1总则
1.0.1 为在钢结构高强度螺栓连接的设计、施工及质量验收中做到技术先进、经济合理、安全适用、确保质量,制定本规程。
1.0.2 本规程适用于建筑钢结构工程中高强度螺栓连接的设计、施工与质量验收。
1.0.3 高强度螺栓连接的设计、施工与质量验收除应符合本规程外,尚应符合国家现行有关标准的规定。
2 术语和符号
2.1 术 语
2.1.1 高强度大六角头螺栓连接副 heavy-hex high strength bolt assembly 由一个高强度大六角头螺栓,一个高强度大六角螺母和两个高强度平垫圈组成一副的连接紧固件。
2.1.2 扭剪型高强度螺栓连接副 twist-off-type high strength bolt assembly 由一个扭剪型高强度螺栓,一个高强度大六角螺母和一个高强度平垫圈组成一副的连接紧固件。
2.1.3 摩擦面 faying surface 高强度螺栓连接板层之间的接触面。
2.1.4 预拉力(紧固轴力) pre-tension 通过紧固高强度螺栓连接副而在螺栓杆轴方向产生的,且符合连接设计所要求的拉力。
2.1.5 摩擦型连接 friction-type joint 依靠高强度螺栓的紧固,在被连接件间产生摩擦阻力以传递剪力而将构件、部件或板件连成整体的连接方式。
2.1.6 承压型连接 bearing-type joint 依靠螺杆抗剪和螺杆与孔壁承压以传递剪力而将构件、部件或板件连成整体的连接方式。
2.1.7 杠杆力(撬力)作用 prying action 在受拉连接接头中,由于拉力荷载与螺栓轴心线偏离引起连接件变形和连接接头中的杠杆作用,从而在连接件边缘产生的附加压力。
2.1.8 抗滑移系数 mean slip coefficient 高强度螺栓连接摩擦面滑移时,滑动外力与连接中法向压力(等同于螺栓预拉力)的比值。
2.1.9 扭矩系数 torque-pretension coefficient 高强度螺栓连接中,施加于螺母上的紧固扭矩与其在螺栓导入的轴向预拉力(紧固轴力)之间的比例系数。
2.1.10 栓焊并用连接 connection of sharing on a shear load by bolts and welds 考虑摩擦型高强度螺栓连接和贴角焊缝同时承担同一剪力进行设计的连接接头形式。
2.1.11 栓焊混用连接 joint with combined bolts and welds 在梁、柱、支撑构件的拼接及相互间的连接节点中,翼缘采用熔透焊缝连接,腹板采用摩擦型高强度螺栓连接的连接接头形式。
2.1.12 扭矩法 calibrated wrench method 通过控制施工扭矩值对高强度螺栓连接副进行紧固的方法。
2.1.13 转角法 turn-of-nut method 通过控制螺栓与螺母相对转角值对高强度螺栓连接副进行紧固的方法。
2.2 符 号
2.2.1 作用及作用效应 F——集中荷载; M——弯矩; N——轴心力; P——高强度螺栓的预拉力; Q——杠杆力(撬力); V——剪力。
2.2.2 计算指标 ƒ——钢材的抗拉、拉压和抗弯强度设计值; ƒbc——高强度螺栓连接件的承压强度设计值; ƒbt——高强度螺栓的抗拉强度设计值; ƒv——钢材的抗剪强度设计值; ƒbv——高强度螺栓的抗剪强度设计值; Nbc——单个高强度螺栓的承压承载力设计值; Nbt——单个高强度螺栓的受拉承载力设计值; Nbv——单个高强度螺栓的受剪承载力设计值; σ——正应力; τ——剪应力。
2.2.3 几何参数 A——毛截面面积; Aeff——高强度螺栓螺纹处的有效截面面积; Af——一个翼缘毛截面面积; An——净截面面积; Aw——腹板毛截面面积; a——间距; d——直径; d0——孔径; e——偏心距; h——截面高度; hf——角焊缝的焊脚尺寸; Ⅰ——毛截面惯性矩; l——长度; S——毛截面面积矩。
2.2.4 计算系数及其他 k——扭矩系数; n——高强度螺栓的数目; ni——所计算截面上高强度螺栓的数目; nv——螺栓的剪切面数目; nf——高强度螺栓传力摩擦面数目; μ——高强度螺栓连接摩擦面的抗滑移系数; Nv——单个高强度螺栓所承受的剪力; Nt——单个高强度螺栓所承受的拉力; Pc——高强度螺栓施工预拉力; Tc——施工终拧扭矩; Tch——检查扭矩。
3 基本规定
3.1 一般规定
3.1.1 高强度螺栓连接设计采用概率论为基础的极限状态设计方法,用分项系数设计表达式进行计算。除疲劳计算外,高强度螺栓连接应按下列极限状态准则进行设计: 1 承载能力极限状态应符合下列规定: 1)抗剪摩擦型连接的连接件之间产生相对滑移; 2)抗剪承压型连接的螺栓或连接件达到剪切强度或承压强度; 3)沿螺栓杆轴方向受拉连接的螺栓或连接件达到抗拉强度; 4)需要抗震验算的连接其螺栓或连接件达到极限承载力。 2 正常使用极限状态应符合下列规定: 1)抗剪承压型连接的连接件之间应产生相对滑移; 2)沿螺栓杆轴方向受拉连接的连接件之间应产生相对分离。
3.1.2 高强度螺栓连接设计,宜符合连接强度不低于构件的原则。在钢结构设计文件中,应注明所用高强度螺栓连接副的性能等级、规格、连接类型及摩擦型连接摩擦面抗滑移系数值等要求。
3.1.3 承压型高强度螺栓连接不得用于直接承受动力荷载重复作用且需要进行疲劳计算的构件连接,以及连接变形对结构承载力和刚度等影响敏感的构件连接。 承压型高强度螺栓连接不宜用于冷弯薄壁型钢构件连接。
3.1.4 高强度螺栓连接长期受辐射热(环境温度)达150℃以上,或短时间受火焰作用时,应采取隔热降温措施予以保护。当构件采用防火涂料进行防火保护时,其高强度螺栓连接处的涂料厚度不应小于相邻构件的涂料厚度。 当高强度螺栓连接的环境温度为100℃~150℃时,其承载力应降低10%。
3.1.5 直接承受动力荷载重复作用的高强度螺栓连接,当应力变化的循环次数等于或大于5×10 4次时,应按现行国家标准《钢结构设计规范》GB 50017中的有关规定进行疲劳验算,疲劳验算应符合下列原则: 1 抗剪摩擦型连接可不进行疲劳验算,但其连接处开孔主体金属应进行疲劳验算; 2 沿螺栓轴向抗拉为主的高强度螺栓连接在动力荷载重复作用下,当荷载和杠杆力引起螺栓轴向拉力超过螺栓受拉承载力30%时,应对螺栓拉应力进行疲劳验算; 3 对于进行疲劳验算的受拉连接,应考虑杠杆力作用的影响;宜采取加大连接板厚度等加强连接刚度的措施,使计算所得的撬力不超过荷载外拉力值的30%; 4 栓焊并用连接应按全部剪力由焊缝承担的原则,对焊缝进行疲劳验算。
3.1.6 当结构有抗震设防要求时,高强度螺栓连接应按现行国家标准《建筑抗震设计规范》GB 50011等相关标准进行极限承载力验算和抗震构造设计。
3.1.7 在同一连接接头中,高强度螺栓连接不应与普通螺栓连接混用。承压型高强度螺栓连接不应与焊接连接并用。
3.2 材料与设计指标
3.2.1 高强度大六角头螺栓(性能等级8.8s和10.9s)连接副的材质、性能等应分别符合现行国家标准《钢结构用高强度大六角头螺栓》GB/T 1228、《钢结构用高强度大六角螺母》GB/T 1229、《钢结构用高强度垫圈》GB/T 1230以及《钢结构用高强度大六角头螺栓、大六角螺母、垫圈技术条件》GB/T 1231的规定。
3.2.2 扭剪型高强度螺栓(性能等级10.9s)连接副的材质、性能等应符合现行国家标准《钢结构用扭剪型高强度螺栓连接副》GB/T 3632的规定。
3.2.3 承压型连接的强度设计值应按表3.2.3采用。
表3.2.3 承压型高强度螺栓连接的强度设计值(N/mm2)

