1总则
1.0.1 为了在桩基设计与施工中贯彻执行国家的技术经济政策,做到安全适用、技术先进、经济合理、确保质量,保护环境,制定本规范 。
1.0.2 本规范适用于建筑(包括构筑物)桩基的设计、施工及验收。
1.0.3 桩基的设计与施工,应综合考虑工程地质与水文地质条件、上部结构类型、使用功能、荷载特征、施工技术条件与环境;应重视地方经验,因地制宜,注重概念设计,合理选择桩型、成桩工艺和承台形式,优化布桩,节约资源;应强化施工质量控制与管理。
1.0.4 在进行桩基设计、施工及验收时,除应符合本规范外,尚应符合国家现行有关标准、规范的规定。
2 术语、符号
2.1 术 语
2.1.1 桩基 pile foundation
由设置于岩土中的桩和与桩顶连接的承台共同组成的基础或由柱与桩直接连接的单桩基础。
2.1.2 复合桩基 composite pile foundation
由基桩和承台下地基土共同承担荷载的桩基础。
2.1.3 基桩 foundation pile
桩基础中的单桩。
2.1.4 复合基桩 composite foundation pile
单桩及其对应面积的承台下地基土组成的复合承载基桩。
2.1.5 减沉复合疏桩基础 composite foundation with settlement-reducing piles
软土地基天然地基承载力基本满足要求的情况下,为减小沉降采用疏布摩擦型桩的复合桩基。
2.1.6 单桩竖向极限承载力 ultimate vertical bearing capacity of a single pile
单桩在竖向荷载作用下到达破坏状态前或出现不适于继续承载的变形时所对应的最大荷载,它取决于土对桩的支承阻力和桩身承载力。
2.1.7 极限侧阻力 ultimate shaft resistance
相应于桩顶作用极限荷载时,桩身侧表面所发生的岩土阻力。
2.1.8 极限端阻力 ultimate tip resistance
相应于桩顶作用极限荷载时,桩端所发生的岩土阻力。
2.1.9 单桩竖向承载力特征值 characterisitic value of the vertical bearing capacity of a single pile
单桩竖向极限承载力标准值除以安全系数后的承载力值。
2.1.10 变刚度调平设计 optimized design of pile foundation stiffness to reduce differential settlement
考虑上部结构形式、荷载和地层分布以及相互作用效应,通过调整桩径、桩长、桩距等改变基桩支承刚度分布,以使建筑物沉降趋于均匀、承台内力降低的设计方法。
2.1.11 承台效应系数 pile cap effect coefficient
竖向荷载下,承台底地基土承载力的发挥率。
2.1.12 负摩阻力 negative skin friction,negative shaft resistance
桩周土由于自重固结、湿陷、地面荷载作用等原因而产生大于基桩的沉降所引起的对桩表面的向下摩阻力。
2.1.13 下拉荷载 downdrag
作用于单桩中性点以上的负摩阻力之和。
2.1.14 土塞效应 plugging effect
敞口空心桩沉桩过程中土体涌入管内形成的土塞,对桩端阻力的发挥程度的影响效应。
2.1.15 灌注桩后注浆 post grouting for cast-in-situ pile
灌注桩成桩后一定时间,通过预设于桩身内的注浆导管及与之相连的桩端、桩侧注浆阀注入水泥浆,使桩端、桩侧土体(包括沉渣和泥皮)得到加固,从而提高单桩承载力,减小沉降。
2.1.16 桩基等效沉降系数 equivalent settlement coefficient for calculating settlement of pile foundations
弹性半无限体中群桩基础按Mindlin(明德林)解计算沉降量ωM,与按等代墩基Boussinesq(布辛奈斯克)解计算沉降量ωB之比,用以反映Mindlin解应力分布对计算沉降的影响。
2.2 符号
2.2.1 作用和作用效应
Fk——按荷载效应标准组合计算的作用于承台顶面的竖向力;
Gk——桩基承台和承台上土自重标准值;
Hk——按荷载效应标准组合计算的作用于承台底面的水平力;
Hik——按荷载效应标准组合计算的作用于第 i 基桩或复合基桩的水平力;
Mxk、Myk——按荷载效应标准组合计算的作用于承台底面的外力,绕通过桩群形心的x、y主轴的力矩;
Nik——荷载效应标准组合偏心竖向力作用下第 i 基桩或复合基桩的竖向力;
Qgn——作用于群桩中某一基桩的下拉荷载;
qf——基桩切向冻胀力。
2.2.2 抗力和材料性能
E s——土的压缩模量;
f t、 f c——混凝土抗拉、抗压强度设计值;
f rk——岩石饱和单轴抗压强度标准值;
f s、 q c——静力触探双桥探头平均侧阻力、平均端阻力;
m——桩侧地基土水平抗力系数的比例系数;
p s——静力触探单桥探头比贯入阻力;
qsi k——单桩第 i 层土的极限侧阻力标准值;
q pk——单桩极限端阻力标准值;
Q sk、 Q pk——单桩总极限侧阻力、总极限端阻力标准值;
Q uk——单桩竖向极限承载力标准值;
R——基桩或复合基桩竖向承载力特征值;
R a——单桩竖向承载力特征值;
R ha——单桩水平承载力特征值;
R h——基桩水平承载力特征值;
T gk——群桩呈整体破坏时基桩抗拔极限承载力标准值;
T uk——群桩呈非整体破坏时基桩抗拔极限承载力标准值;
γ、 γ e——土的重度、有效重度。
2.2.3 几何参数
Ap——桩端面积;
Aps——桩身截面面积;
Ac——计算基桩所对应的承台底净面积;
Bc——承台宽度;
d——桩身设计直径;
D——桩端扩底设计直径;
l——桩身长度;
Lc——承台长度;
sa——基桩中心距;
u——桩身周长;
zn——桩基沉降计算深度(从桩端平面算起)。
2.2.4 计算系数
αE——钢筋弹性模量与混凝土弹性模量的比值;
ηc——承台效应系数;
ηf——冻胀影响系数;
ζ——桩嵌岩段侧阻和端阻综合系数;
ψsi、ψp——大直径桩侧阻力、端阻力尺寸效应系数;
λp——桩端土塞效应系数;
λ——基桩抗拔系数;
ψ——桩基沉降计算经验系数;
ψc——成桩工艺系数;
ψe——桩基等效沉降系数;
α、α——Boussinesq解的附加应力系数、平均附加应力系数。
3 基本设计规定
3.1 一般规定
3.1.1 桩基础应按下列两类极限状态设计:
1 承载能力极限状态:桩基达到最大承载能力、整体失稳或发生不适于继续承载的变形;
2 正常使用极限状态:桩基达到建筑物正常使用所规定的变形限值或达到耐久性要求的某项限值。
3.1.2 根据建筑规模、功能特征、对差异变形的适应性、场地地基和建筑物体形的复杂性以及由于桩基问题可能造成建筑破坏或影响正常使用的程度,应将桩基设计分为表3.1.2所列的三个设计等级。桩基设计时,应根据表3.1.2确定设计等级。
表3.1.2 建筑桩基设计等级
|
设计等级 |
建筑类型 |
|
甲级 |
(1)重要的建筑 (2)30层以上或高度超过100m的高层建筑 (3)体型复杂且层数相差超过10层的高低层(含纯地下室)连体建筑 (4)20层以上框架-核心筒结构及其他对差异沉降有特殊要求的建筑 (5)场地和地基条件复杂的7层以上的一般建筑及坡地、岸边建筑 (6)对相邻既有工程影响较大的建筑 |
|
乙级 |
除甲级、丙级以外的建筑 |
|
丙级 |
场地和地基条件简单、荷载分布均匀的7层及7层以下的一般建筑 |
3.1.3 桩基应根据具体条件分别进行下列承载能力计算和稳定性验算:
1 应根据桩基的使用功能和受力特征分别进行桩基的竖向承载力计算和水平承载力计算;
2 应对桩身和承台结构承载力进行计算;对于桩侧土不排水抗剪强度小于10kPa且长径比大于50的桩,应进行桩身压屈验算;对于混凝土预制桩,应按吊装、运输和锤击作用进行桩身承载力验算;对于钢管桩,应进行局部压屈验算;
3 当桩端平面以下存在软弱下卧层时,应进行软弱下卧层承载力验算;
4 对位于坡地、岸边的桩基,应进行整体稳定性验算;
5 对于抗浮,抗拔桩基,应进行基桩和群桩的抗拔承载力计算;
6 对于抗震设防区的桩基,应进行抗震承载力验算。
3.1.4 下列建筑桩基应进行沉降计算:
1 设计等级为甲级的非嵌岩桩和非深厚坚硬持力层的建筑桩基;
2 设计等级为乙级的体形复杂、荷载分布显著不均匀或桩端平面以下存在软弱土层的建筑桩基;
3 软土地基多层建筑减沉复合疏桩基础。
3.1.5 对受水平荷载较大,或对水平位移有严格限制的建筑桩基,应计算其水平位移。
3.1.6 应根据桩基所处的环境类别和相应的裂缝控制等级,验算桩和承台正截面的抗裂和裂缝宽度。
3.1.7 桩基设计时,所采用的作用效应组合与相应的抗力应符合下列规定:
1 确定桩数和布桩时,应采用传至承台底面的荷载效应标准组合;相应的抗力应采用基桩或复合基桩承载力特征值。
2 计算荷载作用下的桩基沉降和水平位移时,应采用荷载效应准永久组合;计算水平地震作用、风载作用下的桩基水平位移时,应采用水平地震作用、风载效应标准组合。
3 验算坡地、岸边建筑桩基的整体稳定性时,应采用荷载效应标准组合;抗震设防区,应采用地震作用效应和荷载效应的标准组合。
4 在计算桩基结构承载力、确定尺寸和配筋时,应采用传至承台顶面的荷载效应基本组合。当进行承台和桩身裂缝控制验算时,应分别采用荷载效应标准组合和荷载效应准永久组合。
5 桩基结构安全等级、结构设计使用年限和结构重要性系数 γ 0应按现行有关建筑结构规范的规定采用,除临时性建筑外,重要性系数 γ 0应不小于1.0。
6 对桩基结构进行抗震验算时,其承载力调整系数 γ RE应按现行国家标准《建筑抗震设计规范》GB 50011的规定采用。
3.1.8 以减小差异沉降和承台内力为目标的变刚度调平设计,宜结合具体条件按下列规定实施:
1 对于主裙楼连体建筑,当高层主体采用桩基时,裙房(含纯地下室)的地基或桩基刚度宜相对弱化,可采用天然地基、复合地基、疏桩或短桩基础。
2 对于框架-核心筒结构高层建筑桩基,应强化核心筒区域桩基刚度(如适当增加桩长、桩径、桩数、采用后注浆等措施),相对弱化核心筒外围桩基刚度(采用复合桩基,视地层条件减小桩长)。
3 对于框架-核心筒结构高层建筑天然地基承载力满足要求的情况下,宜于核心筒区域局部设置增强刚度、减小沉降的摩擦型桩。
4 对于大体量筒仓、储罐的摩擦型桩基,宜按内强外弱原则布桩。
5 对上述按变刚度调平设计的桩基,宜进行上部结构-承台-桩-土共同工作分析。
3.1.9 软土地基上的多层建筑物,当天然地基承载力基本满足要求时,可采用减沉复合疏桩基础。
3.1.10 对于本规范第3.1.4条规定应进行沉降计算的建筑桩基,在其施工过程及建成后使用期间,应进行系统的沉降观测直至沉降稳定。
3.2 基本资料
3.2.1 桩基设计应具备以下资料:
1 岩土工程勘察文件:
1) 桩基按两类极限状态进行设计所需用岩土物理力学参数及原位测试参数;
2) 对建筑场地的不良地质作用,如滑坡、崩塌、泥石流、岩溶、土洞等,有明确判断、结论和防治方案;
3) 地下水位埋藏情况、类型和水位变化幅度及抗浮设计水位,土、水的腐蚀性评价,地下水浮力计算的设计水位;
4) 抗震设防区按设防烈度提供的液化土层资料;
5) 有关地基土冻胀性、湿陷性、膨胀性评价。
2 建筑场地与环境条件的有关资料:
1) 建筑场地现状,包括交通设施、高压架空线、地下管线和地下构筑物的分布;
2) 相邻建筑物安全等级、基础形式及埋置深度;
3) 附近类似工程地质条件场地的桩基工程试桩资料和单桩承载力设计参数;
4) 周围建筑物的防振、防噪声的要求;
5) 泥浆排放、弃土条件;
6) 建筑物所在地区的抗震设防烈度和建筑场地类别。
3 建筑物的有关资料:
1) 建筑物的总平面布置图;
2) 建筑物的结构类型、荷载,建筑物的使用条件和设备对基础竖向及水平位移的要求;
3) 建筑结构的安全等级。
4 施工条件的有关资料;
1) 施工机械设备条件,制桩条件,动力条件,施工工艺对地质条件的适应性;
2) 水、电及有关建筑材料的供应条件;
3) 施工机械的进出场及现场运行条件。
5 供设计比较用的有关桩型及实施的可行性的资料。
3.2.2 桩基的详细勘察除应满足现行国家标准《岩土工程勘察规范》GB 50021的有关要求外,尚应满足下列要求:
1 勘探点间距:
1) 对于端承型桩(含嵌岩桩):主要根据桩端持力层顶面坡度决定,宜为12~24m。当相邻两个勘察点揭露出的桩端持力层层面坡度大于10%或持力层起伏较大、地层分布复杂时,应根据具体工程条件适当加密勘探点。
2) 对于摩擦型桩:宜按20~35m布置勘探孔,但遇到土层的性质或状态在水平方向分布变化较大,或存在可能影响成桩的土层时,应适当加密勘探点。
3) 复杂地质条件下的柱下单桩基础应按柱列线布置勘探点,并宜每桩设一勘探点。
2 勘探深度:
1) 宜布置1/3~1/2的勘探孔为控制性孔。对于设计等级为甲级的建筑桩基,至少应布置3个控制性孔;设计等级为乙级的建筑桩基,至少应布置2个控制性孔。控制性孔应穿透桩端平面以下压缩层厚度;一般性勘探孔应深入预计桩端平面以下3~5倍桩身设计直径,且不得小于3m;对于大直径桩,不得小于5m。
2) 嵌岩桩的控制性钻孔应深入预计桩端平面以下不小于3~5倍桩身设计直径,一般性钻孔应深入预计桩端平面以下不小于1~3倍桩身设计直径。当持力层较薄时,应有部分钻孔钻穿持力岩层。在岩溶、断层破碎带地区,应查明溶洞、溶沟、溶槽、石笋等的分布情况,钻孔应钻穿溶洞或断层破碎带进入稳定土层,进入深度应满足上述控制性钻孔和一般性钻孔的要求。
3 在勘探深度范围内的每一地层,均应采取不扰动试样进行室内试验或根据土质情况选用有效的原位测试方法进行原位测试,提供设计所需参数。
3.3 桩的选型与布置
3.3.1 基桩可按下列规定分类:
1 按承载性状分类:
1) 摩擦型桩;
摩擦桩:在承载能力极限状态下,桩顶竖向荷载由桩侧阻力承受,桩端阻力小到可忽略不计;
端承摩擦桩:在承载能力极限状态下,桩顶竖向荷载主要由桩侧阻力承受。
2) 端承型桩:
端承桩:在承载能力极限状态下,桩顶竖向荷载由桩端阻力承受,桩侧阻力小到可忽略不计;
摩擦端承桩:在承载能力极限状态下,桩顶竖向荷载主要由桩端阻力承受。
2 按成桩方法分类:
1) 非挤土桩:干作业法钻(挖)孔灌注桩、泥浆护壁法钻(挖)孔灌注桩,套管护壁法钻(挖)孔灌注桩;
2) 部分挤土桩:冲孔灌注桩、钻孔挤扩灌注桩、搅拌劲芯桩、预钻孔打入(静压)预制桩、打入(静压)式敞口钢管桩、敞口预应力混凝土空心桩和H型钢桩;
3) 挤土桩:沉管灌注桩、沉管夯(挤)扩灌注桩、打入(静压)预制桩、闭口预应力混凝土空心桩和闭口钢管桩。
3 按桩径(设计直径d)大小分类:
1) 小直径桩:d≤250mm;
2) 中等直径桩:250mm<d<800mm;
3) 大直径桩:d≥800mm。
3.3.2 桩型与成桩工艺应根据建筑结构类型、荷载性质、桩的使用功能,穿越土层、桩端持力层、地下水位、施工设备、施工环境、施工经验、制桩材料供应条件等,按安全适用、经济合理的原则选择。选择时可按本规范附录A进行。
1 对于框架-核心筒等荷载分布很不均匀的桩筏基础,宜选择基桩尺寸和承载力可调性较大的桩型和工艺。
2 挤土沉管灌注桩用于淤泥和淤泥质土层时,应局限于多层住宅桩基。
3 抗震设防烈度为8度及以上地区,不宜采用预应力混凝土管桩(PC)和预应力混凝土空心方桩(PS)。
3.3.3 基桩的布置应符合下列条件:
1 基桩的最小中心距应符合表3.3.3的规定;当施工中采取减小挤土效应的可靠措施时,可根据当地经验适当减小。
表3.3.3 基础桩的最小中心距
|
土类与成桩工艺 |
排数不少于3排且桩数不少于9根的摩擦型桩桩基 |
其他情况 |
|
|
非挤土灌注桩 |
3.0d |
3.0d |
|
|
部分挤土桩 |
非饱和土,饱和非黏性土 |
3.5d |
3.0d |
|
饱和黏性土 |
4.0d |
3.5d |
|
|
挤土桩 |
非饱和土,饱和非黏性土 |
4.0d |
3.5d |
|
饱和黏性土 |
4.5d |
4.0d |
|
|
钻、挖孔扩底桩 |
2D或D+2.0m(当D>2m) |
1.5 D或D+1.5m(当D>2m) |
|
|
沉管夯扩、钻孔挤扩桩 |
非饱和土,饱和非黏性土 |
2.2D且4.0d |
2.0D且3.5d |
|
饱和黏性土 |
2.5D且4.5d |
2.2D且4.0d |
|
注:(1 ) d —圆桩直径或方桩边长,D—扩大端设计直径。
(2) 当纵横向桩距不相等时,其最小中心距应满足“其他情况”一栏的规定。
(3) 当为端承型桩时,非挤土灌注桩的“其他情况”一栏可减小至2.5d。
2 排列基桩时,宜使桩群承载力合力点与竖向永久荷载合力作用点重合,并使基桩受水平力和力矩较大方向有较大抗弯截面模量。
3 对于桩箱基础、剪力墙结构桩筏(含平板和梁板式承台)基础,宜将桩布置于墙下。
4 对于框架-核心筒结构桩筏基础应按荷载分布考虑相互影响,将桩相对集中布置于核心筒和柱下;外围框架柱宜采用复合桩基,有合适桩端持力层时,桩长宜减小。
5 应选择较硬土层作为桩端持力层。桩端全断面进入持力层的深度,对于黏性土、粉土不宜小于2d,砂土不宜小于1.5d,碎石类土不宜小于1d。当存在软弱下卧层时,桩端以下硬持力层厚度不宜小于3d。
6 对于嵌岩桩,嵌岩深度应综合荷载、上覆土层、基岩、桩径、桩长诸因素确定;对于嵌入倾斜的完整和较完整岩的全断面深度不宜小于0.4d且不小于0.5m,倾斜度大于30%的中风化岩,宜根据倾斜度及岩石完整性适当加大嵌岩深度;对于嵌入平整、完整的坚硬岩和较硬岩的深度不宜小于0.2d,且不应小于0.2m。
3.4 特殊条件下的桩基
3.4.1 软土地基的桩基设计原则应符合下列规定:
1 软土中的桩基宜选择中、低压缩性土层作为桩端持力层;
2 桩周围软土因自重固结、场地填土、地面大面积堆载、降低地下水位、大面积挤土沉桩等原因而产生的沉降大于基桩的沉降时,应视具体工程情况分析计算桩侧负摩阻力对基桩的影响;
3 采用挤土桩和部分挤土桩时,应采取消减孔隙水压力和挤土效应的技术措施,并应控制沉桩速率,减小挤土效应对成桩质量、邻近建筑物、道路、地下管线和基坑边坡等产生的不利影响;
4 先成桩后开挖基坑时,必须合理安排基坑挖土顺序和控制分层开挖的深度,防止土体侧移对桩的影响。
3.4.2 湿陷性黄土地区的桩基设计原则应符合下列规定:
1 基桩应穿透湿陷性黄土层,桩端应支承在压缩性低的黏性土、粉土、中密和密实砂土以及碎石类土层中;
2 湿陷性黄土地基中,设计等级为甲、乙级建筑桩基的单桩极限承载力,宜以浸水载荷试验为主要依据;
3 自重湿陷性黄土地基中的单桩极限承载力,应根据工程具体情况分析计算桩侧负摩阻力的影响。
3.4.3 季节性冻土和膨胀土地基中的桩基设计原则应符合下列规定:
1 桩端进入冻深线或膨胀土的大气影响急剧层以下的深度,应满足抗拔稳定性验算要求,且不得小于4倍桩径及1倍扩大端直径,最小深度应大于1.5m;
2 为减小和消除冻胀或膨胀对桩基的作用,宜采用钻(挖)孔灌注桩;
3 确定基桩竖向极限承载力时,除不计入冻胀、膨胀深度范围内桩侧阻力外,还应考虑地基土的冻胀、膨胀作用,验算桩基的抗拔稳定性和桩身受拉承载力;
4 为消除桩基受冻胀或膨胀作用的危害,可在冻胀或膨胀深度范围内,沿桩周及承台作隔冻、隔胀处理。
3.4.4 岩溶地区的桩基设计原则应符合下列规定:
1 岩溶地区的桩基,宜采用钻、冲孔桩;
2 当单桩荷载较大,岩层埋深较浅时,宜采用嵌岩桩;
3 当基岩面起伏很大且埋深较大时,宜采用摩擦型灌注桩。
3.4.5 坡地、岸边桩基的设计原则应符合下列规定:
1 对建于坡地、岸边的桩基,不得将桩支承于边坡潜在的滑动体上。桩端进入潜在滑裂面以下稳定岩土层内的深度,应能保证桩基的稳定;
2 建筑桩基与边坡应保持一定的水平距离;建筑场地内的边坡必须是完全稳定的边坡,当有崩塌、滑坡等不良地质现象存在时,应按现行国家标准《建筑边坡工程技术规范》GB 50330的规定进行整治,确保其稳定性;
3 新建坡地、岸边建筑桩基工程应与建筑边坡工程统一规划,同步设计,合理确定施工顺序;
4 不宜采用挤土桩;
5 应验算最不利荷载效应组合下桩基的整体稳定性和基桩水平承载力。
3.4.6 抗震设防区桩基的设计原则应符合下列规定:
1 桩进入液化土层以下稳定土层的长度(不包括桩尖部分)应按计算确定;对于碎石土,砾、粗、中砂,密实粉土,坚硬黏性土尚不应小于(2~3)d,对其他非岩石土尚不宜小于(4~5)d;
2 承台和地下室侧墙周围应采用灰土、级配砂石、压实性较好的素土回填,并分层夯实,也可采用素混凝土回填或搅拌流动性水泥土回填;
3 当承台周围为可液化土或地基承载力特征值小于40kPa(或不排水抗剪强度小于15kPa)的软土,且桩基水平承载力不满足计算要求时,可将承台外每侧1/2承台边长范围内的土进行加固;
4 对于存在液化扩展的地段,应验算桩基在土流动的侧向作用力下的稳定性。
3.4.7 可能出现负摩阻力的桩基设计原则应符合下列规定:
1 对于填土建筑场地,宜先填土并保证填土的密实性,软土场地填土前应采取预设塑料排水板等措施,待填土地基沉降基本稳定后方可成桩;
2 对于有地面大面积堆载的建筑物,应采取减小地面沉降对建筑物桩基影响的措施;
3 对于自重湿陷性黄土地基,可采用强夯、挤密土桩等先行处理,消除上部或全部土的自重湿陷:对于欠固结土宜采取先期排水预压等措施;
4 对于挤土沉桩,应采取消减超孔隙水压力、控制沉桩速率等措施;
5 对于中性点以上的桩身可对表面进行处理,以减少负摩阻力。
3.4.8 抗拔桩基的设计原则应符合下列规定:
1 应根据环境类别及水、土对钢筋的腐蚀、钢筋种类对腐蚀的敏感性和荷载作用时间等因素确定抗拔桩的裂缝控制等级;
2 对于严格要求不出现裂缝的一级裂缝控制等级,桩身应设置预应力筋;对于一般要求不出现裂缝的二级裂缝控制等级,桩身宜设置预应力筋;
3 对于三级裂缝控制等级,应进行桩身裂缝宽度计算;
4 当基桩抗拔承载力要求较高时,可采用桩侧后注浆、扩底等技术措施。
3.5 耐久性规定
3.5.1 桩基结构的耐久性应根据设计使用年限、现行国家标准《混凝土结构设计规范》GB 50010的环境类别规定以及水、土对钢、混凝土腐蚀性的评价进行设计。
3.5.2 二类和三类环境中,设计使用年限为50年的桩基结构混凝土耐久性应符合表3.5.2的规定。
表3.5.2 二类和三类环境桩基结构混凝土耐久性的基本要求
|
环境类别 |
最大水灰比 |
最小水泥用量(kg/m3) |
最低混凝土强度等级 |
最大氯离子含量(%) |
最大碱含量(kg/m3) |
|
|
二 |
a |
0.60 |
250 |
C25 |
0.3 |
3.0 |
|
b |
0.55 |
275 |
C30 |
0.2 |
3.0 |
|
|
三 |
0.50 |
300 |
C30 |
0.1 |
3.0 |
|
注:1 氯离子含量系指其与水泥用量的百分率;
2 预应力构件混凝土中最大氯离子含量为0.06%,最小水泥用量为300kg/m3;最低混凝土强度等级应按表中规定提高两个等级;
3 当混凝土中加入活性掺合料或能提高耐久性的外加剂时,可适当降低最小水量;
4 当使用非碱活性骨料时,对混凝土中碱含量不作限制;
5 当有可靠工程经验时,表中最低混凝土强度等级可降低一个等级。
3.5.3 桩身裂缝控制等级及最大裂缝宽度应根据环境类别和水土介质腐蚀性等级按表3.5.3规定选用。
表3.5.3 桩身的裂缝控制等级及最大裂缝宽度限值
|
环境类别 |
钢筋混凝土桩 |
预应力混凝土桩 |
|||
|
裂缝控制等级 |
wlim(mm) |
裂缝控制等级 |
wlim(mm) |
||
|
二 |
a |
三 |
0.2(0.3) |
二 |
0 |
|
b |
三 |
0.2 |
二 |
0 |
|
|
三 |
三 |
0.2 |
一 |
0 |
|
注:1 水、土为强、中腐蚀性时,抗拔桩裂缝控制等级应提高一级;
2 二a类环境中,位于稳定地下水位以下的基桩,其最大裂缝宽度限值可采用括弧中的数值。
3.5.4 四类、五类环境桩基结构耐久性设计可按国家现行标准《港口工程混凝土结构设计规范》JTJ 267和《工业建筑防腐蚀设计规范》GB 50046等执行。
3.5.5 对三、四、五类环境桩基结构,受力钢筋宜采用环氧树脂涂层带肋钢筋。
4 桩基构造
4.1 桩基构造
4.1.1 灌注桩应按下列规定配筋:
1 配筋率:当桩身直径为300~2000mm时,正截面配筋率可取0.65%~0.2%(小直径桩取高值);对受荷载特别大的桩、抗拔桩和嵌岩端承桩应根据计算确定配筋率,并不应小于上述规定值;
2 配筋长度:
1) 端承型桩和位于坡地、岸边的基桩应沿桩身等截面或变截面通长配筋;
2) 摩擦型灌注桩配筋长度不应小于2/3桩长;当受水平荷载时,配筋长度尚不宜小于4.0/α(α为桩的水平变形系数);
3) 对于受地震作用的基桩,桩身配筋长度应穿过可液化土层和软弱土层,进入稳定土层的深度不应小于本规范第3.4.6条的规定;
4) 受负摩阻力的桩、因先成桩后开挖基坑而随地基土回弹的桩,其配筋长度应穿过软弱土层并进入稳定土层,进入的深度不应小于(2~3)d;
5) 抗拔桩及因地震作用、冻胀或膨胀力作用而受拔力的桩,应等截面或变截面通长配筋。
3 对于受水平荷载的桩,主筋不应小于8ф12;对于抗压桩和抗拔桩,主筋不应少于6ф10;纵向主筋应沿桩身周边均匀布置,其净距不应小于60mm;
4 箍筋应采用螺旋式,直径不应小于6mm,间距宜为200~300mm;受水平荷载较大的桩基、承受水平地震作用的桩基以及考虑主筋作用计算桩身受压承载力时,桩顶以下5d范围内的箍筋应加密,间距不应大于100mm;当桩身位于液化土层范围内时箍筋应加密;当考虑箍筋受力作用时,箍筋配置应符合现行国家标准《混凝土结构设计规范》GB 50010的有关规定;当钢筋笼长度超过4m时,应每隔2m设一道直径不小于12mm的焊接加劲箍筋。
4.1.2 桩身混凝土及混凝土保护层厚度应符合下列要求:
1 桩身混凝土强度等级不得小于C25,混凝土预制桩尖强度等级不得小于C30;
2 灌注桩主筋的混凝土保护层厚度不应小于35mm,水下灌注桩的主筋混凝土保护层厚度不得小于50mm;
3 四类、五类环境中桩身混凝土保护层厚度应符合国家现行标准《港口工程混凝土结构设计规范》JTJ 267、《工业建筑防腐蚀设计规范》GB 50046的相关规定。
4.1.3 扩底灌注桩扩底端尺寸应符合下列规定(见图4.1.3):
1 对于持力层承载力较高、上覆土层较差的抗压桩和桩端以上有一定厚度较好土层的抗拔桩,可采用扩底;扩底端直径与桩身直径之比D/d,应根据承载力要求及扩底端侧面和桩端持力层土性特征以及扩底施工方法确定,挖孔桩的D/d不应大于3,钻孔桩的D/d不应大于2.5;
2 扩底端侧面的斜率应根据实际成孔及土体自立条件确定,a/hc可取1/4~1/2,砂土可取1/4,粉土、黏性土可取1/3~1/2;
3 抗压桩扩底端底面宜呈锅底形,矢高hb可取(0.15~0.20)D。

