《新英格兰医学杂志》在线发表了一项非常重要的国际多中心Ⅲ期临床研究,研究结果表明,为「 感染新冠病毒后出现症状的7天内 」的患者注射 聚乙二醇化 λ-干扰素 (PEG-λ)后可 降低 近一半( 47% )的住院和死亡风险。

图源:pexels
干扰素是一种可以抵御病毒的细胞因子,其中λ-干扰素(Ⅲ型干扰素、IFN-λ)是作用于上皮细胞, 在细胞遭遇病毒感染时会分泌λ-干扰素作为对抗感染的第一道防线 。
除了可以被较低的病毒负荷诱导之外, IFN-λ 还有一个特点就是不像α-干扰素(Ⅰ型干扰素,IFN-α)那样具有较强的促炎作用,反而 具有抗炎作用 ,因此不仅能抑制病毒同时也可以避免细胞因子风暴出现。
而本次试验由斯坦福大学主导,对近2000名受试者采取随机、双盲、安慰剂对照试验,采用单剂皮下注射给药方式对入组受试者接种PEG-λ或安慰剂。

患者的随机分组和随访,图源:DOI: 10.1056/NEJMoa2209760
研究结果显示:
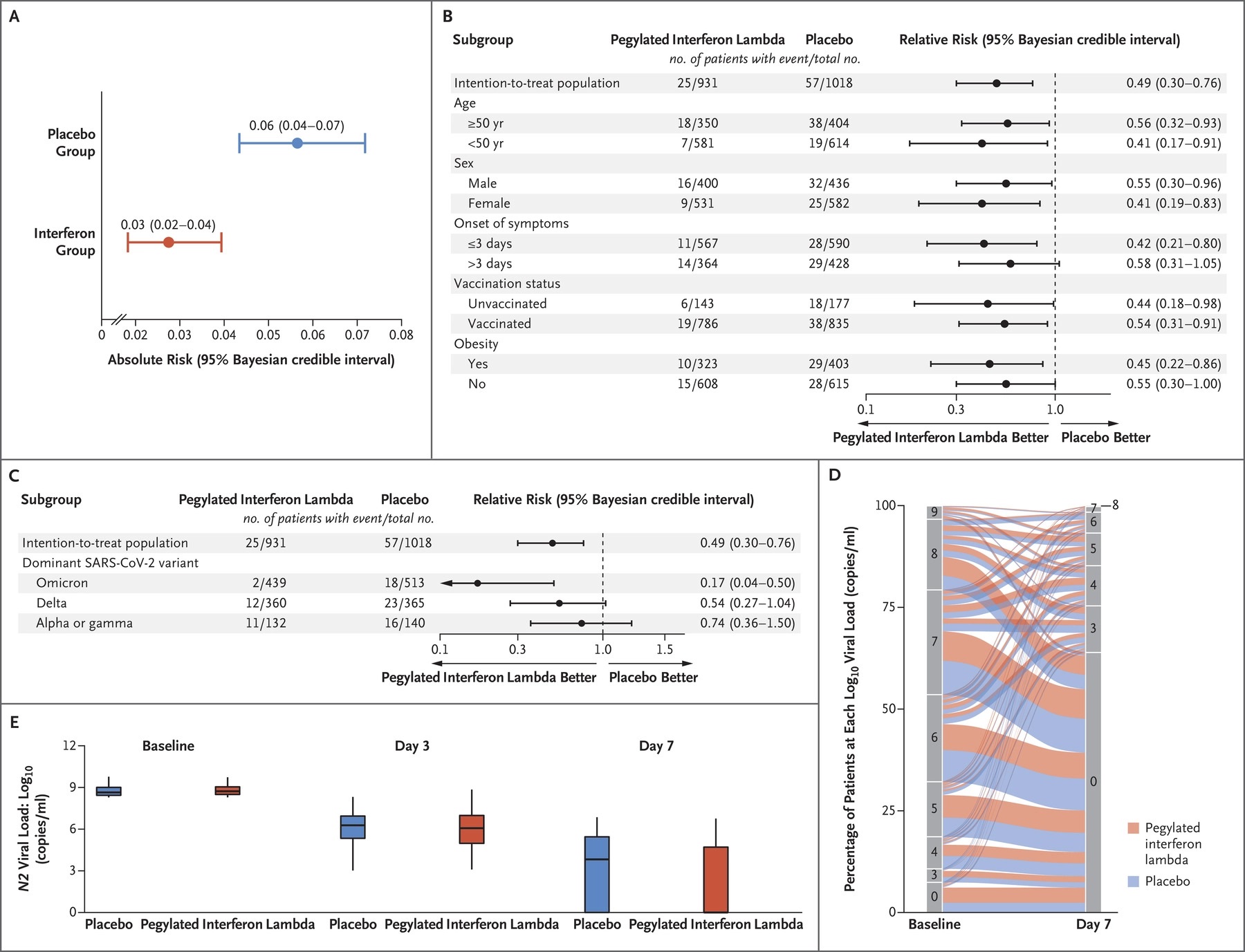
① PEG-λ将住院或急诊室就诊的风险降低了 51%(主要重点);
②PEG-λ将住院风险降低了 42%,将与新冠感染相关的死亡风险降低了50%;
③在大量已接种新冠疫苗的人群中显示出对多种变异株的一致效果,对接种疫苗和未接种疫苗患者的全因死亡风险分别降低81%和89%;
④如果在出现症状3天内使用PEG-λ,相关住院风险可以降低65%。

亚组分析,图源:DOI: 10.1056/NEJMoa2209760
除此之外,这种疗法还有很好的安全性,不良反应主要是注射部位疼痛,并且用药组和安慰剂组相似。
事实上,这项研究的发现重要性在于,目前全世界针对新冠治疗的药物可谓“捉襟见肘”。
一方面,正如我之前反复提到的,针对一些新的新冠病毒变异株有效的单克隆抗体目前仍可以说是屈指可数,研究见刊的更是凤毛麟角,而我国相关研究可以说还算处于世界前列。
另一方面,相对效果较好的抗病毒小分子药物具有很繁杂的药物相互作用,而应用限制较小的药物效果较低,甚至在近期发表在《英国医学杂志》涉及2500名受试者的研究显示, 某款已在我国获批的抗病毒药物「不会减少已接种疫苗的高危新冠感染患者的住院率或死亡率」 。
而我国,在一些信息中,「有效」的「药物」仿佛如同潮水般泛滥。

图源:pexels
因此在国际上,能够在现阶段获取一个能够显著降低疾病感染后各类临床风险的药物时非常难能可贵的,相关结果也能登录顶级研究期刊,当然也希望能够看到更多此类信息,尽快在疫苗之外获得进一步压低新冠风险的药物。
也得是安全、有效、证据充分、禁忌症和适应症明确的药物。
如果这类药物能够早日投入使用,或许就像本次研究的通讯作者微生物学和免疫学教授Jeffrey Glenn所说的:“ 如果我们在大流行开始时使用这种药物,它本可以挽救数百万人的生命,它现在仍然可以挽救数百万人的生命。 ”
当然,最后还是要强调一下,PEG-λ不是国内应用广阔的那些个干扰素, 千万不要滥用药物 。
愿天下无疫
=丸=
免责声明:本文为个人兴趣创作,仅为让更多普通人对疫苗有更加清晰的认识,内容观点不代表任何组织、单位、机构,未接受任何形式赞助,所有配图源自pexels和公开论文,如果内容有误,大家多做 自我批评 (不是)。