3.2.4 高强度螺栓连接摩擦面抗滑移系数μ的取值应符合表3.2.4-1和表3.2.4-2中的规定。
表3.2.4-1 钢材摩擦面的抗滑移系数μ

注:1 钢丝刷除锈方向应与受力方向垂直; 2 当连接构件采用不同钢号时,μ应按相应的较低值取值; 3 采用其他方法处理时,其处理工艺及抗滑移系数值均应经试验确定。
表3.2.4-2 涂层摩擦面的抗滑移系数μ

注:1 当设计要求使用其他涂层(热喷铝、镀锌等)时,其钢材表面处理要求、涂层厚度以及抗滑移系数均应经试验确定; 2 *当连接板材为Q235钢时,对于无机富锌漆涂层抗滑移系数μ值取0.35; 3 防滑防锈硅酸锌漆、锌加底漆(ZINGA)不应采用手工涂刷的施工方法。
3.2.5 每一个高强度螺栓的预拉力设计取值应按表3.2.5采用。
表3.2.5 一个高强度螺栓的预拉力P(kN)

3.2.6 高强度螺栓连接的极限承载力取值应符合现行国家标准《建筑抗震设计规范》GB 50011有关规定。
4 连接设计
4.1 摩擦型连接
4.1.1 摩擦型连接中,每个高强度螺栓的受剪承载力设计值应按下式计算:
Nbv=k1k2nfμP (4.1.1)
式中:k1——系数,对冷弯薄壁型钢结构(板厚t≤6mm)取0.8;其他情况取0.9; k2——孔型系数,标准孔取1.0;大圆孔取0.85;荷载与槽孔长方向垂直时取0.7;荷载与槽孔长方向平行时取0.6; nf——传力摩擦面数目; μ——摩擦面的抗滑移系数,按本规程表3.2.4-1和3.2.4-2采用; P——每个高强度螺栓的预拉力(kN),按本规程表3.2.5采用; Nbv——单个高强度螺栓的受剪承载力设计值(kN)。
4.1.2 在螺栓杆轴方向受拉的连接中,每个高强度螺栓的受拉承载力设计值应按下式计算:
Nbt=0.8P (4.1.2)
式中:Nbt——单个高强度螺栓的受拉承载力设计值(kN)。
4.1.3 高强度螺栓连接同时承受剪力和螺栓杆轴方向的外拉力时,其承载力应按下式计算:

式中:Nv——某个高强度螺栓所承受的剪力(kN); Nt——某个高强度螺栓所承受的拉力(kN)。
4.1.4 轴心受力构件在摩擦型高强度螺栓连接处的强度应按下列公式计算:

式中:A——计算截面处构件毛截面面积(mm2); An——计算截面处构件净截面面积(mm2); ƒ——钢材的抗拉、拉压和抗弯强度设计值(N/mm2); N——轴心拉力或轴心压力(kN); N′——折算轴力(kN),

n——在节点或拼接处,构件一端连接的高强度螺栓数; n1——计算截面(最外列螺栓处)上高强度螺栓数。
4.1.5 在构件节点或拼接接头的一端,当螺栓沿受力方向连接长度l 1大于15d 0时,螺栓承载力设计值应乘以折减系数