4.1.4 混凝土预制桩的截面边长不应小于200mm;预应力混凝土预制实心桩的截面边长不宜小于350mm。
4.1.5 预制桩的混凝土强度等级不宜低于C30;预应力混凝土实心桩的混凝土强度等级不应低于C40;预制桩纵向钢筋的混凝土保护层厚度不宜小于30mm。
4.1.6 预制桩的桩身配筋应按吊运、打桩及桩在使用中的受力等条件计算确定。采用锤击法沉桩时,预制桩的最小配筋率不宜小于0.8%。静压法沉桩时,最小配筋率不宜小于0.6%,主筋直径不宜小于14mm,打入桩桩顶以下(4~5)d长度范围内箍筋应加密,并设置钢筋网片。
4.1.7 预制桩的分节长度应根据施工条件及运输条件确定;每根桩的接头数量不宜超过3个。
4.1.8 预制桩的桩尖可将主筋合拢焊在桩尖辅助钢筋上,对于持力层为密实砂和碎石类土时,宜在桩尖处包以钢钣桩靴,加强桩尖。
4.1.9 预应力混凝土空心桩按截面形式可分为管桩、空心方桩;按混凝土强度等级可分为预应力高强混凝土管桩(PHC)和空心方桩(PHS)、预应力混凝土管桩(PC)和空心方桩(PS)。
离心成型的先张法预应力混凝土桩的截面尺寸、配筋、桩身极限弯矩、桩身竖向受压承载力设计值等参数可按本规范附录B确定。
4.1.10 预应力混凝土空心桩桩尖形式宜根据地层性质选择闭口形或敞口形;闭口形分为平底十字形和锥形。
4.1.11 预应力混凝土空心桩质量要求,尚应符合国家现行标准《先张法预应力混凝土管桩》GB 13476和《预应力混凝土空心方桩》JG 197及其他的有关标准规定。
4.1.12 预应力混凝土桩的连接可采用端板焊接连接、法兰连接、机械啮合连接、螺纹连接。每根桩的接头数量不宜超过3个。
4.1.13 桩端嵌入遇水易软化的强风化岩、全风化岩和非饱和土的预应力混凝土空心桩,沉桩后,应对桩端以上约2m范围内采取有效的防渗措施,可采用微膨胀混凝土填芯或在内壁预涂柔性防水材料。
4.1.14 钢桩可采用管型、H型或其他异型钢材。
4.1.15 钢桩的分段长度宜为12~15m。
4.1.16 钢桩焊接接头应采用等强度连接。
4.1.17 钢桩的端部形式,应根据桩所穿越的土层、桩端持力层性质、桩的尺寸、挤土效应等因素综合考虑确定,并可按下列规定采用:
1 钢管桩可采用下列桩端形式:
1) 敞口:
带加强箍(带内隔板、不带内隔板);不带加强箍(带内隔板、不带内隔板)。
2) 闭口:
平底;锥底。
2 H型钢桩可采用下列桩端形式:
1) 带端板;
2) 不带端板:
锥底;
平底(带扩大翼、不带扩大翼)。
4.1.18 钢桩的防腐处理应符合下列规定:
1 钢桩的腐蚀速率当无实测资料时可按表4.1.18确定;
2 钢桩防腐处理可采用外表面涂防腐层、增加腐蚀余量及阴极保护;当钢管桩内壁同外界隔绝时,可不考虑内壁防腐。
表4.1.18 钢桩年腐蚀速率
|
钢桩所处环境 |
单面腐蚀率(mm/y) |
|
|
地面以上 |
无腐蚀性气体或腐蚀性挥发介质 |
0.05~0.1 |
|
地面以下 |
水位以上 |
0.05 |
|
水位以下 |
0.03 |
|
|
水位波动区 |
0.1~0.3 |
|
4.2 承台构造
4.2.1 桩基承台的构造,除应满足抗冲切、抗剪切、抗弯承载力和上部结构要求外,尚应符合下列要求:
1 柱下独立桩基承台的最小宽度不应小于500mm,边桩中心至承台边缘的距离不应小于桩的直径或边长,且桩的外边缘至承台边缘的距离不应小于150mm。对于墙下条形承台梁,桩的外边缘至承台梁边缘的距离不应小于75mm。承台的最小厚度不应小于300mm。
2 高层建筑平板式和梁板式筏形承台的最小厚度不应小于400mm,多层建筑墙下布桩的剪力墙结构筏形承台的最小厚度不应小于200mm。
3 高层建筑箱形承台的构造应符合《高层建筑筏形与箱形基础技术规范》JGJ 6的规定。
4.2.2 承台混凝土材料及其强度等级应符合结构混凝土耐久性的要求和抗渗要求。
4.2.3 承台的钢筋配置应符合下列规定:
1 柱下独立桩基承台钢筋应通长配置[见图4.2.3(a)],对四桩以上(含四桩)承台宜按双向均匀布置,对三桩的三角形承台应按三向板带均匀布置,且最里面的三根钢筋围成的三角形应在柱截面范围内[见图4.2.3(b)]。钢筋锚固长度自边桩内侧(当为圆桩时,应将其直径乘以0.8等效为方桩)算起,不应小于35dg(dg为钢筋直径);当不满足时应将钢筋向上弯折,此时水平段的长度不应小于25dg,弯折段长度不应小于10dg。承台纵向受力钢筋的直径不应小于12mm,间距不应大于200mm。柱下独立桩基承台的最小配筋率不应小于0.15%。
2 柱下独立两桩承台,应按现行国家标准《混凝土结构设计规范》GB 50010中的深受弯构件配置纵向受拉钢筋、水平及竖向分布钢筋。承台纵向受力钢筋端部的锚固长度及构造应与柱下多桩承台的规定相同。

