活性,激活和释放一些白介素因子等,从而促进抗体的分泌。【3】【4】

人话版小结:
增强免疫的关键其实就两点,降低炎症因子的水平,提高特异性抗体的水平。看上去只是一降一升而已,但里面的学问可就太多了。
3.抑制致病菌
再来说益生菌的最后一项功能,就是抑制致病菌这个大杀器。听上去应该更好理解才对,好的菌多了,坏菌自然就少了嘛。但是当你仔细想,好像没那么简单。
- 第一,益生菌并没有长手长脚更没有*器武**,坏菌怎么可能轻而易举地被消灭掉?
- 第二,所有的益生菌都有这个能力吗?如果是的话,那我们就随便选一种或者几种益生菌吃就好了,哪里还有抗生素什么事儿?
不只是你有这个疑问,其实也是直到最近10年内,科学家们也是在“无意间”才发现了这里面更多的奥秘,也从而有助于揭开了我们今天要讲的这类菌群的神秘面纱。
回到5年前的2018年,Nature杂志上发表过一篇到现在都非常轰动且意义深远的研究论文。
美国国立卫生院的科学家们在泰国农村取样分析了200名本地村民,想分析东南亚国家的农村人体微生态情况。但是在拿到肠道和呼吸道菌群结果的时候,他们像发现了新大陆一样激动地跑到大街上且彻夜难眠(当然此处是控叔我脑补的,不过这个结果在任何科研工作者看来都会感觉如此,咱们接着看)。【5】

结果是:只要是肠道里测出芽孢杆菌的人,他们的肠道和鼻腔里就不存在金黄色葡萄球菌。

(绿人儿表示检测出肠道中检测出枯草芽孢杆菌,黄人儿表示检测出金葡球菌)
我滴个乖乖,要知道金葡菌也是我们普通人体内最为常见的条件致病菌之一,而且生命力万千。能做到势不两立且有【芽孢】无【金葡】,它俩之间究竟发生了什么事情?

(图片来源于网络)
科学家们赶紧开始了实验,接下来的结果就更让人振奋了。除了在人体,在所有的试验小鼠身上也发现了一模一样的规律: 只要给小鼠食物中添加了枯草芽孢杆菌,它们体内提前定植好的金黄色葡萄球菌就全都没了!!!
也就是说,芽孢杆菌这种菌,对金葡菌存在着巨大的“驱散效应”。

就好比一片草原上原本只有鬣狗没有狼,结果等一群比鬣狗还要凶猛的狼来到这片草原,鬣狗就消失了。
接下来的试验验证比较繁琐和精密,咱们不展开说(关键你们也不感兴趣)。反正是经过了一番%&¥@¥,科学家们最终发现了原来金葡菌之所以能在人体繁殖和定植,靠的是细菌彼此间的信号感应,金葡宝宝们每天互相照应,抱团成长祸害人类或者动物。
但枯草芽孢杆菌进入肠道后,会释放一种叫【Fengycin】丰原素的脂肽。结果就是这么个小玩意儿,打破了金葡菌们之前安静的生活。

这个脂肽就做了一件事儿,切断了所有金葡菌和金葡菌之间的信号联系,每个金葡菌都觉得到了世界末日一样,全世界好像就剩下了自己,再活下去也没有多大劲,然后自己就寂寞地死掉了。。。 故事的前半段像极了电影《I am legend》,只不过主角换成了反派--金葡菌。

文章发表后,引发了生命领域里非常热闹的一次讨论。要知道就是这么一种普通的很多泰国人身上都有的益生菌,竟然能在悄无声息间灭掉战斗力相当强的金黄色葡萄球菌,这也堪称菌界的一段传奇了。
所以问题来了,科学家们研究的这种芽孢杆菌到底是啥?为什么绝大多数人每天都能听到关于益生菌的消息,但却几乎没怎么听说它呢?
什么是芽孢杆菌?
按照微生物分类学的定义,芽孢杆菌的地位非常高。从门纲目科属种来看,芽孢杆菌纲就在厚壁菌门的下面,紧接着就是芽孢杆菌目和乳杆菌目这两个目。