当l 1大于60d 0时,折减系数为0.7,d 0为相应的标准孔孔径。
4.2 承压型连接
4.2.1 承压型高强度螺栓连接接触面应清除油污及浮锈等,保持接触面清洁或按设计要求涂装。设计和施工时不应要求连接部位的摩擦面抗滑移系数值。
4.2.2 承压型连接的构造、选材、表面除锈处理以及施加预拉力等要求与摩擦型连接相同。
4.2.3 承压型连接承受螺栓杆轴方向的拉力时,每个高强度螺栓的受拉承载力设计值应按下式计算:
Nbt=Aeffƒbt (4.2.3)
式中:Aeff——高强度螺栓螺纹处的有效截面面积(mm2),按表4.2.3选取。
表4.2.3 螺栓在螺纹处的有效截面面积Aeff(mm2)

4.2.4 在受剪承压型连接中,每个高强度螺栓的受剪承载力,应按下列公式计算,并取受剪和承压承载力设计值中的较小者。 受剪承载力设计值:

式中:nv——螺栓受剪面数目; d——螺栓公称直径(mm);在式(4.2.4-1)中,当剪切面在螺纹处时,应按螺纹处的有效截面面积Aeff计算受剪承载力设计值; ∑t——在不同受力方向中一个受力方向承压构件总厚度的较小值(mm)。
4.2.5 同时承受剪力和杆轴方向拉力的承压型连接的高强度螺栓,应分别符合下列公式要求:

4.2.6 轴心受力构件在承压型高强度螺栓连接处的强度应按本规程第4.1.4条规定计算。
4.2.7 在构件的节点或拼接接头的一端,当螺栓沿受力方向连接长度l1大于15d0时,螺栓承载力设计值应按本规程第4.1.5条规定乘以折减系数。
4.2.8 抗剪承压型连接正常使用极限状态下的设计计算应按照本规程第4.1节有关规定进行。
4.3 连接构造
4.3.1 每一杆件在高强度螺栓连接节点及拼接接头的一端,其连接的高强度螺栓数量不应少于2个。
4.3.2 当型钢构件的拼接采用高强度螺栓时,其拼接件宜采用钢板;当连接处型钢斜面斜度大于1/20时,应在斜面上采用斜垫板。
4.3.3 高强度螺栓连接的构造应符合下列规定: 1 高强度螺栓孔径应按表4.3.3-1匹配,承压型连接螺栓孔径不应大于螺栓公称直径2mm。 2 不得在同一个连接摩擦面的盖板和芯板同时采用扩大孔型(大圆孔、槽孔)。
表4.3.3-1 高强度螺栓连接的孔径匹配(mm)

3 当盖板按大圆孔、槽孔制孔时,应增大垫圈厚度或采用孔径与标准垫圈相同的连续型垫板。垫圈或连续垫板厚度应符合下列规定: 1)M24及以下规格的高强度螺栓连接副,垫圈或连续垫板厚度不宜小于8mm 2)M24以上规格的高强度螺栓连接副,垫圈或连续垫板厚度不宜小于10mm 3)冷弯薄壁型钢结构的垫圈或连续垫板厚度不宜小于连接板(芯板)厚度。 4 高强度螺栓孔距和边距的容许间距应按表4.3.3-2的规定采用。
表4.3.3-2 高强度螺栓孔距和边距的容许间距

注:1 d0为高强度螺栓连接板的孔径,对槽孔为短向尺寸;t为外层较薄板件的厚度; 2 钢板边缘与刚性构件(如角钢、槽钢等)相连的高强度螺栓的最大间距,可按中间排的数值采用。
4.3.4 设计布置螺栓时,应考虑工地专用施工工具的可操作空间要求。常用扳手可操作空间尺寸宜符合表4.3.4的要求。
表4.3.4 施工扳手可操作空间尺寸

5 连接接头设计
5.1 螺栓拼接接头
5.1.1 高强度螺栓全栓拼接接头适用于构件的现场全截面拼接,其连接形式应采用摩擦型连接。拼接接头宜按等强原则设计,也可根据使用要求按接头处最大内力设计。当构件按地震组合内力进行设计计算并控制截面选择时,尚应按现行国家标准《建筑抗震设计规范》GB 50011进行接头极限承载力的验算。
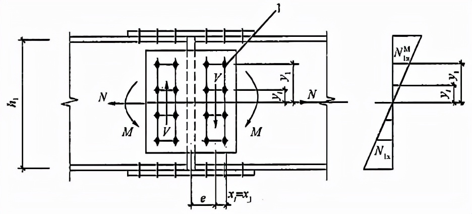
5.1.2 H型钢梁截面螺栓拼接接头(图5.1.2)的计算原则应符合下列规定:

图5.1.2 H型钢梁高强度螺栓拼接接头1—角点1号螺栓
1 翼缘拼接板及拼接缝每侧的高强度螺栓,应能承受按翼缘净截面面积计算的翼缘受拉承载力; 2 腹板拼接板及拼接缝每侧的高强度螺栓,应能承受拼接截面的全部剪力及按刚度分配到腹板上的弯矩;同时拼接处拼材与螺栓的受剪承载力不应小于构件截面受剪承载力的50%; 3 高强度螺栓在弯矩作用下的内力分布应符合平截面假定,即腹板角点上的螺栓水平剪力值与翼缘螺栓水平剪力值成线性关系; 4 按等强原则计算腹板拼接时,应按与腹板净截面承载力等强计算; 5 当翼缘采用单侧拼接板或双侧拼接板中夹有垫板拼接时,螺栓的数量应按计算增加10%。
5.1.3 在H型钢梁截面螺栓拼接接头中的翼缘螺栓计算应符合下列规定: 1 拼接处需由螺栓传递翼缘轴力Nf的计算,应符合下列规定: 1)按等强拼接原则设计时,应按下列公式计算,并取二者中的较大者:

式中:Anf——一个翼缘的净截面面积(mm2); Af——一个翼缘的毛截面面积(mm2); n1——拼接处构件一端翼缘高强度螺栓中最外列螺栓数目。 2)按最大内力法设计时,可按下式计算取值:

式中:h1——拼接截面处,H型钢上下翼缘中心间距离(mm); M1——拼接截面处作用的最大弯矩(kN·m); N1——拼接截面处作用的最大弯矩相应的轴力(kN)。 2 H型钢翼缘拼接缝一侧所需的螺栓数量n应符合下式要求:
n≥Nf/Nbv (5.1.3-4)
式中:Nf——拼接处需由螺栓传递的上、下翼缘轴向力(kN)。
5.1.4 在H型钢梁截面螺栓拼接接头中的腹板螺栓计算应符合下列规定: 1 H型钢腹板拼接缝一侧的螺栓群角点栓1(图5.1.2)在

式中:e——偏心距(mm); Iwx——梁腹板的惯性矩(mm4),对轧制H型钢,腹板计算高度取至弧角的上下边缘点; Ix——梁全截面的惯性矩(mm4); M——拼接截面的弯矩(kN·m); V——拼接截面的剪力(kN);

χi——所计算螺栓至栓群中心的横标距(mm); yi——所计算螺栓至栓群中心的纵标距(mm)。

3 在拼接截面处弯矩M与剪力偏心弯矩Ve、剪力V和轴力N作用下,角点1处螺栓所受的剪力Nv应满足下式的要求:

5.1.5 螺栓拼接接头的构造应符合下列规定: 1 拼接板材质应与母材相同; 2 同一类拼接节点中高强度螺栓连接副性能等级及规格应相同; 3 型钢翼缘斜面斜度大于1/20处应加斜垫板; 4 翼缘拼接板宜双面设置;腹板拼接板宜在腹板两侧对称配置。
5.2 受拉连接接头
5.2.1 沿螺栓杆轴方向受拉连接接头(图5.2.1),由T形受拉件与高强度螺栓连接承受并传递拉力,适用于吊挂T形件连接节点或梁柱T形件连接节点。

图5.2.1 T形受拉件连接接头1—T形受拉件;2—计算单元
5.2.2 T形件受拉连接接头的构造应符合下列规定: 1 T形受拉件的翼缘厚度不宜小于16mm,且不宜小于连接螺栓的直径; 2 有预拉力的高强度螺栓受拉连接接头中,高强度螺栓预拉力及其施工要求应与摩擦型连接相同; 3 螺栓应紧凑布置,其间距除应符合本规程第4.3.3条规定外,尚应满足e1≤1.25e2的要求; 4 T形受拉件宜选用热轧剖分T型钢。
5.2.3 计算不考虑撬力作用时,T形受拉连接接头应按下列规定计算确定T形件翼缘板厚度与连接螺栓。 1 T形件翼缘板的最小厚度tec按下式计算:

式中:b——按一排螺栓覆盖的翼缘板(端板)计算宽度(mm); e1——螺栓中心到T形件翼缘边缘的距离(mm); e2——螺栓中心到T形件腹板边缘的距离(mm)。 2 一个受拉高强度螺栓的受拉承载力应满足下式要求:
Nt≤Nbt (5.2.3-2)
式中:Nt——一个高强度螺栓的轴向拉力(kN)。
5.2.4 计算考虑撬力作用时,T形受拉连接接头应按下列规定计算确定T形件翼缘板厚度、撬力与连接螺栓。 1 当T形件翼缘厚度小于tec时应考虑橇力作用影响,受拉T形件翼缘板厚度te按下式计算:


3 考虑撬力影响时,高强度螺栓的受拉承载力应按下列规定计算: 1)按承载能力极限状态设计时应满足下式要求:
Nt+Q≤1.25Nbt (5.2.4-3)
2)按正常使用极限状态设计时应满足下式要求:
Nt+Q≤Nbt (5.2.4-4)
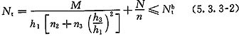
5.3 外伸式端板连接接头
5.3.1 外伸式端板连接为梁或柱端头焊以外伸端板,再以高强度螺栓连接组成的接头(图5.3.1)。接头可同时承受轴力、弯矩与剪力,适用于钢结构框架(刚架)梁柱连接节点。

图5.3.1 外伸式端板连接接头1—受拉T形件;2—第三排螺栓
5.3.2 外伸式端板连接接头的构造应符合下列规定: 1 端板连接宜采用摩擦型高强度螺栓连接; 2 端板的厚度不宜小于16mm,且不宜小于连接螺栓的直径; 3 连接螺栓至板件边缘的距离在满足螺栓施拧条件下应采用最小间距紧凑布置;端板螺栓竖向最大间距不应大于400mm;螺栓布置与间距除应符合本规程第4.3.3条规定外,尚应满足e1≤1.25e2的要求; 4 端板直接与柱翼缘连接时,相连部位的柱翼缘板厚度不应小于端板厚度; 5 端板外伸部位宜设加劲肋; 6 梁端与端板的焊接宜采用熔透焊缝。
5.3.3 计算不考虑撬力作用时,应按下列规定计算确定端板厚度与连接螺栓。计算时接头在受拉螺栓部位按T形件单元(图5.3.1阴影部分)计算。 1 端板厚度应按本规程公式(5.2.3-1)计算。 2 受拉螺栓按T形件(图5.3.1阴影部分)对称于受拉翼缘的两排螺栓均匀受拉计算,每个螺栓的最大拉力Nt应符合下式要求:

式中:M——端板连接处的弯矩; N——端板连接处的轴拉力,轴力沿螺栓轴向为压力时不考虑(N=0); n2——对称布置于受拉翼缘侧的两排螺栓的总数(如图5.3.1中n2=4); h1——梁上、下翼缘中心间的距离。 3 当两排受拉螺栓承载力不能满足公式(5.3.3-1)要求时,可计入布置于受拉区的第三排螺栓共同工作,此时最大受拉螺栓的拉力Nt应符合下式要求:

式中:n3——第三排受拉螺栓的数量(如图5.3.1中n3=2); h3——第三排螺栓中心至受压翼缘中心的距离(mm)。 4 除抗拉螺栓外,端板上其余螺栓按承受全部剪力计算,每个螺栓承受的剪力应符合下式要求:

式中:nv——抗剪螺栓总数。
5.3.4 计算考虑撬力作用时,应按下列规定计算确定端板厚度、撬力与连接螺栓。计算时接头在受拉螺栓部位按T形件单元(图5.3.1阴影部分)计算。 1 端板厚度应按本规程式(5.2.4-1)计算; 2 作用于端板的撬力Q应按本规程式(5.2.4-2)计算; 3 受拉螺栓按对称于梁受拉翼缘的两排螺栓均匀受拉承担全部拉力计算,每个螺栓的最大拉力应符合下式要求:

当轴力沿螺栓轴向为压力时,取N=0。 4 除抗拉螺栓外,端板上其余螺栓可按承受全部剪力计算,每个螺栓承受的剪力应符合式(5.3.3-3)的要求。
5.4 栓焊混用连接接头
5.4.1 栓焊混用连接接头(图5.4.1)适用于框架梁柱的现场连接与构件拼接。当结构处于非抗震设防区时,接头可按最大内力设计值进行弹性设计;当结构处于抗震设防区时,尚应按现行国家标准《建筑抗震设计规范》GB 50011进行接头连接极限承载力的验算。

图5.4.1 栓焊混用连接接头1—梁翼缘熔透焊;2—梁腹板高强度螺栓连接
5.4.2 梁、柱、支撑等构件的栓焊混用连接接头中,腹板连(拼)接的高强度螺栓的计算及构造,应符合本规程第5.1节以及下列规定: 1 按等强方法计算拼接接头时,腹板净截面宜考虑锁口孔的折减影响; 2 施工顺序宜在高强度螺栓初拧后进行翼缘的焊接,然后再进行高强度螺栓终拧; 3 当采用先终拧螺栓再进行翼缘焊接的施工工序时,腹板拼接高强度螺栓宜采取补拧措施或增加螺栓数量10%。
5.4.3 处于抗震设防区且由地震作用组合控制截面设计的框架梁柱栓焊混用接头,当梁翼缘的塑性截面模量小于梁全截面塑性截面模量的70%时,梁腹板与柱的连接螺栓不得少于2列,且螺栓总数不得小于计算值的1.5倍。
5.5 栓焊并用连接接头
5.5.1 栓焊并用连接接头(图5.5.1)宜用于改造、加固的工程。其连接构造应符合下列规定: 1 平行于受力方向的侧焊缝端部起弧点距板边不应小于hf,且与最外端的螺栓距离应不小于1.5d0;同时侧焊缝末端应连续绕角焊不小于2hf长度; 2 栓焊并用连接的连接板边缘与焊件边缘距离不应小于30mm。

图5.5.1 栓焊并用连接接头1—侧焊缝;2—端焊缝;3—连续绕焊
5.5.2 栓焊并用连接的施工顺序应先高强度螺栓紧固,后实施焊接。焊缝形式应为贴角焊缝。高强度螺栓直径和焊缝尺寸应按栓、焊各自受剪承载力设计值相差不超过3倍的要求进行匹配。
5.5.3 栓焊并用连接的受剪承载力应分别按下列公式计算: 1 高强度螺栓与侧焊缝并用连接
Nwb=Nfs+0.75Nbv (5.5.3-1)
式中:Nbv——连接接头中摩擦型高强度螺栓连接受剪承载力设计值(kN); Nfs——连接接头中侧焊缝受剪承载力设计值(kN); Nwb——连接接头的栓焊并用连接受剪承载力设计值(kN)。 2 高强度螺栓与侧焊缝及端焊缝并用连接
Nwb=0.85Nfs+Nfe+0.25Nbv (5.5.3-2)
式中:Nfe——连接接头中端焊缝受剪承载力设计值(kN)。
5.5.4 在既有摩擦型高强度螺栓连接接头上新增角焊缝进行加固补强时,其栓焊并用连接设计应符合下列规定: 1 摩擦型高强度螺栓连接和角焊缝焊接连接应分别承担加固焊接补强前的荷载和加固焊接补强后所增加的荷载; 2 当加固前进行结构卸载或加固焊接补强前的荷载小于摩擦型高强度螺栓连接承载力设计值25%时,可按本规程第5.5.3条进行连接设计。
5.5.5 当栓焊并用连接采用先栓后焊的施工工序时,应在焊接24h后对离焊缝100mm范围内的高强度螺栓补拧,补拧扭矩应为施工终拧扭矩值。
5.5.6 摩擦型高强度螺栓连接不宜与垂直受力方向的贴角焊缝(端焊缝)单独并用连接。
6 施 工
6.1 储运和保管
6.1.1 大六角头高强度螺栓连接副由一个螺栓、一个螺母和两个垫圈组成,使用组合应按表6.1.1规定。扭剪型高强度连接副由一个螺栓、一个螺母和一个垫圈组成。
表6.1.1 大六角头高强度螺栓连接副组合