3 条形承台梁的纵向主筋应符合现行国家标准《混凝土结构设计规范》GB 50010关于最小配筋率的规定,主筋直径不应小于12mm,架立筋直径不应小于10mm,箍筋直径不应小于6mm[见图4.2.3(c)]。承台梁端部纵向受力钢筋的锚固长度及构造应与柱下多桩承台的规定相同。
4 筏形承台板或箱形承台板在计算中当仅考虑局部弯矩作用时,考虑到整体弯曲的影响,在纵横两个方向的下层钢筋配筋率不宜小于0.15%;上层钢筋应按计算配筋率全部连通。当筏板的厚度大于2000mm时,宜在板厚中间部位设置直径不小于12mm、间距不大于300mm的双向钢筋网。
5 承台底面钢筋的混凝土保护层厚度,当有混凝土垫层时,不应小于50mm,无垫层时不应小于70mm;此外尚不应小于桩头嵌入承台内的长度。
4.2.4 桩与承台的连接构造应符合下列规定:
1 桩嵌入承台内的长度对中等直径桩不宜小于50mm;对大直径桩不宜小于100mm。
2 混凝土桩的桩顶纵向主筋应锚入承台内,其锚入长度不宜小于35倍纵向主筋直径。对于抗拔桩,桩顶纵向主筋的锚固长度应按现行国家标准《混凝土结构设计规范》GB 50010确定。
3 对于大直径灌注桩,当采用一柱一桩时可设置承台或将桩与柱直接连接。
4.2.5 柱与承台的连接构造应符合下列规定:
1 对于一柱一桩基础,柱与桩直接连接时,柱纵向主筋锚入桩身内长度不应小于35倍纵向主筋直径。
2 对于多桩承台,柱纵向主筋应锚入承台不小于35倍纵向主筋直径;当承台高度不满足锚固要求时,竖向锚固长度不应小于20倍纵向主筋直径,并向柱轴线方向呈90°弯折。
3 当有抗震设防要求时,对于一、二级抗震等级的柱,纵向主筋锚固长度应乘以1.15的系数;对于三级抗震等级的柱,纵向主筋锚固长度应乘以1.05的系数。
4.2.6 承台与承台之间的连接构造应符合下列规定:
1 一柱一桩时,应在桩顶两个主轴方向上设置连系梁。当桩与柱的截面直径之比大于2时,可不设连系梁。
2 两桩桩基的承台,应在其短向设置连系梁。
3 有抗震设防要求的柱下桩基承台,宜沿两个主轴方向设置连系梁。
4 连系梁顶面宜与承台顶面位于同一标高。连系梁宽度不宜小于250mm,其高度可取承台中心距的1/10~1/15,且不宜小于400mm。
5 连系梁配筋应按计算确定,梁上下部配筋不宜小于2根直径12mm钢筋;位于同一轴线上的相邻跨连系梁纵筋应连通。
4.2.7 承台和地下室外墙与基坑侧壁间隙应灌注素混凝土或搅拌流动性水泥土,或采用灰土、级配砂石、压实性较好的素土分层夯实,其压实系数不宜小于0.94。
5 桩基计算
5.1 桩顶作用效应计算
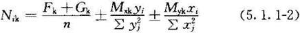
5.1.1 对于一般建筑物和受水平力(包括力矩与水平剪力)较小的高层建筑群桩基础,应按下列公式计算柱、墙、核心筒群桩中基桩或复合基桩的桩顶作用效应:
1 竖向力
轴心竖向力作用下

