向学霸进军整理2022高三二轮备考策略之高中数学21种解题方法与技巧,和大家分享,为您的高考助一臂之力。

1
解决绝对值问题
主要包括化简、求值、方程、不等式、函数等题,基本思路是:把含绝对值的问题转化为不含绝对值的问题。具体转化方法有:
①分类讨论法:根据绝对值符号中的数或式子的正、零、负分情况去掉绝对值。
②零点分段讨论法:适用于含一个字母的多个绝对值的情况。
③两边平方法:适用于两边非负的方程或不等式。
④几何意义法:适用于有明显几何意义的情况。
2
因式分解
根据项数选择方法和按照一般步骤是顺利进行因式分解的重要技巧。因式分解的一般步骤是:
提取公因式
选择用公式
十字相乘法
分组分解法
拆项添项法
3
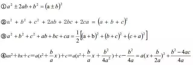
配方法
利用完全平方公式把一个式子或部分化为完全平方式就是配方法,它是数学中的重要方法和技巧。配方法的主要根据有:

4
换元法
解某些复杂的特型方程要用到“换元法”。换元法解方程的一般步骤是:
设元→换元→解元→还元
5
待定系数法
待定系数法是在已知对象形式的条件下求对象的一种方法。适用于求点的坐标、函数解析式、曲线方程等重要问题的解决。其解题步骤是:
①设 ②列 ③解 ④写
6
复杂代数等式
复杂代数等式型条件的使用技巧:左边化零,右边变形。
①因式分解型:
(-----)(----)=0 两种情况为或型
②配成平方型:
(----)2+(----)2=0 两种情况为且型
7
数学中两个最伟大的解题思路
(1)求值的思路列欲求值字母的方程或方程组
(2)求取值范围的思路列欲求范围字母的不等式或不等式组
8
化简二次根式
基本思路是:把√m化成完全平方式。即:
9
观察法
10
代数式求值
方法有:
(1)直接代入法
(2)化简代入法
(3)适当变形法(和积代入法)
注意:当求值的代数式是字母的“对称式”时,通常可以化为字母“和与积”的形式,从而用“和积代入法”求值。
11
解含参方程
方程中除过未知数以外,含有的其它字母叫参数,这种方程叫含参方程。解含参方程一般要用‘分类讨论法’,其原则是:
(1)按照类型求解
(2)根据需要讨论
(3)分类写出结论
12
恒相等成立的有用条件
(1)ax+b=0对于任意x都成立关于x的方程ax+b=0有无数个解a=0且b=0。
(2)ax2+bx+c=0对于任意x都成立关于x的方程ax2+bx+c=0有无数解a=0、b=0、c=0。
13
恒不等成立的条件
由一元二次不等式解集为R的有关结论容易得到下列恒不等成立的条件:
14
平移规律
图像的平移规律是研究复杂函数的重要方法。平移规律是:
15
图像法
讨论函数性质的重要方法是图像法——看图像、得性质。
定义域 图像在X轴上对应的部分
值 域 图像在Y轴上对应的部分
单调性
从左向右看,连续上升的一段在X轴上对应的区间是增区间;从左向右看,连续下降的一段在X轴上对应的区间是减区间。
最 值 图像最高点处有最大值,图像最低点处有最小值
奇偶性 关于Y轴对称是偶函数,关于原点对称是奇函数
16
函数、方程、不等式简的重要关系
方程的根
函数图像与x轴交点横坐标
不等式解集端点
17
一元二次方程的解法
一元二次不等式可以用因式分解转化为二元一次不等式组去解,但比较复杂;它的简便的实用解法是根据“三个二次”间的关系,利用二次函数的图像去解。具体步骤如下:
二次化为正
判别且求根
画出示意图
解集横轴中
18
一元二次方程根的讨论
一元二次方程根的符号问题或m型问题可以利用根的判别式和根与系数的关系来解决,但根的一般问题、特别是区间根的问题要根据“三个二次”间的关系,利用二次函数的图像来解决。“图像法”解决一元二次方程根的问题的一般思路是:
题意
二次函数图像
不等式组
不等式组包括:a的符号;△的情况;对称轴的位置;区间端点函数值的符号。
19
基本函数在区间上的值域
我们学过的一次函数、反比例函数、二次函数等有名称的函数是基本函数。基本函数求值域或最值有两种情况:
(1)定义域没有特别限制时---记忆法或结论法;
(2)定义域有特别限制时---图像截断法,一般思路是:
画出图像

截出一断

得出结论
20
最值型应用题的解法
应用题中,涉及“一个变量取什么值时另一个变量取得最大值或最小值”的问题是最值型应用题。解决最值型应用题的基本思路是函数思想法,其解题步骤是:
设变量

列函数
求最值

写结论
21
穿线法
穿线法是解高次不等式和分式不等式的最好方法。其一般思路是:
首项化正

求根标根

右上起穿

奇穿偶回
注意:①高次不等式首先要用移项和因式分解的方法化为“左边乘积、右边是零”的形式。②分式不等式一般不能用两边都乘去分母的方法来解,要通过移项、通分合并、因式分解的方法化为“商零式”,用穿线法解。
本文由公众号《向学霸进军》整理编辑