在不改换门庭的情况下,一颗镜头一般都会伴随大家使用很长一段时间,也相信大多数人都遇到过剐蹭镜头前组的情况,这时候最容易引发的担忧就是“伤着镀膜了么?会不会影响成像效果?”

其实换个角度来看,这个问题问的就是“镀膜究竟有多大用处?”从光学性质来看,镀膜的核心用途就是增加透光率,那么假设没有镀膜,一块玻璃的光透过率有多少呢?这时候只需要计算出光能的反射和吸收率就能得出剩余值。当然,实用中还有材料工艺不精导致的气泡、杂质、浑浊等产生的散射,零件表面抛光不良会造成的漫反射和漫折射……但为免复杂,在这里就假设材料完美无瑕,只计算反射和吸收。
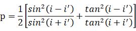
反射是导致光能损耗最大的原因,根据菲涅尔公式,反射率p为:

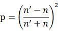
i和i’分别是入射角和折射角,简单计算不难发现入射角在45度以内时,反射率与入射角为0度,也就是垂直入射时的数值基本相同,而在摄影系统中光线在每一面上的入射角很少会超过45度,所以在计算反射时都会以垂直入射为标准,这样一来菲涅尔公式就可以按折射率简化为:

比如一块折射率n’为1.5的玻璃在空气中传导时,p=0.04;而n’=2时就有p=0.111,这基本涵盖了绝大多数玻璃材料的反射率,也就是一个折射面就有7~11%的损耗,多个折射面造成的光能损失就会非常可观了,假设每一面的反射率为5%,也就是p=0.05,镜头系统总计有10个与空气接触的折射面,设L’为出射光束亮度,L为入射光束亮度,那么有:

也就是说一个简单的5片分离式透镜组,在没有镀膜的情况下单单反射就要损失超过40%的光能,而且各面的反射光还会被其他折射表面继续反射,这种表面件偶次反射的光最终会在传感器上形成一个杂光像,而这就是眩光和鬼影。
也正因无镀膜玻璃存在如此明显的光能损耗且劣化成像,所以镀膜才成为了各大品牌研发的重点课程,最基础的镀膜工艺是光学厚度精确等于1/4波长的单层膜,理论上对于垂直入射在薄膜上的光线,经薄膜第二表面的反射光在第一表面与第一表面的反射光线相遇时,是精确相差1/2波长的异相,可形成相消干涉从而抵消反射光,而1/4单层膜本身的折射率应该等于玻璃基板折射率的平方根,比如折射率为1.9左右的玻璃基板就适用折射率为1.38的氟化镁镀膜。

但因为民用相机需要覆盖整个可见光波段,单层膜只能针对某一个波长,相消干涉效率会变差,比如对黄光反射率低,但红蓝光反射率会略高(所以镀膜看上去才会有颜色),因此现代镜片镀膜基本都采用多层工艺,而且光学厚度并不严格是1/4波长,现代多层镀膜已经可以将最终垂直入射反射率控制到0.05%以内,30度入射也可以在0.1%以内,工艺进步的幅度相当快,也为越来越多的复杂镜组设计提供了根本性的基础。

除了反射还有吸收,光经介质传播史的吸收损失要按具体应用方向而定,总体来说光学玻璃对400~760nm可见光和红外波段吸收率都不高,但强烈吸收紫外部分。在各大玻璃厂规格表里都会有“内部透过率”这项参数,一般会给出材料2~10mm厚度时的透过率,对于人眼最敏感的555nm波长绝大多数玻璃都可以控制在99%以上,而吸收率的计算公式可以写作:

L’为出射光束亮度,L为入射光束亮度,τ是内部透过率,对于摄影镜头来说可取0.99,d是光线在材质内的路程长度,单位为cm。为免复杂,所有品牌的内部透过率都按照沿光轴玻璃厚度来计算。也就是说,计算整个一束光在经历光学系统传递后所剩的光亮,需要知道该系统中材料与空气接触的折射面数,玻璃的沿轴厚度、折射率、反射率,如果有增透膜,就得需要镀膜之后的实际参数,在这种情况下才能计算它的理论极值。比如这样一套系统:

大家可以试着就前面给到的计算方法来算一算反射会折损多少,吸收又会折损多少,其实过程非常简单,经12个折射面后剩余光亮度为0.558,而吸收后的亮度为0.896,所以最终出射光束两对为两者乘积,为0.499,也就是经过这套系统下来之后光亮度就只剩一半左右了。这时候如果把各折射面蒸镀上反射率为0.01(也就是1%)的多层镀膜,这时候再一计算不难发现反射后的光亮度依然有0.886,整套系统的出射光亮度可以增加到0.794,足见镀膜的意义!
也正因为镀膜具备光谱多功能特性,可以通过这个特性来设计具体波长滤光功能的干涉膜,比如长通、短通、带通等。熟悉天文摄影的应该都听说过窄带滤光片:

它只会允许特定波长光线通过,其余波长都会被反射,比如设计一个1000nm波段的窄带滤光片,就需要把膜系各层薄膜厚度翻倍,就可以让它的光谱带漂移到21000nm,通过特定设计就能为不同应用领域提供定制化的设计。
但即便当代镀膜技术已经非常犀利,对于摄影镜头而言鬼影眩光依然是无可避免,只是程度上在逐步降低,而且还被不断增加的镜片数量给抵消,19片的奥林巴斯25mm F1.2沿轴部分的T值只有T1.8,同为19片的佳能RF 28-70mm F2眩光依然是非常明显……所以整个行业对镀膜技术依然有强劲的进阶需求。

所以现在你再回过头去看一开始的问题,剐蹭了镜头前组是否会影响画质?从绝对值来说一定是有影响,会影响第一折射面的反射值,从而影响最终的出射亮度,但影响有多大?当代镜头即便是经典设计,近20个折射面也并不新鲜,改变了其中一面的反射率并不会有明显的影响,假设有一颗镜头,每一面反射率为0.02,总计有20面,有出射亮度0.668,假设第一面镀膜损坏而反射率提高到0.1,那么整套系统的出射亮度就变成了0.613,但第一面的镀膜损坏并不会形成鬼影,只会非常小幅度地影响有效光圈,这对于曝光要求非常准确的电影系统来说会有点儿影响,但对于自动曝光的民用照相机来说系统会自动补偿一点快门,完全不会影响使用。

当然,因为不同膜系和厚度针对不同波长有不同透射率,观察上图不难发现同样的三盏灯,两颗镜头反射的颜色却并不一样,所以镀膜损伤也会影响到镜头色彩,但道理还是一样的,单纯第一面镀膜的小损伤影响很小,而且目前马赛克阵列传感器都是猜色,所以也没有担忧的必要。最重要的是,当下的镀膜并不会特别脆弱,比如氟化镁膜的稳定性就比较强,即便是多层膜也大多经得起擦洗,但有些会随着时间推移而变软,所以平日里还是多个心眼会更安全,当然如果真的不小心磨损了镀膜也没什么影响,只要不是大面积的刮花就不需要太担心。
同样的道理也可以应用在滤镜上,除了中灰、渐变等功能型滤镜外,大多数人用滤镜都只是为了保护前组,这时候只求它别影响性能就行,而一块镀膜设计与工艺稳定的薄滤镜并不会对成像产生副作用,所以滤镜没有必要追求价格上的绝对,主流品牌主流型号即可,但也切记不要贪便宜……