偏心竖向力作用下

2 水平力

式中:Fk——荷载效应标准组合下,作用于承台顶面的竖向力;
Gk——桩基承台和承台上土自重标准值,对稳定的地下水位以下部分应扣除水的浮力;
Nk——荷载效应标准组合轴心竖向力作用下,基桩或合基桩的平均竖向力;
Nik——荷载效应标准组合偏心竖向力作用下,第i基桩或复合基桩的竖向力;
Mxk、Myk——荷载效应标准组合下,作用于承台底面,绕通过桩群形心的x、y主轴的力矩;
xi、xj、yi、yj——第i、j基桩或复合基桩至x、y轴的距离;
Hk——荷载效应标准组合下,作用于桩基承台底面的水平力;
Hik——荷载效应标准组合下,作用于第i基桩或复合基桩的水平力;
n——桩基中的桩数。
5.1.2 对于主要承受竖向荷载的抗震设防区低承台桩基,在同时满足下列条件时,桩顶作用效应计算可不考虑地震作用;
1 按现行国家标准《建筑抗震设计规范》GB 50011规定可不进行桩基抗震承载力验算的建筑物;
2 建筑场地位于建筑抗震的有利地段。
5.1.3 属于下列情况之一的桩基,计算各基桩的作用效应、桩身内力和位移时,宜考虑承台(包括地下墙体)与基桩协同工作和土的弹性抗力作用,其计算方法可按本规范附录C进行:
1 位于8度和8度以上抗震设防区的建筑,当其桩基承台刚度较大或由于上部结构与承台协同作用能增强承台的刚度时;
2 其他受较大水平力的桩基。
5.2 桩基竖向承载力计算
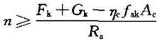
5.2.1 桩基竖向承载力计算应符合下列要求:
1 荷载效应标准组合:
轴心竖向力作用下

偏心竖向力作用下除满足上式外,尚应满足下式的要求:

2 地震作用效应和荷载效应标准组合:
轴心竖向力作用下:

偏心竖向力作用下,除满足上式外,尚应满足下式的要求:

式中 Nk——荷载效应标准组合轴心竖向力作用下,基桩或复合基桩的平均竖向力;
Nkmax——荷载效应标准组合偏心竖向力作用下,桩顶最大竖向力;
NEk——地震作用效应和荷载效应标准组合下,基桩或复合基桩的平均竖向力;
NEkmax——地震作用效应和荷载效应标准组合下,基桩或复合基桩的最大竖向力;
R——基桩或复合基桩竖向承载力特征值。
5.2.2 单桩竖向承载力特征值Ra应按下式确定:

式中 Quk——单桩竖向极限承载力标准值;
K——安全系数,取K=2。
5.2.3 对于端承型桩基、桩数少于4根的摩擦型柱下独立桩基、或由于地层土性、使用条件等因素不宜考虑承台效应时,基桩竖向承载力特征值应取单桩竖向承载力特征值。
5.2.4 对于符合下列条件之一的摩擦型桩基,宜考虑承台效应确定其复合基桩的竖向承载力特征值:
1 上部结构整体刚度较好、体型简单的建(构)筑物;
2 对差异沉降适应性较强的排架结构和柔性构筑物;
3 按变刚度调平原则设计的桩基刚度相对弱化区;
4 软土地基的减沉复合疏桩基础。
5.2.5 考虑承台效应的复合基桩竖向承载力特征值可按下列公式确定:
不考虑地震作用时

[5.2.5-1]
考虑地震作用时


式中 ηc——承台效应系数,可按表5.2.5取值;
fak——承台下1/2承台宽度且不超过5m深度范围内各层土的地基承载力特征值按厚度加权的平均值;
Ac——计算基桩所对应的承台底净面积;
Aps——为桩身截面面积;
A——为承台计算域面积。对于柱下独立基础,A为承台总面积;对于桩筏基础,A为柱、墙筏板的1/2跨距和悬臂 边2.5倍板厚度所围成的面积;桩集中布置于单片墙下的桩筏基础,取墙两边各1/2跨距围成的面积,按条形承台计算ηc;
ζa——地基抗震承载力调整系数,应按现行国家 标准《建筑抗震设计规范》GB 50011采用。
当承台底为可液化土、湿陷性土、高灵敏度软土、欠固结土、新填土时,沉桩引起超孔隙水压力和土体隆起时,不考虑承台效应,取ηc=0。
5.3 单桩竖向极限承载力
5.3.1 设计采用的单桩竖向极限承载力标准值应符合下列规定;
1 设计等级为甲级的建筑桩基,应通过单桩静载试验确定;
2 设计等级为乙级的建筑桩基,当地质条件简单时,可参照地质条件相同的试桩资料,结合静力触探等原位测试和经验参数综合确定;其余均应通过单桩静载试验确定;
3 设计等级为丙级的建筑桩基,可根据原位测试和经验参数确定。
5.3.2 单桩竖向极限承载力标准值、极限侧阻力标准值和极限端阻力标准值应按下列规定确定;
1 单桩竖向静载试验应按现行行业标准《建筑基桩检测技术规范》JGJ 106执行;
2 对于大直径端承型桩,也可通过深层平板(平板直径应与孔径一致)载荷试验确定极限端阻力;
3 对于嵌岩桩,可通过直径为0.3m岩基平板载荷试验确定极限端阻力标准值,也可通过直径为0.3m嵌岩短墩载荷试验确定极限侧阻力标准值和极限端阻力标准值;
4 桩的极限侧阻力标准值和极限端阻力标准值宜通过埋设桩身轴力测试元件由静载试验确定。并通过测试结果建立极限侧阻力标准值和极限端阻力标准值与土层物理指标、岩石饱和单轴抗压强度以及与静力触探等土的原位测试指标间的经验关系,以经验参数法确定单桩竖向极限承载力。
5.3.3 当根据单桥探头静力触探资料确定混凝土预制桩单桩竖向极限承载力标准值时,如无当地经验,可按下式计算:


式中 Qsk、Qpk——分别为总极限侧阻力标准值和总极限端阻力标准值;
u ——桩身周长;
qsik——用静力触探比贯入阻力值估算的桩周第i层土的极限侧阻力;
li——桩周第i层土的厚度;
α——桩端阻力修正系数,可按表5.3.3-1取值;
psk——桩端附近的静力触探比贯入阻力标准值(平均值);
Ap——桩端面积;
psk1——桩端全截面以上8倍桩径范围内的比贯入阻力平均值;
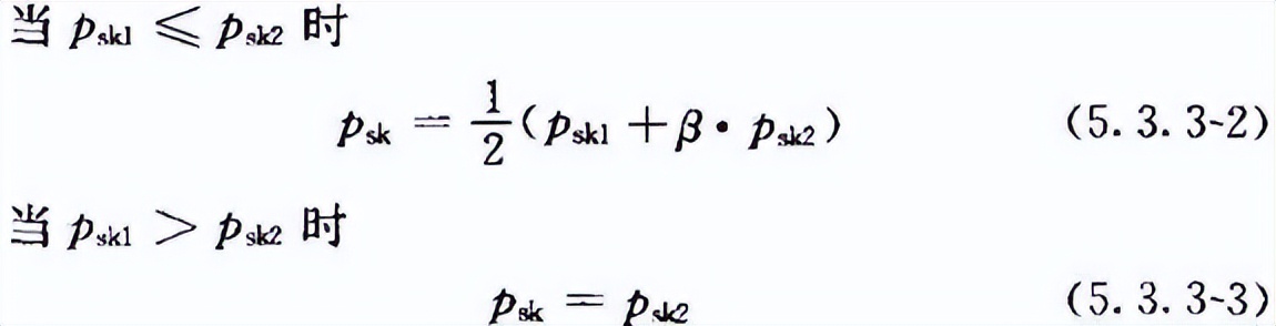
psk2——桩端全截面以下4倍桩径范围内的比贯入阻力平均值,如桩端持力层为密实的砂土层,其比贯入阻力平均值超过20MPa时,则需乘以表5.3.3-2中系数C予以折减后,再按式(5.3.3-2)、式(5.3.3-3)计算psk;
β——折减系数,按表5.3.3-3选用。


注:1 qsik值应结合土工试验资料,依据土的类别、埋藏深度、排列次序,按图5.3.3折线取值;图5.3.3中,直线(A)(线段gh)适用于地表下6m范围内的土层;折线(B)(oabc)适用于粉土及砂土土层以上(或无粉土及砂土土层地区)的黏性土;折线(c)(线段odef)适用于粉土及砂土土层以下的黏性土;折线(D)(线段oef)适用于粉土、粉砂、细砂及中砂。
2 psk为桩端穿过的中密~密实砂土、粉土的比贯入阻力平均值;psl为砂土、粉土的下卧软土层的比贯入阻力平均值;
3 采用的单桥探头,圆锥底面积为15cm2,底部带7cm高滑套,锥角60°。
4 当桩端穿过粉土、粉砂、细砂及中砂层底面时,折线(D)估算的qsik值需乘以表5.3.3-4中系数 ηs值;

5.3.4 当根据双桥探头静力触探资料确定混凝土预制桩单桩竖向极限承载力标准值时,对于黏性土、粉土和砂土,如无当地经验时可按下式计算:

式中 fsi——第i层土的探头平均侧阻力(kPa);
qc——桩端平面上、下探头阻力,取桩端平面以上4d(d为桩的直径或边长)范围内按土层厚度的探头阻力加权平均值(kPa),然后再和桩端平面以下1d范围内的探头阻力进行平均;
α——桩端阻力修正系数,对于黏性土、粉土取2/3,饱和砂土取1/2;
βi——第i层土桩侧阻力综合修正系数,黏性土、粉土:βi=10.04(fsi)-0.55;砂土:βi=5.05(fsi)-0.45。
注:双桥探头的圆锥底面积为15cm2,锥角60°,摩擦套筒高21.85cm,侧面积300cm2。
5.3.5 当根据土的物理指标与承载力参数之间的经验关系确定单桩竖向极限承载力标准值时,宜按下式估算:

