原文链接:https://mp.weixin.qq.com/s/B5pkNcjS0fJA5ijGj-mWng
这篇来盘盘集合类的面试题,这玩意被问的几率很高,算是基础中的基础了,几乎一面必定会涉及到一两题,所以需要好好关注下。
我这篇几乎把集合相关核心面试点都盘了,可以说吃下这篇,这关差不多稳了。字挺多的,建议收藏先。
对了,这篇过段时间也会收录到我的 面试仓库,上面已经有很多面试题啦,求个 star!
https://github.com/yessimida/interview-of-legends
好了,不吹牛了,我们发车!
说说Java的集合类
这题一般用在开头,让你热热身,你也不需要说得那么详细,大致讲下,面试官会根据你回答的点继续挖的。
Java集合从分类上看,有 collection 和 map 两种,前者是存储对象的集合类,后者存储的是键值对(key-value)

Collection
Set
主要功能是保证存储的集合不会重复,至于集体是有序还是无序的,需要看具体的实现类,比如 TreeSet 就是有序的,HashSet 是无序的(所以网上有些说 set 是无序集合还是在扯淡)
List
这个很熟悉,具体的实现方式有 ArrayList 和 LinkedList,两者的区别在于底层实现不同,前者是数组,后者是双向链表,所以引申出来就是将数组和链表的区别。
数组 VS 链表
数组的内存是连续的,且存储的元素大小是固定的,实现上是基于一个内存地址,然后由于元素固定大小,支持利用下标的直接访问。
具体是通过 下标 * 元素大小+内存基地址算出一个访问地址,然后直接访问,所以随机访问的效率很高,O(1)。

而由于要保持内存连续这个特性,不能在内存中间空一块,所以删除中间元素时就需要搬迁元素,需要进行内存拷贝,所以说删除的效率不高。
链表的内存不需要连续,它们是通过指针相连,这样对内存的要求没那么高(数组的申请需要一块连续的内存),链表就可以散装内存,不过链表需要额外存储指针,所以总体来说,链表的占用内存会大一些。

且由于是指针相连,所以直接无法随机访问一个元素,必须从头(如双向链表,可尾部)开始遍历,所以随机查找的效率不高,O(n)。
也由于指针相连这个特性,单方面删除的效率高,因为只需要改变指针即可,没有额外的内存拷贝动作(但是要找到这个元素,费劲儿呀,除非你顺序遍历删)。
两者大致的特点就如上所说,再扯得深一点,就要说到 CPU 亲和性问题
各位应该都听过空间局部性。
空间局部性(spatial locality):如果一个存储器的位置被引用,那么将来它附近的位置也会被引用。
根据这个原理,就会有预读功能,像 CPU 缓存就会读连续的内存,这样一来如果你本就要遍历数组的,那么你后面的数据就已经被上一次读取前面数据的时候,一块被加载了,这样就是 CPU 亲和性高。
反观链表,由于内存不连续,所以预读不到,所以 CPU 亲和性低。
对了,链表(数组)加了点约束的话,还可以用作栈、队列和双向队列。
像 LinkedList 就可以用来作为栈或者队列使用。
queue
队列,有序,严格遵守先进先出,就像往常一样排队,没啥别的好说的。
常用的实现类就是 LinkedList,没错这玩意还实现了 Queue 接口。
还有一个值得一提的是优先队列,就是 PriorityQueue,内部是基于数组构建的,用法就是你自定义一个 comparator ,自己定义对比规则,这个队列就是按这个规则来排列出队的优先级。
Map
存储的是键值对,也就是给对象(value)搞了一个 key,这样通过 key 可以找到那个 value。

最出名的,就是平日里使用最多的应该就是 HashMap,这个是无序的。
还有两个实现类,LinkedHashMap 和 TreeMap,前者里面搞了个链表,这样塞入顺序就被保存下来了,后者是红黑树实现了,所以有序。
最后还有个 IdentityHashMap ,这个好像网上文章都提得比较少,不过我们也来盘一下,有备无患。
HashMap
这玩意是面试高频点,可以说几乎被问烂了... 有的题目还很刁难,比如问默认初始容量(16)是多少,哈希函数怎么设计的..没点准备肯定蒙,所以我们来个一网打尽。
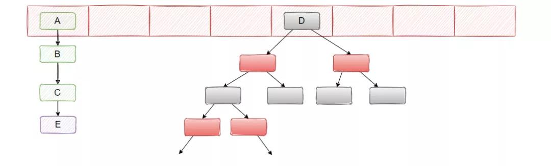
能说下 HashMap 的实现原理吗
其实就是有个 Entry 数组,Entry 保存了 key 和 value。当你要塞入一个键值对的时候,会根据一个 hash 算法计算 key 的 hash 值,然后通过数组大小 n-1 & hash 值之后,得到一个数组的下标,然后往那个位置塞入这个 Entry。
然后我们知道,hash 算法是可能产生冲突的,且数组的大小是有限的,所以很可能通过不同的 key 计算得到一样的下标,因此为了解决 Entry 冲突的问题,采用了链表法,如下图所示:

在 JDK1.7 及之前链表的插入采用的是头插法,即在链表的头部插入新的 Entry。

在 JDK1.8 的时候,改成了尾插法,并且引入了红黑树。

当链表的长度大于 8 数组大小大于等于 64 的时候,就把链表转化成红黑树,当红黑树节点小于 6 的时候,又会退化成链表。

为什么 JDK 1.8 要对 HashMap 做红黑树这个改动?
主要是避免 hash 冲突导致链表的长度过长,这样 get 的时候时间复杂度严格来说就不是 O(1) ,因为可能需要遍历链表来查找命中的 Entry。
为什么定义链表长度为 8 且数组大小大于等于 64 才转红黑树?不要链表直接用红黑树不就得了吗?

因为 红黑树节点的大小是普通节点大小的两倍,所以为了节省内存空间不会直接只用红黑树,只有当节点到达一定数量才会转成红黑树,这里定义的是 8。
为什么是 8 呢?这个其实 HashMap 注释上也有说的,和泊松分布有关系,这个大学应该都学过。

简单翻译下就是在默认阈值是 0.75 一般情况下,冲突节点长度为 8 的概率为 0.00000006,也就概率比较小(毕竟红黑树耗内存,且链表长度短点时遍历的还是很快的)。
这就是基于时间和空间的平衡了,红黑树占用内存大,所以节点少就不用红黑树,如果万一真的冲突很多,就用红黑树,选个参数为 8 的大小,就是为了平衡时间和空间的问题。
为什么节点少于 6 要从红黑树转成链表?
也是为了平衡时间和空间,节点太少链表遍历也很快,没必要成红黑树,变成链表节约内存。
为什么定了 6 而不是小于等于 8 就变?
是因为要 留个缓冲余地,避免反复横跳。举个例子,一个节点反复添加,从 8 变成 9 ,链表变红黑树,又删了,从 9 变成 8,又从红黑树变链表,再添加,又从链表变红黑树?
所以 余一点 ,毕竟树化和反树化都是有开销的。
那 JDK 1.8 对 HashMap 除了红黑树这个改动,还有哪些改动?
- hash 函数的优化
- 扩容 rehash 的优化
- 头插法和尾插法
- 插入与扩容时机的变更
hash 函数的优化
1.7是这样实现的:
static int hash(int h) {
h ^= (h >>> 20) ^ (h >>> 12);
return h ^ (h >>> 7) ^ (h >>> 4);
}
而 1.8 是这样实现的:
static final int hash(Object key) {
int h;
return (key == null) ? 0 : (h = key.hashCode()) ^ (h >>> 16);
}
具体而言就是 1.7 的操作太多了,经历了四次异或,所以 1.8 优化了下,它将 key 的哈希码的高16位和低16位进行了异或,得到的 hash 值同时拥有了高位和低位的特性,这样做得出的码比较均匀,不容易冲突。
这也是 JDK 开发者根据速度、实用性、哈希质量所做的权衡来做的实现:

扩容 rehash 的优化
按照我们的思维,正常扩容肯定是先申请一个更大的数组,然后将原数组里面的每一个元素重新 hash 判断在新数组的位置,然后一个一个搬迁过去。
在 1.7 的时候就是这样实现的,然而 1.8 在这里做了优化, 关键点就在于数组的长度是 2 的次方,且扩容为 2 倍。
因为数组的长度是 2 的 n 次方,所以假设以前的数组长度(16)二进制表示是 01000,那么新数组的长度(32)二进制表示是 10000,这个应该很好理解吧?
它们之间的差别就在于高位多了一个 1,而我们通过 key 的 hash 值定位其在数组位置所采用的方法是 (数组长度-1) & hash。我们还是拿 16 和 32 长度来举例:
16-1=15,二进制为 00111
32-1=31,二进制为 01111
所以重点就在 key 的 hash 值的从左往右数第四位是否是 1,如果是 1 说明需要搬迁到新位置,且新位置的下标就是原下标+16(原数组大小),如果是 0 说明吃不到新数组长度的高位,那就还是在原位置,不需要迁移。
所以,我们刚好拿老数组的长度(01000)来判断高位是否是 1,这里只有两种情况,要么是 1 要么是 0 。