芽孢杆菌在细菌中的地位高,还体现在另外两个方面。
一个是发现时间最早(至少是之一,防杠后缀),甚至早到了接近150年前,也就是1872年就已经被微生物学领域的鼻祖Cohn定义为“芽孢杆菌属”。如果再往前看,更早应该是在1835年,由德国生物学家Ehrenberg命名了一株为“Vibrio subtilis的菌株,也就是“枯草芽孢杆菌”的前身。
这个时间不仅比乳酸菌(1878年)和双歧杆菌(1899年)的发现要更靠前,更比1928年才发掘出来的青霉菌更是古早了一个世纪。
说它的地位高,还因为家族庞大,成员众多,而且还在不断地发现,归类和重新命名,比如下表也仅是芽孢杆菌属的其中一小部分,这比起我们日常所熟知的双歧杆菌家族要大的多的多了。

可是为啥叫芽孢杆菌呢。咱们分开解读,“杆菌”最好理解,这帮家族成员一个个儿地在显微镜下长得都像“小木杆”或者“小短棒”,那自然就是杆菌了。

(枯草芽孢杆菌电镜图,图片来源于fineartamerica.com)
如果某个家族里面都长得圆乎乎滚溜溜的,就会被称为“球菌”,比如葡萄球菌,嗜热链球菌(一堆球菌串成一串链条就是链球菌)等等,不过这是题外话了。
芽孢又怎么理解呢?芽孢形成于细胞内部,一般一个细胞只产生一个孢子或者芽孢,最后孢子会从菌体或芽孢囊中分离出来。

(芽孢构造示意图,图片来源于网络)
休眠期的芽孢是自然界中目前找到的最“抗造”的细胞体,对高热、辐射、酸碱和有机溶剂等杀菌因子都有非常强的耐受力,就是因为芽孢外面穿了好几层的外衣。
但是一旦感知到外界环境条件适宜,比如进入人体肠道后,芽孢就能迅速萌发形成具有完整分裂繁殖功能的芽孢杆菌细胞,重新开始它的生命周期。
我给团队小伙伴们解释芽孢的时候,她们就说和植物园里的睡莲好像,种子能休眠上万年,但是一旦遇到合适的环境,又能重新发芽开花。

人话版小结:
家大业大,能打能抗。能耐得住长期的寂寞蛰伏下去,还能在收到唤醒命令时第一时间苏醒,这堆“棒棒”们显然在与大自然共同进化的历史长河中,把自己熬成了王者。
芽孢杆菌与其他益生菌
相比优势是啥?
1.自身实力强
第一个优势就是自身实力强,抑制致病菌的效果更强更快。
在上面我们讲益生菌“杀灭致病菌”和治疗艰难梭菌的时候,都已经讲到,大家也都看到了。不同的芽孢杆菌在到达肠道内,就是通过产生乳酸,生物酶和抗菌肽等大量不同的代谢产物,来抑制或者杀死致病菌。
另外打铁还得自身硬,如果自身实力不足,就好比一介文弱书生,就是空有报国杀敌想法也完全不行。而芽孢杆菌就不一样嘞,它天生细胞壁特别厚(能被归为厚壁菌门绝对不是浪得虚名),就像穿了厚厚铠甲,练就了一身*钟金**罩铁布衫的硬功夫,即便是像艰难梭菌这种致病菌的干扰能力再强,我也岿然不动。