式中 qsik——桩侧第i层土的极限侧阻力标准值,如无当地经验时,可按表5.3.5-1取值;
qpk——极限端阻力标准值,如无当地经验时,可按表5.3.5-2取值。
表5.3.5-1 桩的极限侧阻力标准值 qsik(kPa)
|
土的名称 |
土的状态 |
混凝土预制桩 |
泥浆护壁钻(冲)孔桩 |
干作业钻孔桩 |
|
|
填土 |
22~30 |
20~28 |
20~28 |
||
|
淤泥 |
14~20 |
12~18 |
12~18 |
||
|
淤泥质土 |
22~30 |
20~28 |
20~28 |
||
|
黏性土 |
流塑 软塑 可塑 硬可塑 硬塑 坚硬 |
IL>1 0.75< IL≤1 0.50< IL≤0.75 0.25 <IL≤0.50 0< IL≤0.25 IL≤0 |
24~40 40~55 55~70 70~86 86~98 98~105 |
21~38 38~53 53~68 68~84 84~96 96~102 |
21~38 38~53 53~66 66~82 82~94 94~104 |
|
红黏土 |
0.7<aw≤1 |
13~32 |
12~30 |
12~30 |
|
|
0.5<aw≤0.7 |
32~74 |
30~70 |
30~70 |
||
|
粉土 |
稍密 中密 密实 |
e>0.9 0.75≤e≤0.9 e<0.75 |
26~46 46~66 66~88 |
24~42 42~62 62~82 |
24~42 42~62 62~82 |
|
粉细砂 |
稍密 中密 密实 |
10<N≤15 15<N≤30 N>30 |
24~48 48~66 66~88 |
22~46 46~64 64~86 |
22~46 46~64 64~86 |
|
中砂 |
中密 密实 |
15<N≤30 N>30 |
54~74 74~95 |
53~72 72~94 |
53~72 72~94 |
|
粗砂 |
中密 密实 |
15<N≤30 N>30 |
74~95 95~116 |
74~95 95~116 |
76~98 98~120 |
|
砾砂 |
稍密 中密(密实) |
5<N63.5≤15 N63.5>15 |
70~110 116~138 |
50~90 116~130 |
60~100 112~130 |
|
圆砾、角砾 |
中密、密实 |
N63.5>10 |
160~200 |
135~150 |
135~150 |
|
碎石、卵石 |
中密、密实 |
N63.5>10 |
200~300 |
140~170 |
150~170 |
|
全风化软质岩 |
30<N≤50 |
100~120 |
80~100 |
80~100 |
|
|
全风化硬质岩 |
30<N≤50 |
140~160 |
120~140 |
120~150 |
|
|
强风化软质岩 |
N63.5>10 |
160~240 |
140~200 |
140~220 |
|
|
强风化硬质岩 |
N63.5>10 |
220~300 |
160~240 |
160~260 |
|
注:1 对于尚未完成自重固结的填土和以生活垃圾为主的杂填土,不计算其侧阻力;
2 aw为含水比,aw=w/wl,w为土的天然含水量,wl为土的液限;
3 N为标准贯入击数;N63.5为重型圆锥动力触探击数;
4 全风化、强风化软质岩和全风化、强风化硬质岩系指其母岩分别为frk≤15MPa 、frk>30MPa的岩石。
表5.3.5-2 桩的极限端阻力标准值qpk(kPa)
|
土名称 |
桩型 土的状态 |
混凝土预制桩桩长l(m) |
泥浆护壁钻(冲)孔桩桩长l(m) |
干作业钻孔桩桩长l(m) |
|||||||||
|
l≤9 |
9< l≤16 |
16< l≤30 |
l >30 |
5≤l<10 |
10≤l<15 |
15≤l<30 |
30≤l |
5≤l<10 |
10≤l<15 |
15≤l |
|||
|
黏性土 |
软塑 |
0.75<IL≤1 |
210~850 |
650~1400 |
1200~1800 |
1300~1900 |
150~250 |
250~300 |
300~450 |
300~450 |
200~400 |
400~700 |
700~950 |
|
可塑 |
0.50<IL≤0.75 |
850~1700 |
1400~2200 |
1900~2800 |
2300~3600 |
350~450 |
450~600 |
600~750 |
750~800 |
500~700 |
800~1100 |
1000~1600 |
|
|
硬可塑 |
0.25<IL≤0.50 |
1500~2300 |
2300~3300 |
2700~3600 |
3600~4400 |
800~900 |
900~1000 |
1000~1200 |
1200~1400 |
850~1100 |
1500~1700 |
1700~1900 |
|
|
硬塑 |
0<IL≤0.25 |
2500~3800 |
3800~5500 |
5500~6000 |
6000~6800 |
1100~1200 |
1200~1400 |
1400~1600 |
1600~1800 |
1600~1800 |
2200~2400 |
2600~2800 |
|
|
粉土 |
中密 |
0.75≤e≤0.9 |
950~1700 |
1400~2100 |
1900~2700 |
2500~3400 |
300~500 |
500~650 |
650~750 |
750~850 |
800~1200 |
1200~1400 |
1400~1600 |
|
密实 |
e<0.75 |
1500~2600 |
2100~3000 |
2700~3600 |
3600~4400 |
650~900 |
750~950 |
900~1100 |
1100~1200 |
1200~1700 |
1400~1900 |
1600~2100 |
|
|
粉砂 |
稍密 |
10<N≤15 |
1000~1600 |
1500~2300 |
1900~2700 |
2100~3000 |
350~500 |
450~600 |
600~700 |
650~750 |
500~950 |
1300~1600 |
1500~1700 |
|
中密、密实 |
N>15 |
1400~2200 |
2100~3000 |
3000~4500 |
3800~5500 |
600~750 |
750~900 |
900~1100 |
1100~1200 |
900~1000 |
1700~1900 |
1700~1900 |
|
|
细砂 |
中密、密实 |
N>15 |
2500~4000 |
3600~5000 |
4400~6000 |
5300~7000 |
650~850 |
900~1200 |
1200~1500 |
1500~1800 |
1200~1600 |
2000~2400 |
2400~2700 |
|
中砂 |
4000~6000 |
5500~7000 |
6500~8000 |
7500~9000 |
850~1050 |
1100~1500 |
1500~1900 |
1900~2100 |
1800~2400 |
2800~3800 |
3600~4400 |
||
|
粗砂 |
5700~7500 |
7500~8500 |
8500~10000 |
9500~11000 |
1500~1800 |
2100~2400 |
2400~2600 |
2600~2800 |
2900~3600 |
4000~4600 |
4600~5200 |
||
|
砾砂 |
中密、密实 |
N>15 |
6000~9500 |
9000~10500 |
1400~2000 |
2000~3200 |
3500~5000 |
||||||
|
角砾、圆砾 |
N63.5>10 |
7000~10000 |
9500~11500 |
1800~2200 |
2200~3600 |
4000~5500 |
|||||||
|
碎石、卵石 |
N63.5>10 |
8000~11000 |
10500~13000 |
2000~3000 |
3000~4000 |
4500~6500 |
|||||||
|
全风化软质岩 |
30<N≤50 |
4000~6000 |
1000~1600 |
1200~2000 |
|||||||||
|
全风化硬质岩 |
30<N≤50 |
5000~8000 |
1200~2000 |
1400~2400 |
|||||||||
|
强风化软质岩 |
N63.5>10 |
6000~9000 |
1400~2200 |
1600~2600 |
|||||||||
|
强风化硬质岩 |
N63.5>10 |
7000~11000 |
1800~2800 |
2000~3000 |
|||||||||
注: 1砂土和碎石类土中桩的极限端阻力取值,宜综合考虑土的密实度,桩端进入持力层的深径比hb/d,土愈密实,hb/d愈大,取值愈高;
2预制桩的岩石极限端阻力指桩端支承于中、微风化基岩表面或进入强风化岩、软质岩一定深度条件下极限端阻力。
3全风化、强风化软质岩和全风化、强风化硬质岩指其母岩分别为frk≤15MPa 、frk>30MPa的岩石。
5.3.6 根据土的物理指标与承载力参数之间的经验关系,确定大直径桩单桩极限承载力标准值时,可按下式计算:

式中 qsik——桩侧第i层土极限侧阻力标准值,如无当地经验值时,可按本规范表5.3.5-1取值,对于扩底桩变截面以上2d长度范围不计侧阻力;
qpk——桩径为800mm的极限端阻力标准值,对于干作业挖孔(清底干净)可采用深层载荷板试验确定;当不能进行深层载荷板试验时,可按表5.3.6-1取值;
φsi、φp——大直径桩侧阻、端阻尺寸效应系数,按表5.3.6-2取值。
u——桩身周长,当人工挖孔桩桩周护壁为振捣密实的混凝土时,桩身周长可按护壁外直径计算。
表5.3.6-1 干作业挖孔桩(清底干净,D=800mm) 极限端阻力标准值qpk(kPa)
|
土名称 |
状态 |
|||
|
黏性土 |
0.25<IL≤0.75 |
0<IL≤0.25 |
IL ≤0 |
|
|
800~1800 |
1800~2400 |
2400~3000 |
||
|
粉土 |
0.75≤e≤0.9 |
e<0.75 |
||
|
1000~1500 |
1500~2000 |
|||
|
砂土碎石类土 |
稍密 |
中密 |
密实 |
|
|
粉砂 |
500~700 |
800~1100 |
1200~2000 |
|
|
细砂 |
700~1100 |
1200~1800 |
2000~2500 |
|
|
中砂 |
1000~2000 |
2200~3200 |
3500~5000 |
|
|
粗砂 |
1200~2200 |
2500~3500 |
4000~5500 |
|
|
砾砂 |
1400~2400 |
2600~4000 |
5000~7000 |
|
|
圆砾、角砾 |
1600~3000 |
3200~5000 |
6000~9000 |
|
|
卵石、碎石 |
2000~3000 |
3300~5000 |
7000~11000 |
|
注: 1 当桩进入持力层的深度hb分别为:hb≤D,D< hb≤4D, hb>4D时,qpk可相应取低、中、高值。
2 砂土密实度可根据标贯击数判定,N≤10为松散,10<N≤15为稍密, 15<N≤30为中密,N>30为密实。
3 当桩的长径比l/d≤8时,qpk宜取较低值。
4 当对沉降要求不严时,qpk可取高值。

注:当为等直径桩时,d=D。
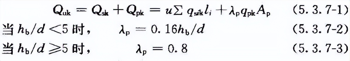
5.3.7 当根据土的物理指标与承载力参数之间的经验关系确定钢管桩单桩竖向极限承载力标准值时,可按下列公式计算:

式中 qsik、qpk——分别按本规范表5.3.5-1、5.3.5-2取与混凝土预制桩相同值;
λp——桩端土塞效应系数,对于闭口钢管桩λp=1,对于敞口钢管桩按式(5.3.7-2)、(5.3.7-3)取值;
hb——桩端进入持力层深度;
d——钢管桩外径。

5.3.8 当根据土的物理指标与承载力参数之间的经验关系确定敞口预应力混凝土空心桩单桩竖向极限承载力标准值时,可按下列公式计算:

5.3.9 桩端置于完整、较完整基岩的嵌岩桩单桩竖向极限承载力,由桩周土总极限侧阻力和嵌岩段总极限阻力组成。当根据岩石单轴抗压强度确定单桩竖向极限承载力标准值时,可按下列公式计算:

式中 Qsk、Qrk——分别为土的总极限侧阻力、嵌岩段总极限阻力;
qsik——桩周第i层土的极限侧阻力,无当地经验时,可根据成桩工艺按本规范表5.3.5-1取值;
frk——岩石饱和单轴抗压强度标准值,黏土岩取天然湿度单轴抗压强度标准值;
ζr——嵌岩段侧阻和端阻综合系数,与嵌岩深径比hr/d、岩石软硬程度和成桩工艺有关,可按表5.3.9采用;表中数值适用于泥浆护壁成桩,对于干作业成桩(清底干净)和泥浆护壁成桩后注浆,ζr应取表列数值的1.2倍。

注:①极软岩、软岩指frk≤15MPa,较硬岩、坚硬岩指frk>30MPa,介于二者之间可内插取值。
②hr为桩身嵌岩深度,当岩面倾斜时,以坡下方嵌岩深度为准;当hr/d为非表列值时,ζr可内差取值。
5.3.10 后注浆灌注桩的单桩极限承载力,应通过静载试验确定。在符合本规范第6.7节后注浆技术实施规定的条件下,其后注浆单桩极限承载力标准值可按下式估算:

式中 Qsk——后注浆非竖向增强段的总极限侧阻力标准值;
Qgsk——后注浆竖向增强段的总极限侧阻力标准值;
Qgpk——后注浆总极限端阻力标准值;
u——桩身周长;
lj——后注浆非竖向增强段第j层土厚度;
lgi——后注浆竖向增强段内第i层土厚度:对于泥浆护壁成孔灌注桩,当为单一桩端后注浆时,竖向增强段为桩端以上12m;当为桩端、桩侧复式注浆时,竖向增强段为桩端以上12m及各桩侧注浆断面以上12m,重叠部分应扣除;对于干作业灌注桩,竖向增强段为桩端以上、桩侧注浆断面上下各6m;
qsik、qsjk、qpk——分别为后注浆竖向增强段第i土层初始极限侧阻力标准值、非竖向增强段第j土层初始极限侧阻力标准值、初始极限端阻力标准值;根据本规范第5.3.5条确定;
Βsi、βp——分别为后注浆侧阻力、端阻力增强系数,无当地经验时,可按表5.3.10取值。对于桩径大于800mm的桩,应按本规范表5.3.6-2进行侧阻和端阻尺寸效应修正。

注:干作业钻、挖孔桩,βp按表列值乘以小于1.0的折减系数。当桩端持力层为黏性土或粉土时,折减系数取0.6;为砂土或碎石土时,取0.8。
5.3.11 后注浆钢导管注浆后可等效替代纵向主筋。
5.3.12 对于桩身周围有液化土层的低承台桩基,在承台底面上下分别有厚度不小于1.5m、1.0m的非液化土或非软弱土层时,可将液化土层极限侧阻力乘以土层液化影响折减系数计算单桩极限承载力标准值。土层液化影响折减系数ψl可按表5.3.12确定。