6.1.2 高强度螺栓连接副应按批配套进场,并附有出厂质量保证书。高强度螺栓连接副应在同批内配套使用。
6.1.3 高强度螺栓连接副在运输、保管过程中,应轻装、轻卸,防止损伤螺纹。
6.1.4 高强度螺栓连接副应按包装箱上注明的批号、规格分类保管;室内存放,堆放应有防止生锈、潮湿及沾染脏物等措施。高强度螺栓连接副在安装使用前严禁随意开箱。
6.1.5 高强度螺栓连接副的保管时间不应超过6个月。当保管时间超过6个月后使用时,必须按要求重新进行扭矩系数或紧固轴力试验,检验合格后,方可使用。
6.2 连接构件的制作
6.2.1 高强度螺栓连接构件的栓孔孔径应符合设计要求。高强度螺栓连接构件制孔允许偏差应符合表6.2.1的规定。
表6.2.1 高强度螺栓连接构件制孔允许偏差(mm)

6.2.2 高强度螺栓连接构件的栓孔孔距允许偏差应符合表6.2.2的规定。
表6.2.2 高强度螺栓连接构件孔距允许偏差(mm)

注:孔的分组规定: 1 在节点中连接板与一根杆件相连的所有螺栓孔为一组; 2 对接接头在拼接板一侧的螺栓孔为一组; 3 在两相邻节点或接头间的螺栓孔为一组,但不包括上述1、2两款所规定的孔; 4 受弯构件翼缘上的孔,每米长度范围内的螺栓孔为一组。
6.2.3 主要构件连接和直接承受动力荷载重复作用且需要进行疲劳计算的构件,其连接高强度螺栓孔应采用钻孔成型。次要构件连接且板厚小于或等于12mm时可采用冲孔成型,孔边应无飞边、毛刺。
6.2.4 采用标准圆孔连接处板迭上所有螺栓孔,均应采用量规检查,其通过率应符合下列规定: 1 用比孔的公称直径小1.0mm的量规检查,每组至少应通过85%; 2 用比螺栓公称直径大(0.2~0.3)mm的量规检查(M22及以下规格为大0.2mm,M24~M30规格为大0.3mm),应全部通过。
6.2.5 按本规程第6.2.4条检查时,凡量规不能通过的孔,必须经施工图编制单位同意后,方可扩钻或补焊后重新钻孔。扩钻后的孔径不应超过1.2倍螺栓直径。补焊时,应用与母材相匹配的焊条补焊,严禁用钢块、钢筋、焊条等填塞。每组孔中经补焊重新钻孔的数量不得超过该组螺栓数量的20%。处理后的孔应作出记录。
6.2.6 高强度螺栓连接处的钢板表面处理方法及除锈等级应符合设计要求。连接处钢板表面应平整、无焊接飞溅、无毛刺、无油污。经处理后的摩擦型高强度螺栓连接的摩擦面抗滑移系数应符合设计要求。
6.2.7 经处理后的高强度螺栓连接处摩擦面应采取保护措施,防止沾染脏物和油污。严禁在高强度螺栓连接处摩擦面上作标记。
6.3 高强度螺栓连接副和摩擦面抗滑移系数检验
6.3.1 高强度大六角头螺栓连接副应进行扭矩系数、螺栓楔负载、螺母保证载荷检验,其检验方法和结果应符合现行国家标准《钢结构用高强度大六角头螺栓、大六角螺母、垫圈技术条件》GB/T 1231规定。高强度大六角头螺栓连接副扭矩系数的平均值及标准偏差应符合表6.3.1的要求。
表6.3.1 高强度大六角头螺栓连接副扭矩系数平均值及标准偏差值

注:每套连接副只做一次试验,不得重复使用。试验时,垫圈发生转动,试验无效。
6.3.2 扭剪型高强度螺栓连接副应进行紧固轴力、螺栓楔负载、螺母保证载荷检验,检验方法和结果应符合现行国家标准《钢结构用扭剪型高强度螺栓连接副》GB/T 3632规定。扭剪型高强度螺栓连接副的紧固轴力平均值及标准偏差应符合表6.3.2的要求。
表6.3.2 扭剪型高强度螺栓连接副紧固轴力平均值及标准偏差值

注:每套连接副只做一次试验,不得重复使用。试验时,垫圈发生转动,试验无效。
6.3.3 摩擦面的抗滑移系数(图6.3.3)应按下列规定进行检验: 1 抗滑移系数检验应以钢结构制作检验批为单位,由制作厂和安装单位分别进行,每一检验批三组;单项工程的构件摩擦面选用两种及两种以上表面处理工艺时,则每种表面处理工艺均需检验; 2 抗滑移系数检验用的试件由制作厂加工,试件与所代表的构件应为同一材质、同一摩擦面处理工艺、同批制作,使用同一性能等级的高强度螺栓连接副,并在相同条件下同批发运; 3 抗滑移系数试件宜采用图6.3.3所示形式(试件钢板厚度2t2≥t1);试件的设计应考虑摩擦面在滑移之前,试件钢板的净截面仍处于弹性状态;

图6.3.3 抗滑移系数试件
4 抗滑移系数应在拉力试验机上进行并测出其滑移荷载;试验时,试件的轴线应与试验机夹具中心严格对中; 5 抗滑移系数μ应按下式计算,抗滑移系数μ的计算结果应精确到小数点后2位。

式中:N——滑移荷载; nf——传力摩擦面数目,nf=2; Pt——高强度螺栓预拉力实测值(误差小于或等于2%),试验时控制在0.95P~1.05P范围内; ∑Pt——与试件滑动荷载一侧对应的高强度螺栓预拉力之和。 6 抗滑移系数检验的最小值必须大于或等于设计规定值。当不符合上述规定时,构件摩擦面应重新处理。处理后的构件摩擦面应按本节规定重新检验。
6.4 安 装
6.4.1 高强度螺栓长度l应保证在终拧后,螺栓外露丝扣为2~3扣。其长度应按下式计算:
l=l′+Δl (6.4.1)
式中:l′——连接板层总厚度(mm); Δl——附加长度(mm),Δl=m+nws+3p; m——高强度螺母公称厚度(mm); nw——垫圈个数;扭剪型高强度螺栓为1,大六角头高强度螺栓为2; s——高强度垫圈公称厚度(mm); p——螺纹的螺距(mm)。 当高强度螺栓公称直径确定之后,Δl可按表6.4.1取值。但采用大圆孔或槽孔时,高强度垫圈公称厚度(s)应按实际厚度取值。根据式6.4.1计算出的螺栓长度按修约间隔5mm进行修约,修约后的长度为螺栓公称长度。
表6.4.1 高强度螺栓附加长度Δl(mm)