从上面的源码可以看到,链表的数据是一次性计算完,然后一堆搬运的,因为扩容时候,节点的下标变化只会是原位置,或者原位置+老数组长度,不会有第三种选择。
上面的位操作,包括为什么是原下标+老数组长度等,如果你不理解的话,可以举几个数带进去算一算,就能理解了。
总结一下,1.8 的扩容不需要每个节点重写 hash 算下标,而是通过和老数组长度的**&**计算是否为 0 ,来判断新下标的位置。
额外再补充一个问题: 为什么 HashMap 的长度一定要是 2 的 n 次幂?
原因就在于数组下标的计算,由于下标的计算公式用的是 i = (n - 1) & hash,即位运算,一般我们能想到的是 %(取余)计算,但相比于位运算而言,效率比较低,所以推荐用位运算,而要满足上面这个公式,n 的大小就必须是 2 的 n 次幂。
即: 当 b 等于 2 的 n 次幂时,a % b 操作等于 a & ( b - 1 )
头插法和尾插法
1.7是头插法,上面的图已经展示了。
头插法的好处就是插入的时候不需要遍历链表,直接替换成头结点,但是缺点是扩容的时候会逆序,而逆序在多线程操作下可能会出现环,然后就死循环了。

然后 1.8 是尾插法,每次都从尾部插入的话,扩容后链表的顺序还是和之前一致,所以不可能出现多线程扩容成环的情况。
其实我在网上找了找,很多文章说尾插法的优化就是避免多线程操作成环的问题,我表示怀疑。因为 HashMap 本就不是线程安全的,我要还优化你多线程的情况?我觉得开发者应该不会做这样的优化。
那为什么要变成尾插法呢?我也没找到官方解答,如果有谁知道可以教我一下。
那再延伸一下, 改成尾插法之后 HashMap 就不会死循环了吗?
好像还是会,这次是红黑树的问题 ,我在网上看到这篇文章,有兴趣的可以深入了解下
- https://blog.csdn.net/qq_33330687/article/details/101479385
插入与扩容时机的变更
1.7 是先判断 put 的键值对是新增还是替换,如果是替换则直接替换,如果是新增会判断当前元素数量是否大于等于阈值,如果超过阈值且命中数组索引的位置已经有元素了,那么就进行扩容。
if ((size >= threshold) && (null != table[bucketIndex])) {
resize(2 * table.length);
hash = (null != key) ? hash(key) : 0;
bucketIndex = indexFor(hash, table.length);
}
createEntry(...)
所以 1.7 是先扩容,然后再插入。
而 1.8 则是先插入,然后再判断 size 是否大于阈值,若大于则扩容。
就这么个差别,至于为什么,好吧,我查了下没查出来,我自己也不知道,我个人觉得两者没差。。可能是重构(引入红黑树)的时候改了下顺序而已...其实没什么影响,我自己也脑补不出什么别的了。
网上也没找到什么比较有信服力的答案,所以如果有谁知道可以再教我一下。
HashMap 大概就这么些个点了,建议看下源码,再巩固一下。
LinkedHashMap
LinkedHashMap 的父类是 HashMap,所以 HashMap 有的它都有,然后基于 HashMap 做了一些扩展。
首先它把 HashMap 的 Entry 加了两个指针:before 和 after。

这目的已经很明显了,就是要把塞入的 Entry 之间进行关联,串成双向链表,如下图红色的就是新增的两个指针

并且内部还有个 accessOrder 成员,默认是 false, 代表链表是顺序是按插入顺序来排的,如果是 true 则会根据访问顺序来进行调整,就是咱们熟知的 LRU 那种,如果哪个节点访问了,就把它移到最后,代表最近访问的节点。
具体实现其实就是 HashMap 埋了几个方法,然后 LinkedHashMap 实现了这几个方法做了操作,比如以下这三个,从方法名就能看出了:访问节点之后干啥;插入节点之后干啥;删除节点之后干啥。

举个 afterNodeInsertion 的例子,它埋在 HashMap 的 put 里,在塞入新节点之后,会调用这个方法

然后 LinkedHashMap 实现了这个方法,可以看到 这个方法主要用来移除最老的节点。

看到这你能想到啥?假如你想用 map 做个本地缓存,由于缓存的数量不可能无限大,所以你就能 继承 LinkedHashMap 来实现,当节点超过一定数量的时候,在插入新节点的同时,移除最老最久没有被访问的节点,这样就实现了一个 LRU 了。
具体做法是把 accessOrder 设置为 true,这样每次访问节点就会把刚访问的节点移动到尾部,然后再重写 removeEldestEntry 方法,LinkedHashMap 默认的实现是直接返回 true。