注:① N为饱和土标贯击数实测值;Ncr为液化判别标贯击数临界值;
② 对于挤土桩当桩距小于4d,且桩的排数不少于5排、总桩数不少于25根时,土层液化系数可取 2/3~1;桩间土标贯击数达到Ncr时,取φ1=1。
当承台底面上下非液化土层厚度小于以上规定时,土层液化影响折减系数ψl取0。
5.4 特殊条件下桩基竖向承载力验算
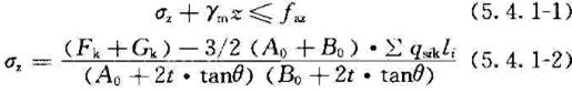
5.4.1 对于桩距不超过6d的群桩基础,桩端持力层下存在承载力低于桩端持力层承载力1/3的软弱下卧层时,可按下列公式验算软弱下卧层的承载力(见图5.4.1):

式中 σz——作用于软弱下卧层顶面的附加应力;
Ym——软弱层顶面以上各土层重度(地下水位以下取浮重度)的厚度加权平均值;
t——硬持力层厚度;
faz——软弱下卧层经深度z修正的地基承载力特征值;
A0、B0——桩群外缘矩形底面的长、短边边长;
qsik——桩周第i层土的极限侧阻力标准值,无当地经验时,可根据成桩工艺按本规范表5.3.5-1取值;
θ ——桩端硬持力层压力扩散角,按表5.4.1取值。

注: ① Es1、Es2为硬持力层、软弱下卧层的压缩模量;
② 当t<0.25B0时,取θ=0º,必要时,宜通过试验确定;当0.25B0<t<0.50B0时,可内插取值。

5.4.2 符合下列条件之一的桩基,当桩周土层产生的沉降超过基桩的沉降时,在计算基桩承载力时应计入桩侧负摩阻力:
1 桩穿越较厚松散填土、自重湿陷性黄土、欠固结土、液化土层进入相对较硬土层时;
2 桩周存在软弱土层,邻近桩侧地面承受局部较大的长期荷载,或地面大面积堆载(包括填土)时;
3 由于降低地下水位,使桩周土有效应力增大,并产生显著压缩沉降时。
5.4.3 桩周土沉降可能引起桩侧负摩阻力时,应根据工程具体情况考虑负摩阻力对桩基承载力和沉降的影响;当缺乏可参照的工程经验时,可按下列规定验算。
1 对于摩擦型基桩可取桩身计算中性点以上侧阻力为零,并可按下式验算基桩承载力:


3 当土层不均匀或建筑物对不均匀沉降较敏感时,尚应将负摩阻力引起的下拉荷载计入附加荷载验算桩基沉降。
注:本条中基桩的竖向承载力特征值Ra只计中性点以下部分侧阻值及端阻值。
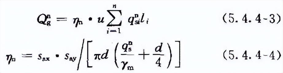
5.4.4 桩侧负摩阻力及其引起的下拉荷载,当无实测资料时可按下列规定计算:
1 中性点以上单桩桩周第i层土负摩阻力标准值,可按下列公式计算:

当填土、自重湿陷性黄土湿陷、欠固结土层产生固结和地下水降低时σ′i=σ′γi
当地面分布大面积荷载时:σ′i=p+σ′γi

式中 qnsi——第i层土桩侧负摩阻力标准值;当按式(5.4.4-1)计算值大于正摩阻力标准值时,取正摩阻力标准值进行设计;
ξni——桩周第i层土负摩阻力系数,可按表5.4.4-1取值;
σ′γi——由土自重引起的桩周第i层土平均竖向有效应力;桩群外围桩自地面算起,桩群内部桩自承台底算起;
σ′i——桩周第i层土平均竖向有效应力;
γi、γe一一分别为第i计算土层和其上第e土层的重度,地下水位以下取浮重度;
△zi、△ze一一第i层土、第e层土的厚度;
p一一地面均布荷载。

注:(1)在同一类土中,对于挤土桩,取表中较大值,对于非挤土桩,取表中较小值;
(2) 填土按其组成取表中同类土的较大值;
2 考虑群桩效应的基桩下拉荷载可按下式计算:

式中 n——中性点以上土层数;
li——中性点以上第i土层的厚度;
ηn——负摩阻力群桩效应系数;
Sax、Say——分别为纵、横向桩的中心距;
qns——中性点以上桩周土层厚度加权平均负摩阻力标准值;
γm——中性点以上桩周土层厚度加权平均重度(地下水位以下取浮重度)。
对于单桩基础或按式(5.4.4-4)计算的群桩效应系数ηn>1时,取ηn=1。
3 中性点深度ln应按桩周土层沉降与桩沉降相等的条件计算确定,也可参照表5.4.4-2确定。

注: (1) ln、l0——分别为自桩顶算起的中性点深度和桩周软弱土层下限深度;
(2) 桩穿过自重湿陷性黄土层时,ln可按表列值增大10%(持力层为基岩除外);
(3) 当桩周土层固结与桩基沉降同时完成时,取ln=0;
(4) 当桩周土层计算沉降量小于20mm时,ln应按表列值乘以0.4~0.8折减。
5.4.5 承受拔力的桩基,应按下列公式同时验算群桩基础呈整体破坏和呈非整体破坏时基桩的抗拔承载力:

[5.4.5-1]

[5.4.5-2]
式中 Nk——按荷载效应标准组合计算的基桩拔力;
Tgk——群桩呈整体破坏时基桩的抗拔极限承载力标准值,可按本规范第5.4.6条确定;
Tuk——群桩呈非整体破坏时基桩的抗拔极限承载力标准值,可按本规范第5.4.6条确定;
Ggp——群桩基础所包围体积的桩土总自重除以总桩数,地下水位以下取浮重度;
Gp——基桩自重,地下水位以下取浮重度,对于扩底桩应按本规范表5.4.6-1确定桩、土柱体周长,计算桩、土自重。
5.4.6 群桩基础及其基桩的抗拔极限承载力的确定应符合下列规定:
1 对于设计等级为甲级和乙级建筑桩基,基桩的抗拔极限承载力应通过现场单桩上拔静载荷试验确定。单桩上拔静载荷试验及抗拔极限承载力标准值取值可按现行行业标准《建筑基桩检测技术规范》(JGJ 106)进行。
2 如无当地经验时,群桩基础及设计等级为丙级建筑桩基,基桩的抗拔极限载力取值可按下列规定计算:
群桩呈非整体破坏时,基桩的抗拔极限承载力标准值可按下式计算

式中 Tuk——基桩抗拔极限承载力标准值;
ui——桩身周长,对于等直径桩取u=πd;对于扩底桩按表5.4.6-1取值;
qsik——桩侧表面第i层土的抗压极限侧阻力标准值,可按本规范表5.3.5-1取值;
λi——抗拔系数,可按表5.4.6-2取值。

注:li对于软土取低值,对于卵石、砾石取高值;li取值按内摩擦角增大而增加。

注:桩长l与桩径d之比小于20时,λ取小值。
群桩呈整体破坏时,基桩的抗拔极限承载力标准值可按下式计算:

式中 μi——桩群外围周长。
5.4.7 季节性冻土上轻型建筑的短桩基础,应按下列公式验算其抗冻拔稳定性:

[5.4.7-1]

[5.4.7-2]
式中 ηf——冻深影响系数,按表5.4.7-1采用;
qf——切向冻胀力,按表5.4.7-2采用;
z0——季节性冻土的标准冻深;
Tgk——标准冻深线以下群桩呈整体破坏时基桩抗拔极限承载力标准值,可按本规范第5.4.6条确定;
Tuk——标准冻深线以下单桩抗拔极限承载力标准值,可按本规范第5.4.6条确定;
NG——基桩承受的桩承台底面以上建筑物自重、承台及其上土重标准值。

注:1 表面粗糙的灌注桩,表中数值应乘以系数1.1~1.3;
2 本表不适用于含盐量大于0.5%的冻土。
5.4.8 膨胀土上轻型建筑的短桩基础,应按下列公式验算群桩基础呈整体破坏和非整体破坏的抗拔稳定性:

式中 Tgk——群桩呈整体破坏时,大气影响急剧层下稳定土层中基桩的抗拔极限承载力标准值,可按本规范第5.4.6条计算;
Tuk——群桩呈非整体破坏时,大气影响急剧层下稳定土层中基桩的抗拔极限承载力标准值,可按本规范第5.4.6条计算;
qei——大气影响急剧层中第i层土的极限胀切力,由现场浸水试验确定;
lei——大气影响急剧层中第i层土的厚度。
5.5 桩基沉降计算
5.5.1 建筑桩基沉降变形计算值不应大于桩基沉降变形允许值。
5.5.2 桩基沉降变形可用下列指标表示:
1 沉降量;
2 沉降差;
3 整体倾斜:建筑物桩基础倾斜方向两端点的沉降差与其距离之比值;
4 局部倾斜:墙下条形承台沿纵向某一长度范围内桩基础两点的沉降差与其距离之比值。
5.5.3 计算桩基沉降变形时,桩基变形指标应按下列规定选用:
1 由于土层厚度与性质不均匀、荷载差异、体形复杂、相互影响等因素引起的地基沉降变形,对于砌体承重结构应由局部倾斜控制;
2 对于多层或高层建筑和高耸结构应由整体倾斜值控制;
3 当其结构为框架、框架-剪力墙、框架-核心筒结构时,尚应控制柱(墙)之间的差异沉降。
5.5.4 建筑桩基沉降变形允许值,应按表5.5.4规定采用。
注:l0为相邻柱(墙)二测点间距离,Hg为自室外地面算起的建筑物高度。
5.5.5 对于本规范表5.5.4中未包括的建筑桩基沉降变形允许值,应根据上部结构对桩基沉降变形的适应能力和使用要求确定。
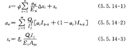
5.5.6 对于桩中心距不大于6倍桩径的桩基,其最终沉降量计算可采用等效作用分层总和法。等效作用面位于桩端平面,等效作用面积为桩承台投影面积,等效作用附加压力近似取承台底平均附加压力。等效作用面以下的应力分布采用各向同性均质直线变形体理论。计算模式如图5.5.6所示,桩基任一点最终沉降量可用角点法按下式计算:


图5.5.6 桩基沉降计算示意图
式中 s——桩基最终沉降量(mm);
s'——采用布辛奈斯克解,按实体深基础分层总和法计算出的桩基沉降量(mm);
φ——桩基沉降计算经验系数,当无当地可靠经验时可按本规范第5.5.11条确定;
φe——桩基等效沉降系数,可按本规范第5.5.9条确定;
m——角点法计算点对应的矩形荷载分块数;
poj——第j块矩形底面在荷载效应准永久组合下的附加压力(kPa);
n——桩基沉降计算深度范围内所划分的土层数;
Esi——等效作用面以下第i层土的压缩模量(MPa),采用地基土在自重压力至自重压力加附加压力作用时的压缩模量;
zij、z(i-1)j——桩端平面第j块荷载作用面至第i层土、第i-1层土底面的距离(m);

5.5.7 计算矩形桩基中点沉降时,桩基沉降量可按下式简化计算:

式中 p0——在荷载效应准永久组合下承台底的平均附加压力;
αi 、αi-1——平均附加应力系数,根据矩形长宽比a/b及深宽比

可按本规范附录D选用。
5.5.8 桩基沉降计算深度zn应按应力比法确定,即计算深度处的附加应力σz与土的自重应力σc应符合下列公式要求:

式中αj——附加应力系数,可根据角点法划分的矩形长宽比及深宽比按本规范附录D选用。
5.5.9 桩基等效沉降系数φe可按下列公式简化计算:

[5.5.9-1]

式中 nb——矩形布桩时的短边布桩数,当布桩不规则时可按式(5.5.9-2)近似计算,nb>1;nb=1时,可按本规范式(5.5.14)计算;
C0、C1、C2——根据群桩距径比sa/d、长径比l/d及基础长宽比Lc/Bc,按本规范附录E确定;
Lc、Bc、n——分别为矩形承台的长、宽及总桩数。
5.5.10 当布桩不规则时,等效距径比可按下列公式近似计算:

[5.5.10-1]

[5.5.10-2]
式中 A——桩基承台总面积;
b——方形桩截面边长。
5.5.11 当无当地可靠经验时,桩基沉降计算经验系数φ可按表5.5.11选用。对于采用后注浆施工工艺的灌注桩,桩基沉降计算经验系数应根据桩端持力土层类别,乘以0.7(砂、砾、卵石)~0.8(黏性土、粉土)折减系数;饱和土中采用预制桩(不含复打、复压、引孔沉桩)时,应根据桩距、土质、沉桩速率和顺序等因素,乘以1.3~1.8挤土效应系数,土的渗透性低,桩距小,桩数多,沉桩速率快时取大值。