6.4.2 高强度螺栓连接处摩擦面如采用喷砂(丸)后生赤锈处理方法时,安装前应以细钢丝刷除去摩擦面上的浮锈。
6.4.3 对因板厚公差、制造偏差或安装偏差等产生的接触面间隙,应按表6.4.3规定进行处理。
表6.4.3 接触面间隙处理


6.4.4 高强度螺栓连接安装时,在每个节点上应穿入的临时螺栓和冲钉数量,由安装时可能承担的荷载计算确定,并应符合下列规定: 1 不得少于节点螺栓总数的1/3; 2 不得少于2个临时螺栓; 3 冲钉穿入数量不宜多于临时螺栓数量的30%。
6.4.5 在安装过程中,不得使用螺纹损伤及沾染脏物的高强度螺栓连接副,不得用高强度螺栓兼作临时螺栓。
6.4.6 工地安装时,应按当天高强度螺栓连接副需要使用的数量领取。当天安装剩余的必须妥善保管,不得乱扔、乱放。
6.4.7 高强度螺栓的安装应在结构构件中心位置调整后进行,其穿入方向应以施工方便为准,并力求一致。高强度螺栓连接副组装时,螺母带圆台面的一侧应朝向垫圈有倒角的一侧。对于大六角头高强度螺栓连接副组装时,螺栓头下垫圈有倒角的一侧应朝向螺栓头。
6.4.8 安装高强度螺栓时,严禁强行穿入。当不能自由穿入时,该孔应用铰刀进行修整,修整后孔的最大直径不应大于1.2倍螺栓直径,且修孔数量不应超过该节点螺栓数量的25%。修孔前应将四周螺栓全部拧紧,使板迭密贴后再进行铰孔。严禁气割扩孔。
6.4.9 按标准孔型设计的孔,修整后孔的最大直径超过1.2倍螺栓直径或修孔数量超过该节点螺栓数量的25%时,应经设计单位同意。扩孔后的孔型尺寸应作记录,并提交设计单位,按大圆孔、槽孔等扩大孔型进行折减后复核计算。
6.4.10 安装高强度螺栓时,构件的摩擦面应保持干燥,不得在雨中作业。
6.4.11 大六角头高强度螺栓施工所用的扭矩扳手,班前必须校正,其扭矩相对误差应为±5%,合格后方准使用。校正用的扭矩扳手,其扭矩相对误差应为±3%。
6.4.12 大六角头高强度螺栓拧紧时,应只在螺母上施加扭矩。
6.4.13 大六角头高强度螺栓的施工终拧扭矩可由下式计算确定:
Tc=kPcd (6.4.13)
式中:d——高强度螺栓公称直径(mm); k——高强度螺栓连接副的扭矩系数平均值,该值由第6.3.1条试验测得; Pc——高强度螺栓施工预拉力(kN),按表6.4.13取值; Tc——施工终拧扭矩(N·m)。
表6.4.13 高强度大六角头螺栓施工预拉力(kN)

6.4.14 高强度大六角头螺栓连接副的拧紧应分为初拧、终拧。对于大型节点应分为初拧、复拧、终拧。初拧扭矩和复拧扭矩为终拧扭矩的50%左右。初拧或复拧后的高强度螺栓应用颜色在螺母上标记,按本规程第6.4.13条规定的终拧扭矩值进行终拧。终拧后的高强度螺栓应用另一种颜色在螺母上标记。高强度大六角头螺栓连接副的初拧、复拧、终拧宜在一天内完成。
6.4.15 扭剪型高强度螺栓连接副的拧紧应分为初拧、终拧。对于大型节点应分为初拧、复拧、终拧。初拧扭矩和复拧扭矩值为0.065×Pc×d,或按表6.4.15选用。初拧或复拧后的高强度螺栓应用颜色在螺母上标记,用专用扳手进行终拧,直至拧掉螺栓尾部梅花头。对于个别不能用专用扳手进行终拧的扭剪型高强度螺栓,应按本规程第6.4.13条规定的方法进行终拧(扭矩系数可取0.13)。扭剪型高强度螺栓连接副的初拧、复拧、终拧宜在一天内完成。
表6.4.15 扭剪型高强度螺栓初拧(复拧)扭矩值(N·m)

6.4.16 当采用转角法施工时,大六角头高强度螺栓连接副应按本规程第6.3.1条检验合格,且应按本规程第6.4.14条规定进行初拧、复拧。初拧(复拧)后连接副的终拧角度应按表6.4.16规定执行。
表6.4.16 初拧(复拧)后大六角头高强度螺栓连接副的终拧转角

注:1 螺母的转角为螺母与螺栓杆之间的相对转角; 2 当螺栓长度L超过螺栓公称直径d的12倍时,螺母的终拧角度应由试验确定。
6.4.17 高强度螺栓在初拧、复拧和终拧时,连接处的螺栓应按一定顺序施拧,确定施拧顺序的原则为由螺栓群中央顺序向外拧紧,和从接头刚度大的部位向约束小的方向拧紧(图6.4.17)。几种常见接头螺栓施拧顺序应符合下列规定: 1 一般接头应从接头中心顺序向两端进行(图6.4.17a); 2 箱形接头应按A、C、B、D的顺序进行(图6.4.17b); 3 工字梁接头栓群应按①~⑥顺序进行(图6.4.17c); 4 工字形柱对接螺栓紧固顺序为先翼缘后腹板;