所以,我既有刀枪不入的盔甲,还有杀敌于无形的核*器武**,要想杀灭那些致病菌,轻松的就跟李逵拎一只小鸡崽儿一样稳稳地拿捏
枯草芽孢杆菌在微生物行业里有个小绰号,叫“菌中之王”,你品,你细品。。。
2.生命力相当 相当 相当顽强
注意这里我用了三个“相当”,足以看出我对它的敬畏。
再比如与同样裸露的活性双歧杆菌或者乳酸菌比较测试中,经过人工胃酸(pH在1.3-1.5之间的)的 强酸性环境处理2小时后,芽孢杆菌的存活率仍保持在95%以上, 而此时的乳酸菌和双歧杆菌的存活率都仅在5%左右。
其他两种菌几乎就是被虐完了,而芽孢杆菌依然能大笑着全身而退,因此充分说了它对强酸性条件的超强耐受性,也就能保证了它可以在不用任何包裹的前提下,就可以顺利通过胃酸到达肠道,从而保证功效的充分发挥。
其中85-90%的菌体到达人体肠道后,约4-6个小时后孢子便可重新萌发,并迅速繁殖 。【6】
3.创造环境让其他友军壮大
不仅自己很强,它还可以带动身边的朋友们一起成长,这是为啥呢?
因为芽孢杆菌在复苏和繁殖的过程中会需要大量的氧气,因此一旦它们进入肠道,肠道内大量氧气都会被它耗光,这样就能保证肠道有非常健康的厌氧环境。
而一些有关键作用的优势菌株比如双歧杆菌、乳杆菌等益生菌相对脆弱,必须在非常好的厌氧环境下才能快速繁殖,因此芽孢杆菌其实起到了维持肠道菌群平衡的作用。
人话版小结:
举个不恰当的比方,芽孢杆菌好比是一棵大树,而双歧杆菌等是需要在阴凉下才能生长的花草,因此有了芽孢杆菌,就可以在它的保护下迅速长大。有了芽孢大树好乘凉,其他益生菌来沾光。
不同芽孢杆菌种的临床功效
芽孢杆菌的各个成员都有很好的临床优势。
比如,芽孢杆菌中的很多菌种都有结合脂多糖,对付耐药菌,还有中和内毒素等等的作用,因此在很多疾病尤其是慢性肠道类疾病的医学治疗上,有着非常重要的价值。
比如过度使用抗生素导致的细菌耐药菌株,虽然现在大多是联合使用多种抗生素是克服耐药性的一种有效策略,但隐患仍然存在。而2018年关于芽孢杆菌的一项研究,却让我们很多人看到了另一道曙光的存在。芽孢杆菌通过合成和分泌的多糖EPS,就能显著抑制大肠杆菌生物膜的形成,从而抑制致病菌的繁殖。【7】
不同菌种的芽孢杆菌在对消化道疾病的治疗方面,有着不少共同点,但同时也存在差异。这是因为芽孢杆菌属的菌种都共享了团队中基本功能的核心基因,也存在各自菌株*特中**异性功能的差异基因。【8】
1.凝结芽孢杆菌
凝结芽孢杆菌是国内比较早批准的芽孢杆菌种,2016年的时候就被列入《可用于食品的菌种名单》。【9】【10】
凝结芽孢杆菌是一种典型的可产L-乳酸的菌,因此对于平衡肠道内pH和其他菌群平衡起着重要作用。印度的一项随机对照临床研究表明,136名IBS患者持续服用8周的凝结芽孢杆菌, 可以显著改善患者腹部不适和疼痛的强度,有效缓解IBS的症状。【11】
另外,凝结芽孢杆菌对IBS合并重度抑郁症患者的临床干预效果也不错,90天的持续服用,能够降低炎症标志物水平。【12】【13】
2021年,另外一项随机双盲对照的研究中,采用了凝结芽孢杆菌和枯草芽孢杆菌配合麦芽糊精(益生元)联合治疗干预2个月。研究结果表明,这种两种芽孢杆菌和益生元复合物可以减弱血液中的Th17信号水平,从而缓解肠道消化不良的症状。【14】
2.克劳氏芽孢杆菌
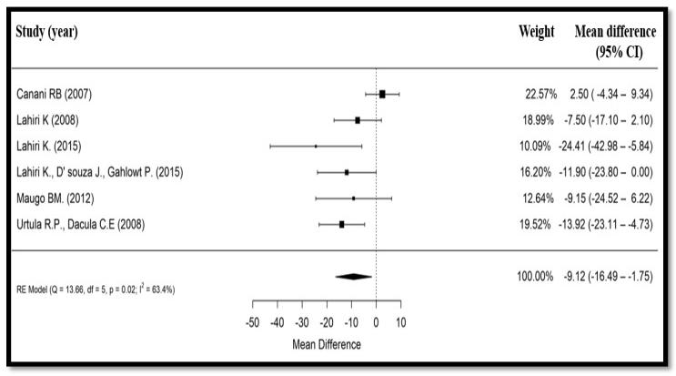
克劳氏芽孢杆菌,被证明是治疗儿童急性肠胃炎和急性腹泻的有效成分。在2018年发表的在Nutrients上荟萃分析中,对6项纳入1300名的急性腹泻儿童患者的随机对照临床试验进行了精准分析。结果发现, 克劳氏芽孢杆菌可以大幅减少患儿的腹泻时间以及住院时间,同时也能减少患病期间的排便频率。 【15】

