在现实生活中,想必有不少人或多或少的遇到以下场景,一是在某一限速时段,因超速被拍过厚却查不到违章信息;二是在限速路段,压着限速速度行驶,可旁边的车开的比自己还快。类似这种情况对新手来说必然是一头雾水,即便是老司机对仪表盘显示速度与实际速度不符这个事情略知一二,但也未必了然于心。既然如此,咱们就先说原理,再说测试。

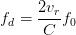
雷达测速原理:雷达测速原理是雷达信号的多普勒效应,运动物体反射的雷达信号频率与发射频率之间有一个差值,称作多普勒频率。多普勒频率值与物体运动速度成正比:


区间测速系统在同一路段布设两个或以上的监控点,用于自动记录待测车辆的通过时刻、车辆特征等信息,根据其通过区间的时间间隔计算器平均速度。就是简单地距离除以时间得到平均速度原理。至于监控点的记录原理没有做出特别的规定。
常见的雷达测速有雷达、摄像头测速及人工测速等。
雷达测速:

摄像头测速:

人工测速:


了解了雷达测速的各种设备及测试方法,下面我们就通过三种方法来对比下不同的测试工具所测同一辆车的速度:
1、汽车仪表显示,通过仪表上行驶速度显示当前车速;首先了解车辆的测速原理,在每个车轮都有对应的传感器,用来检测车轮的转动圈数,进而计算得出实际车速,可这个车速并没有如实地反映在仪表盘上,原因如下:其一是国家明文规定,车速表指示车速不得低于实际车速,意味着误差是实际存在,且是国家允许存在。

2、通过手机导航显示速度,现在的智能手机在导航时都有速度显示,这个速度是根据GPS信号算出来的;

3、专业的汽车测速设备P-BOX。


从实测的结果来看,仪表盘表显速度终究是要比实际车速要快的,指针式数显也比数值显示在准确性方面稍差,而导航测速则是与车辆的实际速度最为接近,论数值的准确性:导航速度>雷达测速>表显速度。
再者除了上述说明的本身车辆设置原因以外,轮胎的周长会受到很多方面的因素影响,而轮胎有效半径恰恰是车辆计算实时车速的有效参数,具体表现在:
1.轮胎气压不足会显著减小轮胎的有效半径,进而影响到周长,汽车仪表盘上的速度指示将会显著大于实际行驶速度;
2.超载的原理和轮胎气不足相似,也会导致实际显示的指针速度显著大于实际行驶速度;
3.使用严重磨损的轮胎,也会导致轮胎周长减小,测速速度也会大于实际行驶速度。
说到这里也许有车主会窃喜,下次可以掐着速度过测速了!不过在此提醒大家,车速表指示车速比实际车速高,完全是出于保障驾车安全考虑的,而限速的目的也是为了安全,毕竟保障安全是每个老司机应守的本分。

好了,今天的讲解到这就结束了,希望大家在日常行车过程中安全驾驶,平安你我他!