初二数学在整式乘法和因式分解的基础上又学习了分式的运算,分式的运算涉及到分式的约分,分式的通分,前者考察求分子和分母的最大公因式,后者是分式加减运算的前提。
今天主要和大家分享下分式的加减运算的常见题型。
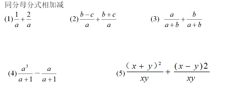
题型一:同分母分式加法
可以联想同分母分数加法,分母不变,分子相加。

题型二:异分母分式相加减
这一部分是分式加减法的难点,也是非常重要的模块,考察范围广,题型变化多样。但是它的本质是因式分解,所以一定要熟练掌握常用的因式分解的方法,提公因式法,公式法。
我们来看下异分母分式加减运算的常见题型,这里按照两个分式形式的不同,又分为了下面几种。
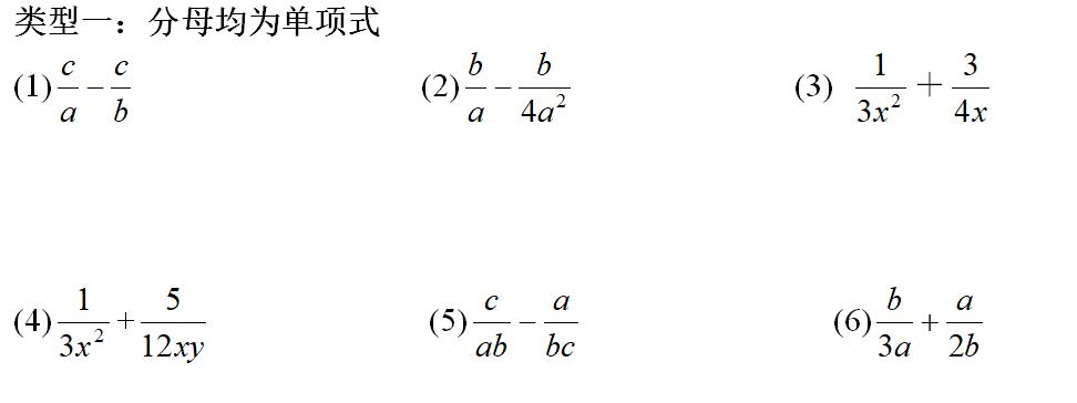
第一种:分母均为单项式的

通分时确定最简公分母的方法是:取数字和数字的最小公倍数,同一字母的较高因式.单独在某一个分式中出现的字母,则连同它的指数,一起作为最简公分母的一个因式。
以上述第(4)题为例,
第一步:确定最简公分母的系数,3和12的最小公倍数是12
第二步:确定因式中的字母及指数,两个分式的分母中都含有x,一个是x的2次方,一个是x的一次方,取较高次幂,x的2次方
第三步,单独在第二个分式分母中出现的y,则作为最简公分母的一个因式,直接乘进去。
最后,把12,x方,y这三个因式乘在一起,就是最简公分母12x方y。
确定最简公分母之后,可以根据分式的基本性质,把分式的分母都统一成12x方y.
题型二:不含公因式的分式相加减(分母是多项式)

这种的最简公分母直接参照分母是单项式的类型中,“单独出现在一个分式中的字母,则连同它的指数,直接乘进去”,可以直接将这两个多项式的乘积作为最简公分母。
可以联想分母互质的两个分数,最简公分母就是它们的乘积。
1/2+1/3=5/6
前两个类型是分式加减中比较简单的类型,同时也是后面复杂分式运算的基础,一定要真正理解这两类的计算技巧。
类型三:含有公因式的分式加减运算(分式是多项式的)

含有公因式的分式加减法,一定要先对分母进行因式分解。
因式分解后,可以清晰得看到两个分式的公因式,取公因式的较高次幂,作为最简公分母。
以上面第三题为例。
第一个分式的分母是x方+3x可以因式分解为x(x+3),第二个分式的分母是(x+3)的2次方.
它们有公因式(x+3),把(x+3)看作一个整体,取(x+3)的较高次幂,即(x+3)的2次方。
单独出现在第一个分式中的字母x,可以作为公分母的一个因式,直接乘进去。
则最简公分母是x(x+3)的2次方。

类型四,分式与整式的加减法,脸型分数与整数的加减法,可以先通分成分式的分母。