(不同临床结果中克劳氏芽孢杆菌对减少腹泻时间的作用)

(不同临床结果中克劳氏芽孢杆菌对减少住院时间的影响)
3.枯草芽孢杆菌
回到枯草芽孢杆菌。其实最前面讲到它和金葡菌之间的恩怨,就已经展示出了它强大的抑菌功效。不过在抑菌方面,也并非只有脂肽这一种抗菌成分,恰恰相反,它合成和分泌了大量的代谢产物,比如核糖体肽(RP),非核糖体肽(NRP)和都有很好的生物活性,组成了一张很全面的“抗菌谱”。【16】

这张抗菌谱像一张密不透风的大网一样,因此才能对很多细菌,真菌,寄生虫甚至是病毒都有抑制作用。
另外,菌血症也是比较要命的问题。一些中长期服用抗生素的患者体内,就容易有耐药性粪肠球菌在肠道中过度繁殖,菌血症风险因此大幅提高。 而口服益生菌枯草芽孢杆菌的孢子益生菌,通过产生的2种脂肽类代谢产物,就能轻松抑制粪肠球菌移位引起的菌血症。 【17】

人话版小结:
有代表性地讲了三种菌,芽孢杆菌家族还有很多成员的作用和功效,但实在没有时间展开了,比如地衣芽孢杆菌(下面提到的产品中也有)等等。咱们先有个感性认识,至少当你下一次遇到这几种菌,就不会一脸蒙圈的到群里问我。
控叔,这个益生菌咋没听说过啊?
好物推荐
鉴于大家没怎么见过此类产品,如果在网上自己搜索,一不小心又跳转到哪个犄角旮旯了,再不小心被噶了腰子,所以本着做好事做到底的态度,我们给大家推荐芽孢杆菌产品的杰出代表,大家可以自行搜索并根据自己情况理性购买。
MegaSporeBiotic全孢子型益生菌

(图片来源于产品详情页)
被我家专攻微生物领域的领导*脑洗**后(看出我地位有多高了吧),我们家就囤了几瓶,自己还没开始吃,朋友家的娃就遭遇急性呕吐和腹泻,我赶紧给她一瓶,果然不负众望效果贼好。
Microbiome Labs属于美国医生专业推荐的益生菌品牌(目前应该是在生物技术解决方案领域非常有优势的Novozymes OneHealth旗下),当然也是目前世界上在孢子益生菌领域最早投入临床的品牌。
所以能做第一个吃螃蟹的,都属实值得让人敬佩。

(图片来源于产品详情页)
活性成分
5种芽孢杆菌孢子菌,每粒20亿。其中包括印度芽孢杆菌HU36,枯草芽孢杆菌HU58,凝结酶芽孢杆菌SC-208,地衣芽孢杆菌SL-307,克劳氏芽孢杆菌SC-109。
Microbiome Labs大孢子益生菌的优势是不仅菌种多,含量高,而且他们还做了大量的第三方研究来验证菌株组合的临床功效。 比如2019年发表的研究表明,服用这5种菌株组合,可以在30天内减少患者体内毒素水平,缓解肠漏综合征的相关症状。【18】
另外因为芽孢杆菌并不像双歧杆菌等,特别惧怕抗生素,因此在服用抗生素治疗期间,同时补充克劳氏芽孢杆菌等可以减少抗生素相关副作用,并且保护肝脏免受药物毒性损害。【19】【20】

国内的芽孢杆菌药品
这里面最有代表性的两款OTC药品,分别是爽舒宝口服凝结芽孢杆菌活菌片和整肠生地衣芽孢杆菌活菌胶囊,药品名字里就是它们的主要活性成分。
爽舒宝口服凝结芽孢杆菌活菌片

