t分布的定义
如果容量为n的所有可能样本均来自正态分布总体(均值为μ),并且对每个样本都计算出随机变量T的值t,则t值有一个连续型概率分布,称为t分布。

t分布的概率密度函数
t分布是一个分布族,其确切形状由一个被称为自由度v的参数决定,其中,v = n - 1 (n为样本大小)每个整数自由度对应一个分布。t分布有以下几个特征:
-
每个分布都是钟型且关于均值0对称,并且分布从负无穷到正无穷连续延伸;
-
当自由度无限时,t分布就是标准正态分布。随着自由度越来越小,曲线就越来越平坦;
-
一般认为,自由度小于30时,分布与标准分布相差较大。
t分布的概率密度函数和概率求解
在构建置信区间这一节中讲到,如果抽样分布符合正态分布,但由于样本太小而不能使用期望和方差来求解概率时,我们就需要使用到t分布。当方差和期望不能满足我们对总体样本的预估时,就需要找到一个新的标准来代替期望和方差完成预估。这个标准就是标准分(详见《每天一点统计学——数据变异性的量度》)。
t分布的标准分计算公式如下:

t分布的标准分计算公式
t分布的概率密度函数计算公式如下:

t分布的概率密度函数
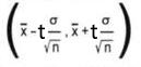
如果要构建t分布的置信区间,可使用以下计算公式:

t分布的置信区间
通过查找t分布的概率表,可以计算出t的值:

例子:有一个包含10颗彩虹糖果的样本,并且样本均值X拔 = 0.5g,样本方差s^2 = 0.09。求t的值和平均重量为95%的置信区间。
分析:
(1)使用t分布概率表,首先需要找出尾部的概率值。要求出95%的置信区间,即要在概率表中中查找0.025((1-0.95)/ 2)。样本容量为10,即自由度为9。我们需要找出(v=9,P=0.025)的交叉值,就是t的值,即t=2.262。
(2)已知X拔=0.5, s^2 = 0.09, t=2.262,n=9,根据t分布的置信区间公式可得出:
P(0.285 <= T <= 0.715) = 0.95