图6.4.17 常见螺栓连接接头施拧顺序
5 两个或多个接头栓群的拧紧顺序应先主要构件接头,后次要构件接头。
6.4.18 对于露天使用或接触腐蚀性气体的钢结构,在高强度螺栓拧紧检查验收合格后,连接处板缝应及时用腻子封闭。
6.4.19 经检查合格后的高强度螺栓连接处,防腐、防火应按设计要求涂装。
6.5 紧固质量检验
6.5.1 大六角头高强度螺栓连接施工紧固质量检查应符合下列规定: 1 扭矩法施工的检查方法应符合下列规定: 1)用小锤(约0.3kg)敲击螺母对高强度螺栓进行普查,不得漏拧; 2)终拧扭矩应按节点数抽查10%,且不应少于10个节点;对每个被抽查节点应按螺栓数抽查10%,且不应少于2个螺栓; 3)检查时先在螺杆端面和螺母上画一直线,然后将螺母拧松约60°;再用扭矩扳手重新拧紧,使两线重合,测得此时的扭矩应在0.9Tch~1.1Tch范围内。Tch应按下式计算:
Tch=kPd (6.5.1)
式中:P——高强度螺栓预拉力设计值(kN),按本规程表3.2.5取用; Tch——检查扭矩(N·m)。 4)如发现有不符合规定的,应再扩大1倍检查,如仍有不合格者,则整个节点的高强度螺栓应重新施拧; 5)扭矩检查宜在螺栓终拧1h以后、24h之前完成;检查用的扭矩扳手,其相对误差应为±3%。 2 转角法施工的检查方法应符合下列规定: 1)普查初拧后在螺母与相对位置所画的终拧起始线和终止线所夹的角度应达到规定值; 2)终拧转角应按节点数抽查10%,且不应少于10个节点;对每个被抽查节点按螺栓数抽查10%,且不应少于2个螺栓; 3)在螺杆端面和螺母相对位置画线,然后全部卸松螺母,再按规定的初拧扭矩和终拧角度重新拧紧螺栓,测量终止线与原终止线画线间的角度,应符合本规程表6.4.16要求,误差在±30°者为合格; 4)如发现有不符合规定的,应再扩大1倍检查,如仍有不合格者,则整个节点的高强度螺栓应重新施拧; 5)转角检查宜在螺栓终拧1h以后、24h之前完成。
6.5.2 扭剪型高强度螺栓终拧检查,以目测尾部梅花头拧断为合格。对于不能用专用扳手拧紧的扭剪型高强度螺栓,应按本规程第6.5.1条的规定进行终拧紧固质量检查。
7 施工质量验收
7.1 一般规定
7.1.1 高强度螺栓连接分项工程验收应按现行国家标准《钢结构工程施工质量验收规范》GB 50205和本规程的规定执行。
7.1.2 高强度螺栓连接分项工程检验批合格质量标准应符合下列规定: 1 主控项目必须符合现行国家标准《钢结构工程施工质量验收规范》GB 50205中合格质量标准的要求; 2 一般项目其检验结果应有80%及以上的检查点(值)符合现行国家标准《钢结构工程施工质量验收规范》GB 50205中合格质量标准的要求,且允许偏差项目中最大超偏差值不应超过其允许偏差限值的1.2倍; 3 质量检查记录、质量证明文件等资料应完整。
7.1.3 当高强度螺栓连接分项工程施工质量不符合现行国家标准《钢结构工程施工质量验收规范》GB 50205和本规程的要求时,应按下列规定进行处理: 1 返工或更换高强度螺栓连接副的检验批,应重新进行验收; 2 经有资质的检测单位检测鉴定能够达到设计要求的检验批,应予以验收; 3 经有资质的检测单位检测鉴定达不到设计要求,但经原设计单位核算认可能够满足结构安全的检验批,可予以验收; 4 经返修或加固处理的检验批,如满足安全使用要求,可按处理技术方案和协商文件进行验收。
7.2 检验批的划分
7.2.1 高强度螺栓连接分项工程检验批宜与钢结构安装阶段分项工程检验批相对应,其划分宜遵循下列原则: 1 单层结构按变形缝划分; 2 多层及高层结构按楼层或施工段划分; 3 复杂结构按独立刚度单元划分。
7.2.2 高强度螺栓连接副进场验收检验批划分宜遵循下列原则: 1 与高强度螺栓连接分项工程检验批划分一致; 2 按高强度螺栓连接副生产出厂检验批批号,宜以不超过2批为1个进场验收检验批,且不超过6000套; 3 同一材料(性能等级)、炉号、螺纹(直径)规格、长度(当螺栓长度≤100mm时,长度相差≤15mm;当螺栓长度>100mm时,长度相差≤20mm,可视为同一长度)、机械加工、热处理工艺及表面处理工艺的螺栓、螺母、垫圈为同批,分别由同批螺栓、螺母及垫圈组成的连接副为同批连接副。
7.2.3 摩擦面抗滑移系数验收检验批划分宜遵循下列原则: 1 与高强度螺栓连接分项工程检验批划分一致; 2 以分部工程每2000t为一检验批;不足2000t者视为一批进行检验; 3 同一检验批中,选用两种及两种以上表面处理工艺时,每种表面处理工艺均需进行检验。
7.3 验收资料
7.3.1 高强度螺栓连接分项工程验收资料应包含下列内容: 1 检验批质量验收记录; 2 高强度大六角头螺栓连接副或扭剪型高强度螺栓连接副见证复验报告; 3 高强度螺栓连接摩擦面抗滑移系数见证试验报告(承压型连接除外); 4 初拧扭矩、终拧扭矩(终拧转角)、扭矩扳手检查记录和施工记录等; 5 高强度螺栓连接副质量合格证明文件; 6 不合格质量处理记录; 7 其他相关资料。