整肠生地衣芽孢杆菌活菌胶囊

爽舒宝的活菌数量是每片在1.75 x 107 CFU(1750万 CFU),而整肠生的每粒胶囊是2.5 x 107 CFU(2.5亿 CFU)。目前国内药物的优点就是安全性高,容易购买(不需要处方)。
但实话实说,因为菌株单一,活菌量也少,其实性价比也并不高。比如爽舒宝第一天需要服用12片以上,一瓶48片的4天就吃完了,每天折合下来成本也要16元左右,这还是单一菌株(这点和国产VD一样,并不是药店里的OTC就便宜或者效果更好)。
人话版小结:
悄咪咪地告诉大家一个有趣的知识点,因为芽孢杆菌制剂做成了孢子菌,所以普遍在货架上的保质期会长,这是与其他益生菌产品相比非常天然的优势。
这是孢子型益生菌与其他双歧杆菌或者乳杆菌等益生菌最大的不同,当然买之前一定要认准是全孢子型的就好了。
写在最后
上上周四,我也去列席参加了一个微生态制剂研发的内部小会。大咖们在说,今年会是微生态领域集中爆发的一年。但这话我怎么听着如此耳熟,去年好像听过,前年好像也听过,揍是不知道啥时候能应验。我们和一直待在实验室的牛人感觉不一样,其实不管是益生菌,益生元还是后生元,如果只是停留在从科研和临床层面,没有更多的质量过硬的产品让大众认知到效果,可能反而会让大家失去希望。
因为能直接抑菌所以可能对一些肠道疾病的干预效果更快,因为耐高温和酸碱性所以配方和服用也更简单,这两点都是大孢子益生菌相比目前市面上大多数益生菌都更明显的优势。让大家了解并熟知各种芽孢杆菌,可能需要的就是时间。不过好在这方面有功效的产品会越来越多,原材料和工艺也越来越成熟了,好饭不怕晚嘛。