5.5.12 计算桩基沉降时,应考虑相邻基础的影响,采用叠加原理计算;桩基等效沉降系数可按独立基础计算。
5.5.13 当桩基形状不规则时,可采用等效矩形面积计算桩基等效沉降系数,等效矩形的长宽比可根据承台实际尺寸和形状确定。
5.5.14 对于单桩、单排桩、桩中心距大于6倍桩径的疏桩基础的沉降计算应符合下列规定:
1 承台底地基土不分担荷载的桩基。桩端平面以下地基中由基桩引起的附加应力,按考虑桩径影响的明德林(Mindlin)解附录F计算确定。将沉降计算点水平面影响范围内各基桩对应力计算点产生的附加应力叠加,采用单向压缩分层总和法计算土层的沉降,并计入桩身压缩se。桩基的最终沉降量可按下列公式计算:

2承台底地基土分担荷载的复合桩基。将承台底土压力对地基中某点产生的附加应力按布辛奈斯克解(附录D)计算,与基桩产生的附加应力叠加,采用与本条第1款相同方法计算沉降。其最终沉降量可按下列公式计算:


5.5.15 对于单桩、单排桩、疏桩复合桩基础的最终沉降计算深度Zn,可按应力比法确定,即Zn处由桩引起的附加应力σz、由承台土压力引起的附加应力σzc与土的自重应力σc应符合下式要求:

5.6 软土地基减沉复合疏桩基础
5.6.1 当软土地基上多层建筑,地基承载力基本满足要求(以底层平面面积计算)时,可设置穿过软土层进入相对较好土层的疏布摩擦型桩,由桩和桩间土共同分担荷载。该种减沉复合疏桩基础,可按下列公式确定承台面积和桩数:

[5.6.1-1]

[5.6.1-2]
式中:Ac-桩基承台总净面积;
fak-承台底地基承载力特征值;
ξ-承台面积控制系数,ξ≥0.60;
n-基桩数;
ηc-桩基承台效应系数,可按本规范表5.2.5取值。
5.6.2 减沉复合疏桩基础中点沉降可按下列公式计算:



5.7 桩基水平承载力与位移计算
5.7.1 受水平荷载的一般建筑物和水平荷载较小的高大建筑物单桩基础和群桩中基桩应满足下式要求:

式中 Hik——在荷载效应标准组合下,作用于基桩i桩顶处的水平力;
Rh——单桩基础或群桩中基桩的水平承载力特征值,对于单桩基础,可取单桩的水平承载力特征值Rha。
5.7.2 单桩的水平承载力特征值的确定应符合下列规定:
1 对于受水平荷载较大的设计等级为甲级、乙级的建筑桩基,单桩水平承载力特征值应通过单桩水平静载试验确定,试验方法可按现行行业标准《建筑基桩检测技术规范》JGJ 106执行。
2 对于钢筋混凝土预制桩、钢桩、桩身配筋率不小于0.65%的灌注桩,可根据静载试验结果取地面处水平位移为10mm(对于水平位移敏感的建筑物取水平位移6mm)所对应的荷载的75%为单桩水平承载力特征值。
3 对于桩身配筋率小于0.65%的灌注桩,可取单桩水平静载试验的临界荷载的75%为单桩水平承载力特征值。
4 当缺少单桩水平静载试验资料时,可按下列公式估算桩身配筋率小于0.65%的灌注柱的单桩水平承载力的特征值:

[5.7.2-1]
式中
α —— 桩的水平变形系数,按本规范第5.7.5条确定;
Rha—— 单桩水平承载力特征值,±号根据桩顶竖向力性质确定,压力取“+”,拉力取“-”;
γm—— 桩截面模量塑性系数,圆形截面γm=2,矩形截面γm=1.75;
ft—— 桩身混凝土抗拉强度设计值;
W0—— 桩身换算截面受拉边缘的截面模量,
圆形截面为:

方形截面为:

其中
d为桩直径,d0为扣除保护层厚度的桩直径;
b为方形截面边长,b0为扣除保护层厚度的桩截面宽度;
αE为钢筋弹性模量与混凝土弹性模量的比值;
vM——桩身最大弯距系数,按表5.7.2取值,当单桩基础和单排桩基纵向轴线与水平力方向相垂直时,按桩顶铰接考虑;
ρg——桩身配筋率;
An——桩身换算截面积,圆形截面为:

;
方形截面为:

ζN——桩顶竖向力影响系数,竖向压力取0.5;竖向拉力取1.0;
Nk——在荷载效应标准组合下桩顶的竖向力(kN)。

注:1 铰接(自由)的vM系桩身的最大弯矩系数,固接的vM系桩顶的最大弯矩系数;
2 当αh>4时取αh=4.0。
5 对于混凝土护壁的挖孔桩,计算单桩水平承载力时,其设计桩径取护壁内直径。
6 当桩的水平承载力由水平位移控制,且缺少单桩水平静载试验资料时,可按下式估算预制桩、钢桩、桩身配筋率不小于0.65%的灌注桩单桩水平承载力特征值:

[5.7.2-2]
式中 EI——桩身抗弯刚度,对于钢筋混凝土桩,EI=0.85EcI0;其中Ec为混凝土弹性模量,I0为桩身换算截面惯性距:圆形截面为I0=W0d0/2;矩形截面为I0=W0b0/2;
X0a——桩顶允许水平位移;
vx——桩顶水平位移系数,按表5.7.2取值,取值方法同vM。
7 验算永久荷载控制的桩基的水平承载力时,应将上述2~5款方法确定的单桩水平承载力特征值乘以调整系数0.80;验算地震作用桩基的水平承载力时,宜将按上述2~5款方法确定的单桩水平承载力特征值乘以调整系数1.25。
5.7.3 群桩基础(不含水平力垂直于单排桩基纵向轴线和力矩较大的情况)的基桩水平承载力特征值应考虑由承台、桩群、土相互作用产生的群桩效应,可按下列公式确定:
Rh=ηhRha (5.7.3-1)
考虑地震作用且sa/d≤6时:
ηh=ηiηr+ηl (5.7.3-2)

(5.7.3-3)

(5.7.3-4)

(5.7.3-5)
其他情况:

(5.7.3-6)

(5.7.3-7)

(5.7.3-8)

(5.7.3-9)



5.7.4 计算水平荷载较大和水平地震作用、风载作用的带地下室的高大建筑物桩基的水平位移时,可考虑地下室侧墙、承台、桩群、土共同作用,按本规范附录C方法计算基桩内力和变位,与水平外力作用平面相垂直的单排桩基础可按本规范附录C中表C.0.3-1计算。
5.7.5 桩的水平变形系数和地基土水平抗力系数的比例系数m可按下列规定确定:
1 桩的水平变形系数a(1/m)

[5.7.5]
式中 m——桩侧土水平抗力系数的比例系数;
b0——桩身的计算宽度(m);
圆形桩:当直径d≤1m时,b0=0.9(1.5d+0.5);
当直径d>1m时,b0=0.9(d+1);
方形桩:当边宽b≤1m时,b0=1.5b+0.5;
当边宽b>1m时,b0=b+1。
EI——桩身抗弯刚度,按本规范第5.7.2条的规定计算;
2 地基土水平抗力系数的比例系数m,宜通过单桩水平静载试验确定,当无静载试验资料时,可按表5.7.5取值。
注:1 当桩顶水平位移大于表列数值或灌注桩配筋率较高(≥0.65%)时,m值应适当降低;当预制桩的水平向位移小于10mm时,m值可适当提高;
2 当水平荷载为长期或经常出现的荷载时,应将表列数值乘以0.4降低采用;
3 当地基为可液化土层时,应将表列数值乘以本规范表5.3.12中相应的系数ψl。
5.8 桩身承载力与裂缝控制计算
5.8.1 桩身应进行承载力和裂缝控制计算。计算时应考虑桩身材料强度、成桩工艺、吊运与沉桩、约束条件、环境类别等因素,除按本节有关规定执行外,尚应符合现行国 家标准《混凝土结构设计规范》GB 50010、《钢结构设计规范》GB 50017和《建筑抗震设计规范》GB 50011的有关规定。
5.8.2 钢筋混凝土轴心受压桩正截面受压承载力应符合下列规定:
1 当桩顶以下5d范围的桩身螺旋式箍筋间距不大于100mm,且符合本规范第4.1.1条规定时:

[5.8.2-1]
2 当桩身配筋不符合上述1款规定时:

[5.8.2-2]
式中 N——荷载效应基本组合下的桩顶轴向压力设计值;
φc——基桩成桩工艺系数,按第5.8.3条规定取值;
fc ——混凝土轴心抗压强度设计值;
f'y ——纵向主筋抗压强度设计值;
A's——纵向主筋截面面积。
5.8.3基桩成桩工艺系数φc应按下列规定取值:
1 混凝土预制桩、预应力混凝土空心桩:φc=0.85;
2 干作业非挤土灌注桩:φc=0.90;
3 泥浆护壁和套管护壁非挤土灌注桩、部分挤土灌注桩、挤土灌注桩:φc=0.7
0.8;
4 软土地区挤土灌注桩:φc=0.6。
5.8.4 计算轴心受压混凝土桩正截面受压承载力时,一般取稳定系数φ=1.0。对于高承台基桩、桩身穿越可液化土或不排水抗剪强度小于10kPa的软弱土层的基桩,应考虑压屈影响,可按本规范式(5.8.2-1)、式(5.8.2-2)计算所得桩身正截面受压承载力乘以φ折减。其稳定系数φ可根据桩身压屈计算长度lc和桩的设计直径d(或矩形桩短边尺寸6)确定。桩身压屈计算长度可根据桩顶的约束情况、桩身露出地面的自由长度l0、桩的入土长度h 、桩侧和桩底的土质条件按表5.8.4-1确定。桩的稳定系数φ可按表5.8.4-2确定。



注:b为矩形桩短边尺寸,d为桩直径。
5.8.5 计算偏心受压混凝土桩正截面受压承载力时,可不考虑偏心距的增大影响,但对于高承台基桩、桩身穿越可液化土或不排水抗剪强度小于10kPa的软弱土层的基桩,应考虑桩身在弯矩作用平面内的挠曲对轴向力偏心距的影响,应将轴向力对截面重心的初始偏心矩ei乘以偏心矩增大系数η,偏心距增大系数

的具体计算方法可按现行国家标准《混凝土结构设计规范》GB 50010执行。
5.8.6 对于打入式钢管桩,可按以下规定验算桩身局部压曲:
1 当t/d=1/50~1/80,d≤600mm,最大锤击压应力小于钢材强度设计值时,可不进行局部压屈验算;
2 当d>600mm,可按下式验算:

[5.8.6-1]
3 当d≥900mm,除按(5.8.6-1)式验算外,尚应按下式验算:

[5.8.6-2]
式中 t、d——钢管桩壁厚、外径;
E、f’y——钢材弹性模量、抗压强度设计值。
5.8.7 钢筋混凝土轴心抗拔桩的正截面受拉承载力应符合下式规定:

[5.8.7]
式中:N——荷载效应基本组合下桩顶轴向拉力设计值;
fy、fpy——普通钢筋、预应力钢筋的抗拉强度设计值;
As、Apy——普通钢筋、预应力钢筋的截面面积。
5.8.8 对于抗拔桩的裂缝控制计算应符合下列规定:
1 对于严格要求不出现裂缝的一级裂缝控制等级预应力混凝土基桩,在荷载效应标准组合下混凝土不应产生拉应力,应符合下式要求:

2 对于一般要求不出现裂缝的二级裂缝控制等级预应力混凝土基桩,在荷载效应标准组合下的拉应力不应大于混凝土轴心受拉强度标准值,应符合下列公式要求:

3 对于允许出现裂缝的三级裂缝控制等级基桩,按荷载效应标准组合计算的最大裂缝宽度应符合下列规定:

式中 σck、σcq——荷载效应标准组合、准永久组合下正截面法向应力;
σpc——扣除全部应力损失后,桩身混凝土的预应力;
ftk——混凝土轴心抗拉强度标准值;
wmax——按荷载效应标准组合计算的最大裂缝宽度,可按现行国家标准《混凝土结构设计规范》GB 50010计算;
wmin——最大裂缝宽度限值,按本规范表3.5.3取用。
5.8.9 当考虑地震作用验算桩身抗拔承载力时,应根据现行国家标准《建筑抗震设计规范》GB 50011的规定,对作用于桩顶的地震作用效应进行调整。
5.8.10 对于受水平荷载和地震作用的桩,其桩身受弯承载力和受剪承载力的验算应符合下列规定:
1 对于桩顶固端的桩,应验算桩顶正截面弯矩;对于桩顶自由或铰接的桩,应验算桩身最大弯矩截面处的正截面弯矩;
2 应验算桩顶斜截面的受剪承载力;
3 桩身所承受最大弯矩和水平剪力的计算,可按本规范附录C计算;
4 桩身正截面受弯承载力和斜截面受剪承载力,应按现行国家标准《混凝土结构设计规范》GB 50010执行;
5 当考虑地震作用验算桩身正截面受弯和斜截面受剪承载力时,应根据现行国家标准《建筑抗震设计规范》GB 50011的规定,对作用于桩顶的地震作用效应进行调整。
5.8.11 预制桩吊运时单吊点和双吊点的设置,应按吊点(或支点)跨间正弯矩与吊点处的负弯矩相等的原则进行布置。考虑预制桩吊运时可能受到冲击和振动的影响,计算吊运弯矩和吊运拉力时,可将桩身重力乘以1.5的动力系数。
5.8.12 对于裂缝控制等级为一级、二级的混凝土预制桩、预应力混凝土管桩,可按下列规定验算桩身的锤击压应力和锤击拉应力:
1 最大锤击压应力σp可按下式计算:

[5.8.12]
式中 σp—桩的最大锤击压应力;
α—锤型系数;自由落锤为1.0;柴油锤取1.4;
e—锤击效率系数;自由落锤为0.6;柴油锤取0.8;
AH、Ac、A—锤、桩垫、桩的实际断面面积;
EH、Ec、E—锤、桩垫、桩的纵向弹性模量;
γH、γc、γp—锤、桩垫、桩的重度;
H—锤落距。
2 当桩需穿越软土层或桩存在变截面时,可按表5.8.12确定桩身的最大锤击拉应力。

3 最大锤击压应力和最大锤击拉应力分别不应超过混凝土的轴心抗压强度设计值和轴心抗拉强度设计值。
5.9 承台计算
5.9.1 桩基承台应进行正截面受弯承载力计算。承台弯距可按本规范第5.9.2~5.9.5条的规定计算,受弯承载力和配筋可按现行国家标准《混凝土结构设计规范》GB 50010的规定进行。
5.9.2 柱下独立桩基承台的正截面弯矩设计值可按下列规定计算:
1 两桩条形承台和多桩矩形承台弯矩计算截面取在柱边和承台变阶处[见图5.9.2(a)],可按下列公式计算:


式中
Mx、My—— 分别为绕X轴和绕Y轴方向计算截面处的弯矩设计值;
xi、yi——垂直Y轴和X轴方向自桩轴线到相应计算截面的距离;
Ni——不计承台及其上土重,在荷载效应基本组合下的第i基桩或复合基桩竖向反力设计值。
2 三桩承台的正截面弯矩值应符合下列要求:
1)等边三桩承台(图5.9.2(b))

[5.9.2-3]
式中
M——通过承台形心至各边边缘正交截面范围内板带的弯矩设计值;
Nmax——不计承台及其上土重,在荷载效应基本组合下三桩中最大基桩或复合基桩竖向反力设计值;
sa——桩中心距;
c——方柱边长,圆柱时c=0.8d(d为圆柱直径)。
2)等腰三桩承台(图5.9.2(c))

[5.9.2-4]

[5.9.2-5]
式中
M1、M2——分别为通过承台形心至两腰边缘和底边边缘正交截面范围内板带的弯矩设计值;
sa——长向桩中心距;
α——短向桩中心距与长向桩中心距之比,当α小于0.5时,应按变截面的二桩承台设计;
c1、c2——分别为垂直于、平行于承台底边的柱截面边长。
5.9.3 箱形承台和筏形承台的弯距可按下列规定计算:
1 箱形承台和筏形承台的弯矩宜考虑地基土层性质、基桩分布、承台和上部结构类型和刚度,按地基—桩—承台—上部结构共同作用原理分析计算;
2 对于箱形承台,当桩端持力层为基岩、密实的碎石类土、砂土且深厚均匀时;或当上部结构为剪力墙;或当上部结构为框架-核心筒结构且按变刚度调平原则布桩时,箱形承台底板可仅按局部弯矩作用进行计算;
3 对于筏形承台,当桩端持力层深厚坚硬、上部结构刚度较好,且柱荷载及柱间距的变化不超过20%时;或当上部结构为框架-核心筒结构且按变刚度调平原则布桩时,可仅按局部弯矩作用进行计算。
5.9.4 柱下条形承台梁的弯矩可按下列规定计算:
1 可按弹性地基梁(地基计算模型应根据地基土层特性选取)进行分析计算;
2 当桩端持力层深厚坚硬且桩柱轴线不重合时,可视桩为不动铰支座,按连续梁计算。
5.9.5 砌体墙下条形承台梁,可按倒置弹性地基梁计算弯矩和剪力,并应符合本规范附录G的要求。对于承台上的砌体墙,尚应验算桩顶部位砌体的局部承压强度。
5.9.6 桩基承台厚度应满足柱(墙)对承台的冲切和基桩对承台的冲切承载力要求。
5.9.7 轴心竖向力作用下桩基承台受柱(墙)的冲切,可按下列规定计算:
1 冲切破坏锥体应采用自柱(墙)边或承台变阶处至相应桩顶边缘连线所构成的锥体,锥体斜面与承台底面之夹角不应小于45°(见图5.9.7)。
2 受柱(墙)冲切承载力可按下列公式计算:

式中 Fl——不计承台及其上土重,在荷载效应基本组合下作用于冲切破坏锥体上的冲切力设计值;
ft——承台混凝土抗拉强度设计值;
βhp——承台受冲切承载力截面高度影响系数,当h≤800mm时,βhp取1.0,
h≥2000mm时,βhp取0.9, 其间按线性内插法取值;
um——承台冲切破坏锥体一半有效高度处的周长;
h0——承台冲切破坏锥体的有效高度;
Β0——柱(墙)冲切系数;
λ——冲跨比,λ=ao/ho,ao为柱(墙)边或承台变阶处到桩边水平距离;当λ<0.25时,取λ=0.25;当λ>1.0时,取λ=1.0;
F——不计承台及其上土重,在荷载效应基本组合作用下柱(墙)底的竖向荷载设计值;
ΣQi——不计承台及其上土重,在荷载效应基本组合下冲切破坏锥体内各基桩或复合基桩的反力设计值之和。
3 对于柱下矩形独立承台受柱冲切的承载力可按下列公式计算(图5.9.7):



5.9.8 对位于柱(墙)冲切破坏锥体以外的基桩,可按下列规定计算承台受基桩冲切的承载力:
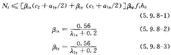
1 四桩以上(含四桩)承台受角桩冲切的承载力可按下列公式计算(图5.9.8-1):

式中 Nl——不计承台及其上土重,在荷载效应基本组合作用下角桩(含复合基桩)反力设计值;
β1x、β1y——角桩冲切系数;
a1x、a1y——从承台底角桩顶内边缘引45°冲切线与承台顶面相交点至角桩内边缘的水平距离;当柱(墙)边或承台变阶处位于该45°线以内时,则取由柱(墙)边或承台变阶处与桩内边缘连线为冲切锥体的锥线(见图5.9.8-1);
h0——承台外边缘的有效高度;
λ1x、λ1y——角桩冲跨比,λ1x=a1x/h0,λ1y=a1y/h0,其值均应满足0.25~1.0的要求。
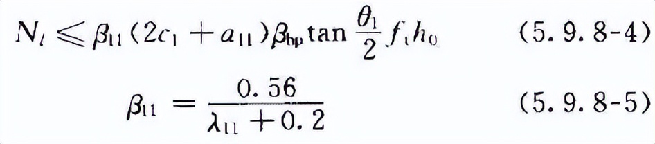
2 对于三桩三角形承台可按下列公式计算受角桩冲切的承载力(图5.9.8-2):
底部角桩:

顶部角桩:


式中 λ11、λ12——角桩冲跨比,λ11=a11/h0,λ12=a12/h0,其值均应满足0.25~1.0的要求;
a11、a12一一从承台底角桩顶内边缘引45°冲切线与承台顶面相交点至角桩内边缘的水平距离;当柱(墙)边或承台变阶处位于该45°线以内时,则取由柱(墙)边或承台变阶处与桩内边缘连线为冲切锥体的锥线。
3 对于箱形、筏形承台,可按下列公式计算承台受内部基桩的冲切承载力:
1)应按下式计算受基桩的冲切承载力(图5.9.8-3(a)):

2)应按下式计算受桩群的冲切承载力(图5.9.8-3(b)):

式中 β0x、β0y——由式(5.9.7-3)求得,其中λ0x=a0x/h0,λ0y=a0y/h0,λ0x、λ0y均应满足0.25~1.0的要求;
N1、∑N1i——不计承台和其上土重,在荷载效应基本组合下,基桩或复合基桩的净反力设计值、冲切锥体内各基桩或复合基桩反力设计值之和。
5.9.9 柱(墙)下桩基承台,应分别对柱(墙)边、变阶处和桩边联线形成的贯通承台的斜截面的受剪承载力进行验算。当承台悬挑边有多排基桩形成多个斜截面时,应对每个斜截面的受剪承载力进行验算。
5.9.10 柱下独立桩基承台斜截面受剪承载力应按下列规定计算:
1 承台斜截面受剪承载力可按下列公式计算(见图5.9.10-1):

[5.9.10-1]

(5.9.10-2)

(5.9.10-2)
式中 V ——不计承台及其上土自重,在荷载效应基本组合下,斜截面的最大剪力设计值;
ft—— 混凝土轴心抗拉强度设计值;
b0——承台计算截面处的计算宽度;
h0——承台计算截面处的有效高度;
α——承台剪切系数;按公式(5.9.10-2)确定;
λ——计算截面的剪跨比,λx=αx/h0,λy=αy/h0,此处,αx,αy为柱边(墙边)或承台变阶处至y、x方向计算一排桩的桩边的水平距离,当λ<0.25时,取λ=0.25;当λ>3时,取λ=3;
2 对于阶梯形承台应分别在变阶处(A1-A1,B1-B1)及柱边处(A2-A2,B2-B2)进行斜截面受剪承载力计算(图5.9.10-2)。
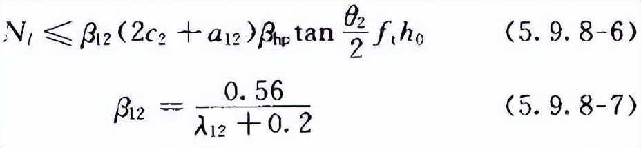
计算变阶处截面(A1-A1,B1-B1)的斜截面受剪承载力时,其截面有效高度均为h10,截面计算宽度分别为by1和bx1。
计算柱边截面(A2-A2,B2-B2)的斜截面受剪承载力时,其截面有效高度均为h10+h20,
截面计算宽度分别为:

3. 对于锥形承台应对柱边处(A-A及B-B)两个截面进行受剪承载力计算(图5.9.10-3),截面有效高度均为h0,截面的计算宽度分别为:

5.9.11梁板式筏形承台的梁的受剪承载力可按现行国家标准《混凝土结构设计规范》GB 50010计算。
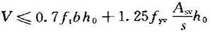
5.9.12 砌体墙下条形承台梁配有箍筋,但未配弯起钢筋时,斜截面的受剪承载力可按下式计算:

[5.9.12]
式中 V——不计承台及其上土自重,在荷载效应基本组合下,计算截面处的剪力设计值;
Asv——配置在同一截面内箍筋各肢的全部截面面积;
s——沿计算斜截面方向箍筋的间距;
fyv——箍筋抗拉强度设计值;
b——承台梁计算截面处的计算宽度;
ho——承台梁计算截面处的有效高度。
5.9.13 砌体墙下承台梁配有箍筋和弯起钢筋时,斜截面的受剪承载力可按下式计算:

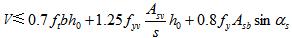
[5.9.13]
式中 Asb——同一截面弯起钢筋的截面面积;
fy——弯起钢筋的抗拉强度设计值;
as——斜截面上弯起钢筋与承台底面的夹角。
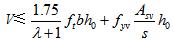
5.9.14柱下条形承台梁,当配有箍筋但未配弯起钢筋时,其斜截面的受剪承载力可按下式计算:

[5.9.14]
式中 λ——计算截面的剪跨比,λ=α/h0,α为柱边至桩边的水平距离;当λ<1.5时,取λ=1.5;当λ>3时,取λ=3。
5.9.15 对于柱下桩基,当承台混凝土强度等级低于柱或桩的混凝土强度等级时,应验算柱下或桩上承台的局部受压承载力。
5.9.16 当进行承台的抗震验算时,应根据现行国家标准《建筑抗震设计规范》GB 50011的规定对承台顶面的地震作用效应和承台的受弯、受冲切、受剪承载力进行抗震调整。