二次函数是初中阶段函数最难的一部分,也是中考考核的重点。需要好好学习二次函数的定义、性质及应用。
二次函数的定义:一般地,形如y=ax²+bx+c(a、b、c为常数,a≠0)的函数,叫做二次函数.其中,x是自量,a,b,c分别是函数表达式的二次项系数、一次项系数和常数项.
注意:
(1)等号左边是函数y,右边是关于自变量x的整式
(2) a,b,c为常数,且a≠0.
(3)等式右边的最高次数为2,可以没有一次项和常数项,但不能没有二次项
(4) 自变量x的取值范围是任意实数,但是当自变量表示实际意义时,自变量的取值范围就不一定是全体实数。
判断一个函数是不是二次函数,要抓住二次函数的结构特征:(1)解析式是关于自变量的整式;(2)自变量的最高次数是2;(3)化简后二次项系数不为0. 除此之外,二次函数除有一般形式y=ax²+bx+c(a≠0)外,还有其特殊形式,如y=ax²、y=ax²+c等.
二次函数的一般式与前面我们学过的一元二次方程的联系和区别:右边是一样的,二次函数的y=0就是一元二次方程,区别在于一个是函数,一个是方程。
二次项系数a的绝对值大小与开口大小的关系,当a的绝对值越大,开口越小。
求不规则图形的面积,常采用等面积割补法,将不规则图形转化为规则图形以方便求解。
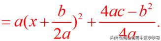
二次函数y=ax²+bx+c的顶点式


这个结果通常称为顶点坐标公式,最好是会推理。
因此,二次函数y=ax²+bx+c的图象是一条抛物线
二次函数二次函数y=ax²+bx+c的图象和性质

二次函数图像的性质
确定二次函数的关系式y=ax²+bx+c (a,b,c为常数,a ≠0),通常需要3个条件; 当知道顶点坐标(h,k)和图象上的另一点坐标两个条件时,用顶点式y=a(x-h)2+k可以确定二次函数的关系式。
在什么情况下,一个二次函数只知道其中两点就可以确定它的表达式?
1.用顶点式y=a(x-h)2+k时,知道顶点(h,k)和图象上的另一点坐标,就可以确定这个二次函数的表达式。
2. 用一般式y=ax²+bx+c确定二次函数时,如果系数a,b,c中有两个是未知的,知道图象上两个点的坐标,也可以确定这个二次函数的关系式.
待定系数法求解二次函数的过程:
(1)设二次函数的表达式;
(2)根据图象或已知条件列方程(或方程组);
(3)解方程(或方程组),求出待定系数;
(4)答:写出二次函数的表达式.
一元二次函数的应用:“最大面积” 问题解决的基本思路
1. 阅读题目,理解问题
2.分析问题中的变量和常量,以及它们之间的关系.
3.用数量的关系式表示出它们之间的关系.
4.根据二次函数的最值问题求出最大值、最小值
5.检验结果的合理性
二次函数的图像与x轴交点的个数由b2-4ac决定,当Δ>0时,与x轴有两个交点,当Δ=0时,与x轴有一个交点,当Δ<0时,与x轴没有交点.
二次函数的图像与x轴交点的横坐标就是一元二次方程的根。

一元二次与二次函数性质
需要灵活运用一元二次函数图像的对称性,关于对称轴对称的两个点的纵坐标相同,横坐标到对称轴的距离相同。
需要特别注意当常数项和一次项的为0的情况,这种是一种特殊的一元二次函数。