没读过参考文献怎么写文章
1、Resta-lenert S, Barrett KE. Live probiotics protect intestinalepithelial cells from the effects of infection with enteroinvasiveEscherichia coli (EIEC) Gut,2003,52: 988-997.
2、王海燕, 张文远. 益生菌对肠黏膜屏障紧密连接蛋白保护作用的研究进展[J]. 国际消化病杂志, 2012, 32(5):3.
3、Wang, X.; Zhang, P.; Zhang, X. Probiotics Regulate Gut Microbiota: An Effective Method to Improve Immunity. Molecules 2021, 26, 6076. https://doi.org/10.3390/molecules26196076
4、Gang Tang & Linyu Zhang (2022) Update on Strategies of Probiotics for the Prevention and Treatment of Colorectal Cancer, Nutrition and Cancer,74:1, 27-38, DOI: 10.1080/01635581.2020.1865420
5、Piewngam P, Zheng Y, Nguyen TH, Dickey SW, Joo HS, Villaruz AE, Glose KA, Fisher EL, Hunt RL, Li B, Chiou J, Pharkjaksu S, Khongthong S, Cheung GYC, Kiratisin P, Otto M. Pathogen elimination by probiotic Bacillus via signalling interference. Nature. 2018 Oct;562(7728):532-537.
6、Sudha R, Chauhan P, Dixit K, et al. Molacular typing and probiotic attributes of a new strain of Bacillus coagulans-Unique IS-2; a potential biotherapentic agent[J]. Genetic Eng Biotechnol J, 2010,7:1-20.
7、Mahdhi A, Leban N, Chakroun I, Bayar S, Mahdouani K, Majdoub H, Kouidhi B. Use of extracellular polysaccharides, secreted by Lactobacillus plantarum and Bacillus spp., as reducing indole production agents to control biofilm formation and efflux pumps inhibitor in Escherichia coli. Microb Pathog. 2018 Dec;125:448-453. doi: 10.1016/j.micpath.2018.10.010.
8、Kim Y, Koh I, Young Lim M, Chung WH, Rho M. Pan-genome analysis of Bacillus for microbiome profiling. Sci Rep. 2017 Sep 8;7(1):10984. doi: 10.1038/s41598-017-11385-9. PMID: 28887527; PMCID: PMC5591210.
9、http://www.nhc.gov.cn/
10、王一帆,岑丛楠,刘福奇,包维臣,傅玲琳,王彦波.凝结芽孢杆菌的益生特性及机制研究进展[J].食品工业科技,2023,44(01):458-464.DOI:10.13386/j.issn1002-0306.2022030131.
11、Madempudi RS, Ahire JJ, Neelamraju J, Tripathi A, Nanal S. Randomized clinical trial: the effect of probiotic Bacillus coagulans Unique IS2 vs. placebo on the symptoms management of irritable bowel syndrome in adults. Sci Rep. 2019 Aug 21;9(1):12210. doi: 10.1038/s41598-019-48554-x. PMID: 31434935; PMCID: PMC6704184.
12、Majeed M, Nagabhushanam K, Arumugam S, Majeed S, Ali F. Bacillus coagulans MTCC 5856 for the management of major depression with irritable bowel syndrome: a randomised, double-blind, placebo controlled, multi-centre, pilot clinical study. Food Nutr Res. 2018 Jul 4;62. doi: 10.29219/fnr.v62.1218. PMID: 29997457; PMCID: PMC6034030.
13、董惠钧, 姜俊云, 郑立军,等. 新型微生态益生菌凝结芽孢杆菌研究进展[J]. 食品科学, 2010(1):3.
14、Sasson AN, Ingram RJM, Zhang Z, et al. The role of precision nutrition in the modulation of microbial composition and function in people with inflammatory bowel disease. Lancet Gastroenterol Hepatol. 2021; 6(9):754-769. doi: 10.1016/S2468-1253(21)00097-2.
15、Ianiro G, Rizzatti G, Plomer M, et al. Bacillus clausii for the Treatment of Acute Diarrhea in Children: A Systematic Review and Meta-Analysis of Randomized Controlled Trials. Nutrients. 2018 Aug;10(8):E1074. DOI: 10.3390/nu10081074. PMID: 30103531; PMCID: PMC6116021.
16、Caulier S, Nannan C, Gillis A, Licciardi F, Bragard C, Mahillon J. Overview of the Antimicrobial Compounds Produced by Members of the Bacillus subtilis Group. Front Microbiol. 2019 Feb 26;10:302. doi: 10.3389/fmicb.2019.00302. PMID: 30873135; PMCID: PMC6401651.
17、Piewngam P, Chiou J, Ling J, Liu R, Pupa P, Zheng Y, Otto M. Enterococcal bacteremia in mice is prevented by oral administration of probiotic Bacillus spores. Sci Transl Med. 2021 Nov 24;13(621):eabf4692. doi: 10.1126/scitranslmed.abf4692.
18、McFarlin BK, Henning AL, Bowman EM, Gary MA, Carbajal KM. Oral spore-based probiotic supplementation was associated with reduced incidence of post-prandial dietary endotoxin, triglycerides, and disease risk biomarkers. World J Gastrointest Pathophysiol. 2017 Aug 15;8(3):117-126. doi: 10.4291/wjgp.v8.i3.117. PMID: 28868181; PMCID: PMC5561432.
19、Nista EC, Candelli M, Cremonini F, Cazzato IA, Zocco MA, Franceschi F, Cammarota G, Gasbarrini G, Gasbarrini A. Bacillus clausii therapy to reduce side-effects of anti-Helicobacter pylori treatment: randomized, double-blind, placebo controlled trial. Aliment Pharmacol Ther. 2004 Nov 15;20(10):1181-8. doi: 10.1111/j.1365-2036.2004.02274.x. PMID: 15569121.
20、Neag MA, Catinean A, Muntean DM, Pop MR, Bocsan CI, Botan EC, Buzoianu AD. Probiotic Bacillus Spores Protect Against Acetaminophen Induced Acute Liver Injury in Rats. Nutrients. 2020 Feb 27;12(3):632. doi: 10.3390/nu12030632. PMID: 32120994; PMCID: PMC7146158.