你可以搞个:
protected boolean removeEldestEntry(Entry<K, V> eldest) {
return this.size() > this.maxCacheSize;
}
这样就简单的实现一个 LRU 了!下面展示下完整的代码,非常简单:
private static final class LRUCache<K, V> extends LinkedHashMap<K, V> {
private final int maxCacheSize;
LRUCache(int initialCapacity, int maxCacheSize) {
super(initialCapacity, 0.75F, true);
this.maxCacheSize = maxCacheSize;
}
protected boolean removeEldestEntry(Map.Entry<K, V> eldest) {
return this.size() > this.maxCacheSize;
}
}
这里还能引申出一个笔试题,手写实现一个 LRU 算法,来我给你写!
public class LRUCache<K,V> {
class Node<K,V> {
K key;
V value;
Node<K,V> prev, next;
public Node(){}
public Node(K key, V value) {
this.key = key;
this.value = value;
}
}
private int capacity;
private HashMap<K,Node> map;
private Node<K,V> head;
private Node<K,V> tail;
public LRUCache(int capacity) {
this.capacity = capacity;
map = new HashMap<>(capacity);
head = new Node<>();
tail = new Node<>();
head.next = tail;
tail.prev = head;
}
public V get(K key) {
Node<K,V> node = map.get(key);
if (node == null) {
return null;
}
moveNodeToHead(node);
return node.value;
}
public void put(K key, V value) {
Node<K,V> node = map.get(key);
if (node == null) {
if (map.size() >= capacity) {
map.remove(tail.prev.key);
removeTailNode();
}
Node<K,V> newNode = new Node<>(key, value);
map.put(key, newNode);
addToHead(newNode);
} else {
node.value = value;
moveNodeToHead(node);
}
}
private void addToHead(Node<K,V> newNode) {
newNode.prev = head;
newNode.next = head.next;
head.next.prev = newNode;
head.next = newNode;
}
private void moveNodeToHead(Node<K,V> node) {
removeNode(node);
addToHead(node);
}
private void removeNode(Node<K,V> node) {
node.prev.next = node.next;
node.next.prev = node.prev;
}
private void removeTailNode() {
removeNode(tail.prev);
}
public static void main(String[] args) {
LRUCache<Integer,Integer> lruCache = new LRUCache<>(3);
lruCache.put(1,1);
lruCache.put(2,2);
lruCache.put(3,3);
lruCache.get(1);
lruCache.put(4,4);
System.out.println(lruCache); // toString 我就没贴了,代码太长了
}
}
TreeMap
TreeMap 内部是通过红黑树实现的,可以让 key 的实现 Comparable 接口或者自定义实现一个 comparator 传入构造函数,这样塞入的节点就会根据你定义的规则进行排序。
这个用的比较少,我常用在跟加密有关的时候,有些加密需要根据字母序排,然后再拼接成字符串排序,在这个时候就可以把业务上的值统一都塞到 TreeMap 里维护,取出来就是有序的。
具体就不深入了,一般不会问太多。
IdentityHashMap
理解这个 map 的关键就在于它的名字 Identity,也就是它判断是否相等的依据不是靠 equals ,而是对象本身是否是它自己。
什么意思呢?
首先看它覆盖的 hash 方法:

可以看到,它用了个 System.identityHashCode(x),而不是x.hashCode()。
而这个方法会返回原来默认的 hashCode 实现,不管对象是否重写了 hashCode 方法

默认的实现返回的值是:对象的内存地址转化成整数,是不是有点感觉了?
然后我们再看下它的 get 方法:

可以看到, 它判断 key 是否相等并不靠 hash 值和 equals,而是直接用了 == 。
而 == 其实就是地址判断!
只有相同的对象进行 == 才会返回 true。
因此我们得知, IdentityHashMap 的中的 key 只认它自己(对象本身)。
即便你伪造个对象,就算值都相等也没用,put 进去 IdentityHashMap 只会多一个键值对,而不是替换,这就是 Identity 的含义。
比如以下代码,identityHashMap 会存在两个 Yes:
Map<String, String> identityHashMap = new IdentityHashMap<>();
identityHashMap.put(new Yes("1"), "1");
identityHashMap.put(new Yes("1"), "2");
这里眼尖的小伙伴发现,为什么返回值是 tab[i+1]?
这是因为 IdentityHashMap 的存储方式有点不一样,它是将 value 存在 key 的后面。

认识到这就差不多了,具体不深入了,有兴趣的小伙伴们自行研究~
最后
集合认识这么多估计就差不多了,不过推荐自己看一遍源码,心里更有数点。
下篇写 ConcurrentHahMap,如果还没关注的话,来个关注吧~